Nghiên cứu tác động của du lịch tới tăng trưởng kinh tế vùng Kinh tế trọng điểm miền Trung
ThS. Nguyễn Duy Quang
Email: quangbrain77@gmail.com
Trường Cao đẳng Du lịch Đà Nẵng
Tóm tắt
Nghiên cứu này đánh giá tác động của du lịch đến tăng trưởng kinh tế tại vùng Kinh tế trọng điểm miền Trung (VKTTĐMT) giai đoạn 2010-2023. Kết quả cho thấy, Du lịch có tác động tích cực và ý nghĩa thống kê đến Tăng trưởng kinh tế VKTTĐMT. Vốn, Lao động, Chuyển đổi số và Đô thị hóa cũng có ảnh hưởng đáng kể. Trên cơ sở đó, nghiên cứu đề xuất một số giải pháp nhằm phát huy Du lịch, Đầu tư hạ tầng, Phát triển nhân lực, Chuyển đổi số và Quản lý đô thị hóa.
Từ khóa: tăng trưởng kinh tế, du lịch, vùng Kinh tế trọng điểm miền Trung
Summary
This study assesses the impact of tourism on economic growth in the Central Key Economic Zone in 2010-2023. The results show that tourism positively and statistically significantly impacts economic growth in the Central Key Economic Zone. Capital, Labor, Digital transformation, and Urbanization also have significant impacts. On that basis, the study proposes several solutions to promote tourism, infrastructure investment, human resource development, digital transformation, and urbanization management.
Keywords: economic growth, tourism, Central Key Economic Zone
GIỚI THIỆU
Du lịch đóng vai trò quan trọng trong việc thúc đẩy tăng trưởng kinh tế toàn cầu, đặc biệt tại các khu vực giàu tài nguyên thiên nhiên và văn hóa. Tại Việt Nam, du lịch không chỉ là ngành kinh tế mũi nhọn, mà còn là công cụ hiệu quả để chuyển dịch cơ cấu kinh tế, tạo việc làm, nâng cao thu nhập và cải thiện hạ tầng. Với những lợi thế về địa lý và tài nguyên, vùng VKTTĐMT được xem là một trong những khu vực tiềm năng phát triển du lịch mạnh mẽ, đóng góp đáng kể vào tăng trưởng kinh tế quốc gia.
VKTTĐMT bao gồm các tỉnh Thừa Thiên Huế, Đà Nẵng, Quảng Nam, Quảng Ngãi và Bình Định, với gần 6,6 triệu dân, trải dài 550 km dọc bờ biển phía Đông. Năm 2022, Đà Nẵng dẫn đầu vùng với tốc độ tăng trưởng GRDP 14,5%, tiếp theo là Quảng Nam 11,2%, Bình Định 8,57%, Thừa Thiên Huế 8,56% và Quảng Ngãi 8,29% (Các tỉnh VKTTĐMT, 2024). Sự tăng trưởng này phản ánh vai trò quan trọng của du lịch trong việc thúc đẩy kinh tế vùng. Tuy nhiên, quá trình phát triển du lịch của vùng còn đối mặt với nhiều thách thức như sự phát triển chưa đồng đều giữa các tỉnh, áp lực lên môi trường, hạ tầng và thiếu các chính sách phát triển bền vững. Nghiên cứu này đánh giá mối quan hệ giữa phát triển du lịch và tăng trưởng kinh tế tại VKTTĐMT, từ đó đề xuất các chính sách nhằm tối ưu hóa tiềm năng du lịch, đồng thời đảm bảo phát triển bền vững và cân bằng, góp phần vào sự phát triển lâu dài của nền kinh tế Việt Nam (Vuong và Nguyen, 2024).
TỔNG QUAN VÀ PHƯƠNG PHÁP NGHIÊN CỨU
Tổng quan các nghiên cứu liên quan
Các nghiên cứu đã chỉ ra rằng du lịch có tác động tích cực đến tăng trưởng kinh tế, đặc biệt ở các quốc gia đang phát triển. Nghiên cứu của Adam và cộng sự (2018) cho thấy, du lịch đóng góp mạnh mẽ vào GDP tại các nước ASEAN thông qua việc tạo việc làm, đầu tư cơ sở hạ tầng và thúc đẩy tiêu dùng nội địa. Tương tự, Kum và cộng sự (2015) phát hiện rằng, tại các quốc gia Next-11, bao gồm nhiều nước châu Á, như: Bangladesh, Indonesia và Việt Nam, sự gia tăng lượng du khách quốc tế có liên quan mật thiết đến tốc độ tăng trưởng GDP, cho thấy du lịch là nguồn lực quan trọng trong việc thúc đẩy tăng trưởng kinh tế, đặc biệt qua việc tạo việc làm và cải thiện hạ tầng. Nghiên cứu tại Ấn Độ của Dritsakis (2012) cũng khẳng định rằng, du lịch có mối quan hệ mật thiết với tăng trưởng kinh tế. Sự gia tăng lượng du khách quốc tế và doanh thu từ du lịch đã đóng góp đáng kể vào GDP của Ấn Độ, đặc biệt là trong các ngành dịch vụ và cơ sở hạ tầng du lịch. Điều này cho thấy du lịch không chỉ trực tiếp đóng góp vào GDP, mà còn hỗ trợ sự phát triển của các ngành liên quan. Tại Saudi Arabia, nghiên cứu của Naseem (2021) cho thấy, du lịch có mối quan hệ tích cực dài hạn với tăng trưởng kinh tế. Số lượng du khách quốc tế có tác động mạnh mẽ nhất đến GDP của quốc gia này, khẳng định vai trò quan trọng của du lịch trong việc thúc đẩy phát triển kinh tế. Mặc dù nghiên cứu tại Jordan của Al-Tamimi (2020) ghi nhận một số tác động tiêu cực từ chi phí nhập khẩu liên quan đến du lịch, nhưng tác động tổng thể của du lịch đến tăng trưởng GDP vẫn được cho là tích cực, hỗ trợ phát triển các ngành liên quan. Điều này cho thấy, dù có những thách thức, du lịch vẫn có tiềm năng lớn trong việc thúc đẩy tăng trưởng kinh tế nếu được quản lý hiệu quả. Những kết quả này nhấn mạnh rằng du lịch không chỉ trực tiếp đóng góp vào GDP thông qua chi tiêu của du khách mà còn tạo ra hiệu ứng lan tỏa tích cực đến nhiều ngành kinh tế khác, đặc biệt ở các nước đang phát triển (Kum và cộng sự, 2015).
Du lịch đóng vai trò quan trọng trong việc thúc đẩy tăng trưởng kinh tế, đặc biệt là ở các quốc gia thuộc Diễn đàn Hợp tác Kinh tế châu Á - Thái Bình Dương (APEC) và Liên minh châu Âu (EU). Nghiên cứu của Navarro-Chávez và cộng sự (2023) và Nwaeze và cộng sự (2023) đã áp dụng phương pháp ARDL để phân tích dữ liệu từ nhiều quốc gia trong giai đoạn 1995-2020, cho thấy du lịch không chỉ đóng góp trực tiếp vào GDP, mà còn thúc đẩy đầu tư và tạo việc làm. Tuy nhiên, mối quan hệ giữa du lịch và tăng trưởng kinh tế không hoàn toàn tích cực khi xem xét đến các tác động môi trường. Kết quả từ các nghiên cứu này chỉ ra rằng, tăng trưởng du lịch gắn liền với sự gia tăng phát thải CO2, đặc biệt là do tiêu thụ năng lượng trong các hoạt động du lịch. Phân tích ARDL cho thấy, trong dài hạn, một mức tăng 1% trong tiêu thụ năng lượng có thể dẫn đến mức tăng đáng kể trong phát thải CO2, gây ra những hệ lụy tiêu cực cho môi trường. Do đó, mặc dù du lịch có thể thúc đẩy tăng trưởng kinh tế, nhưng cần có các chính sách bền vững để quản lý các tác động tiêu cực đến môi trường, đảm bảo rằng lợi ích kinh tế từ du lịch không gây ra thiệt hại về môi trường trong dài hạn.
Phương pháp nghiên cứu
Phương pháp thu thập dữ liệu
Nghiên cứu sử dụng dữ liệu thứ cấp từ niên giám thống kê, báo cáo kinh tế - xã hội và quy hoạch của các tỉnh trong VKTTĐMT, cùng với báo cáo mức độ sẵn sàng ứng dụng công nghệ thông tin của Bộ Thông tin và Truyền thông giai đoạn 2010-2023. Các số liệu gồm: GRDP theo giá hiện hành và giá so sánh 2010, đơn vị tính tỷ đồng; Doanh thu du lịch, đơn vị tính tỷ đồng; Chỉ số sẵn sàng ứng dụng công nghệ thông tin – ICT. Vốn đầu tư thực hiện hàng năm, đơn vị tính tỷ đồng; Lao động làm việc trong nền kinh tế (1.000 người); Dân sô thành thị của các tỉnh (1.000 người)…
Mô hình đề xuất
Các lý thuyết chính về tác động của du lịch đến tăng trưởng kinh tế, đặc biệt là Lý thuyết tăng trưởng ngoại sinh và nội sinh cơ sở để xây dựng mô hình phân tích. Theo đó, các nghiên cứu, như: Dritsakis (2012), Chien và cộng sự (2021), Quyết và Hải (2015 đã sử dụng mô hình Cobb-Douglas để phân tích mối quan hệ giữa phát triển du lịch và tăng trưởng kinh tế, với các biến số, như: GDP, Vốn lao động và các yếu tố liên quan đến du lịch khác. Bắt đầu từ Mô hình tăng trưởng Cobb-Douglas có dạng tổng quát như sau:
Y = AKα L1-α (1)
Trong đó: Y là tổng sản lượng đầu ra (GDP); K là vốn; L là lao động; A là năng suất các yếu tố tổng hợp (TFP).
Trong mô hình (1), TFP đo lường năng suất của lao động và vốn, phản ánh tiến bộ công nghệ, giáo dục, quyền sở hữu, tuổi thọ, và yếu tố địa lý (Sala-i-Martin, 1997). TFP bao gồm nhiều yếu tố ảnh hưởng đến sản lượng đầu ra, nhưng đưa tất cả vào mô hình có thể làm giảm bậc tự do, điều này không được các nhà kinh tế lượng khuyến khích. Theo Tang và Abosedra (2013) và Jin (2011), các yếu tố, như: Du lịch, ICT và Đô thị hóa – thuộc TFP – có thể tích hợp vào mô hình nghiên cứu. Do đó, phương trình (1) được điều chỉnh thành mô hình (2) cho dữ liệu VKTTĐMT.
lnYit = β0 +β1lnDTDLit + β2ICTit + β3lnDTHVit +β4 lnKít +β5lnLit (2)
Trong đó: i là tỉnh và t là thời gian; LnYit đại diện cho tăng trưởng kinh tế và Yit là GRDP của tỉnh i năm t; Kit là vốn sản xuất tỉnh i năm t; Lit là lao động đang làm việc tỉnh i năm t; DTDLVit là doanh thu du lịch của tỉnh i năm t; ICTit là chỉ số sẵn sáng ứng dụng công nghệ thông tin tỉnh i năm t; DTHit là dân số đô thị của tỉnh i năm t.
Phương pháp ước lượng
Dữ liệu bảng theo thời gian và không gian cấp tỉnh cho phép áp dụng nhiều kỹ thuật ước lượng. Bài viết đề xuất sử dụng Hồi quy OLS, mô hình tác động ngẫu nhiên (REM), tác động cố định (FEM) và phương pháp 3SLS để xử lý nội sinh từ các biến lnDTDLit và ICT. Theo Naradda và cộng sự (2017), doanh thu du lịch hiện tại phụ thuộc vào doanh thu năm trước, trong khi Brynjolfsson và cộng sự (2000) chỉ ra độ trễ trong tác động của chuyển đổi số, từ đó các phương trình (3) và (4) được thiết lập.
lnDTDLit = β0 + β1lnDTDLit-1 + uit (3)
lnICT it = β0 + β1lnICTit-1 + uit (4) (4)
Các phương trình (2), (3) và (4) tạo thành hệ phương trình đồng thời, theo Zellner và cộng sự (1962), có thể áp dụng phương pháp ước lượng 3SLS.
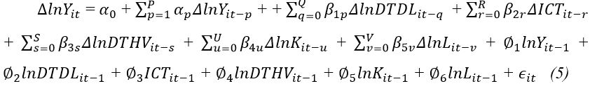
Mối quan hệ giữa Du lịch và Tăng trưởng kinh tế được xem xét bằng phương pháp ARDL với mô hình (5) được triển khai từ mô hình (2) như sau:
![]() |
Trong đó: ∆ biểu thị sai phân bậc nhất (first difference); P, Q, R, S, U, V là các độ trễ tối đa cho các biến tương ứng; , , , , là các hệ số của các biến sai phân bậc nhất. , , , , , là các hệ số của các biến trễ một kỳ. là sai số.
KẾT QUẢ VÀ THẢO LUẬN
Thống kê mô tả các biến dùng trong mô hình
Bảng 1 cung cấp thống kê mô tả cho các biến trong mô hình. Biến phụ thuộc, đại diện cho tăng trưởng kinh tế (lny), có giá trị trung bình = 10,65, với giá trị nhỏ nhất = 9,78 và giá trị lớn nhất = 11,28. Các biến khác cũng được thống kê chi tiết trong bảng 1. Dựa trên các thống kê mô tả này, có thể nhận thấy rằng, dữ liệu không có sự phân tán đáng kể, do đó có thể sử dụng các số liệu này cho quá trình phân tích tiếp theo.
Bảng 1: Thống kê mô tả
| Tên biến | Trung bình | Độ lệch chuẩn | Giá trị bé nhất | Giá trị lớn nhất |
| lny | 10,65 | 0,36 | 9,78 | 11,28 |
| lndtdl | 4,49 | 1,37 | 2,07 | 7,30 |
| lnk1 | 9,87 | 0,43 | 9,13 | 11,59 |
| lnl1 | 6,54 | 0,20 | 6,06 | 6,80 |
| ict | 0,53 | 0,20 | 0,27 | 0,94 |
| lndthv1 | 7,90 | 0,52 | 7,00 | 8,81 |
| lndtdl1 | 4,41 | 1,38 | 2,07 | 7,24 |
| ict1 | 0,52 | 0,19 | 0,27 | 0,94 |
Kiểm định tính dừng
Bảng 2: Kết quả của kiểm định gốc đơn vị Augmanted Dickey – Fuller
|
Biến | Kết quả kiểm định ADF | Gía trị thống kê t ở mức |
Xác suất | ||
| 1% Critical | 5% Critical | 10% Critical | |||
| lny | -2,965 | -4,097 | -3,476 | -3,166 | 0,1421 |
| lndtdl | -2,719 | -4,097 | -3,476 | -3,166 | 0,2281 |
| lnk1 | -5,218 | -4,097 | -3,476 | -3,166 | 0,0001 |
| lnl1 | -2,970 | -4,097 | -3,476 | -3,166 | 0,1179 |
| ict | -2,675 | -4,097 | -3,476 | -3,166 | 0,2468 |
| lndthv1 | -2,592 | -4,097 | -3,476 | -3,166 | 0,2956 |
| lndtdl1 | -2,7320 | -4,097 | -3,476 | -3,166 | 0,2231 |
| ict1 | -2,8610 | -4,097 | -3,476 | -3,166 | 0,1753 |
Nguồn: Xử lý từ số liệu của nhóm tác giả
Kết quả kiểm định (Bảng 2) cho thấy, các chuỗi dữ liệu gốc đều là chuỗi không dừng, trừ biến lnk1, tuy nhiên khi lấy sai phân các biến còn lại đều là chuỗi dừng sai phân bậc 1 với các mức ý nghĩa 1%, 5% hay 10%.
Kết quả phân tích tác động của du lịch tới tăng trưởng kinh tế
Kết quả ước lượng (Bảng 3) với ba phương pháp: OLS, REM và 3SLS có thể đưa ra các nhận xét về tác động của các biến đến tăng trưởng kinh tế (lny), được giải thích bởi các biến lndtdl (doanh thu du lịch), lnk1 (vốn sản xuất trễ 1 năm), lnl1 (lao động trễ 1 năm), ict (năng lực chuyển đổi số), và lndthv1 (đô thị hóa trễ 1 năm).
Các kiểm định, như: Breusch-Pagan/Cook-Weisberg và Durbin-Watson cho thấy, mô hình không gặp vấn đề nghiêm trọng về phương sai sai số thay đổi hay tự tương quan. Hausman test cho thấy, mô hình hiệu ứng cố định phù hợp hơn.
Doanh thu du lịch (lndtdl) có tác động tích cực và có ý nghĩa thống kê đến tăng trưởng kinh tế (lny) trong cả 3 mô hình, với mức tăng từ 0,07% đến 0,10% khi doanh thu du lịch tăng 1%. Vốn sản xuất trễ 1 năm (lnk1) cũng cho thấy ảnh hưởng tích cực, với hệ số 0,26 trong OLS và 3SLS, mặc dù không có ý nghĩa trong REM.
Bảng 3: Kết quả ước lượng
|
| OLS | REM | 3SLS |
| Biến phụ thuộc – Tăng trưởng kinh tế -lny | |||
| lndtdl | 0,10** (0,04) | 0,07*** (0,02) | 0,09* (0,05) |
| lnk1 | 0,26*** (0,08) | 0,00 (0,03) | 0,26*** (0,08) |
| lnl1 | 1,24*** (0,28) | 0,47** (0,19) | 1,31*** (0,32) |
| ict | 1,10*** (0,44) | 0,87*** (0,18) | 1,33** (0,62) |
| lndthv1 | 0,19** (0,11) | 1,36*** (0,10) | 0,22* (0,12) |
| Hệ số góc | -2,57 (2,57) | -1,49 (1,33) | -3,37 (2,96) |
| R - sq | 0,3322 | 0,3413 | 0,3746 |
| Kiểm định phương sai sai số thay đổi | 0,6298 |
| 0,6298 |
| vif | 3,332 | 3,33 | 2,7872 |
| Durbin-Watson | 1,8541 | 1,9431 | 1,8843 |
| N | 75 | 75 | 75 |
| Prob > F | 0,000 | 0,000 | 0,000 |
| Kiểm định tự tương quan trong dữ liệu Bảng |
| 0,151 |
|
| Hausman test |
| 0,0000 |
|
Nguồn: Xử lý từ số liệu của nhóm tác giả
Lao động trễ 1 năm (lnl1) là yếu tố quan trọng, có ảnh hưởng mạnh mẽ đến tăng trưởng kinh tế, đặc biệt trong 3SLS với hệ số 1,31. Năng lực chuyển đổi số (ict) cũng có tác động tích cực đáng kể, đặc biệt trong 3SLS với hệ số 1,33. Đô thị hóa trễ 1 năm (lndthv1) có tác động tích cực trong cả ba phương pháp và cao nhất với REM.
Mô hình ARDL (5) cho thấy, kết quả với hệ số điều chỉnh (ADJ) của lny ở mức -0,3933, với p-value = 0,000, nghĩa là có mối quan hệ đồng liên kết dài hạn giữa các biến. Điều này cũng phù hợp với kết quả kiểm định đường báo dưới đây. Hệ số điều chỉnh âm và có ý nghĩa thống kê chỉ ra rằng nếu nền kinh tế bị lệch khỏi trạng thái cân bằng dài hạn, nó sẽ điều chỉnh trở lại với tốc độ khoảng 39,33% trong mỗi chu kỳ.
Bảng 4: Kết quả kiểm định đường bao (Bound test)
| 10% | 5% | 1% | p-value | |||||
|
| I(0) | I(1) | I(0) | I(1) | I(0) | I(1) | ||
| F | 2,365 | 3,53 | 2,794 | 4,069 | 3,761 | 5,263 | 0,000 | 0,000 |
| t | -2,546 | -3,86 | -2,871 | -4,232 | -3,515 | -4,957 | 0,000 | 0,000 |
Nguồn: Xử lý từ số liệu của nhóm tác giả
Các thống kê mô tả và kết quả kiểm định tính dừng (Bảng 1 và 2) cho thấy, các điều kiện cần thiết đã được thỏa mãn để tiến hành xem xét mối quan hệ giữa tăng trưởng kinh tế và du lịch cùng các biến kiểm soát trong cả ngắn hạn và dài hạn theo mô hình (1A). Thủ tục kiểm định đường bao (Bounds Test) cho giá trị của thống kê F = 10.428 và t = -7,223, cả 2 đều vượt qua giới hạn trên và dưới tương ứng của các biến I(0) và I(1) trong Bảng 4. Do đó, bác bỏ giả thuyết H0 về sự không tồn tại mối quan hệ đồng liên kết (no cointegration) và chấp nhận giả thuyết H1 về sự tồn tại mối quan hệ đồng liên kết dài hạn giữa du lịch (lndtdl) và các biến còn lại với tăng trưởng kinh tế (lny).
KẾT LUẬN VÀ HÀM Ý CHÍNH SÁCH
Kết quả nghiên cứu cho thấy, Du lịch có tác động tích cực đến Tăng trưởng kinh tế của VKTTĐMT trong cả ngắn hạn và dài hạn, đóng vai trò là một động lực quan trọng trong việc thúc đẩy kinh tế khu vực. Trong ngắn hạn, doanh thu du lịch góp phần mạnh mẽ vào tăng trưởng, nhưng để duy trì và phát triển lâu dài, ngành du lịch cần có chiến lược phát triển bền vững; Vốn sản xuất cũng thể hiện vai trò quan trọng, giúp thúc đẩy tăng trưởng ngay lập tức trong ngắn hạn và đặt nền tảng cho sự phát triển kinh tế ổn định trong tương lai; Lao động là yếu tố chủ chốt, có tác động lớn đến tăng trưởng kinh tế trước mắt và tiếp tục là một trong những yếu tố quan trọng trong dài hạn khi được kết hợp với các yếu tố khác như vốn và công nghệ; Năng lực chuyển đổi số không chỉ giúp nâng cao năng suất mà còn giúp nền kinh tế thích ứng với những thay đổi công nghệ, từ đó tạo ra sự phát triển kinh tế bền vững trong dài hạn; Đô thị hóa, nếu được quản lý hiệu quả, có thể đóng góp đáng kể vào tăng trưởng kinh tế, đặc biệt là trong việc cải thiện cơ sở hạ tầng và nâng cao chất lượng cuộc sống.
Để phát huy vai trò của du lịch và các yếu tố quan trọng khác trong tăng trưởng kinh tế tại VKTTĐMT, các chính sách cần tập trung vào:
Nâng cao chất lượng và đa dạng hóa sản phẩm du lịch: Đầu tư mạnh mẽ vào cơ sở hạ tầng du lịch và nâng cao chất lượng dịch vụ để thu hút và giữ chân du khách. Đa dạng hóa các sản phẩm du lịch, bao gồm du lịch văn hóa, sinh thái và MICE, nhằm khai thác tối đa tiềm năng du lịch của vùng.
Tăng cường đầu tư vào sản xuất: Khuyến khích đầu tư vào cơ sở hạ tầng sản xuất, đặc biệt là trong các khu công nghiệp và khu kinh tế. Điều này sẽ giúp nâng cao năng suất, tạo việc làm và thúc đẩy tăng trưởng kinh tế bền vững.
Phát triển nguồn nhân lực: Tập trung vào giáo dục và đào tạo nghề, đặc biệt trong các lĩnh vực công nghệ cao và dịch vụ. Đầu tư vào nâng cao kỹ năng lao động để đáp ứng nhu cầu của các ngành công nghiệp và dịch vụ đang phát triển.
Thúc đẩy chuyển đổi số: Đẩy mạnh ứng dụng công nghệ số trong mọi lĩnh vực kinh tế, hỗ trợ doanh nghiệp chuyển đổi số để nâng cao năng suất và khả năng cạnh tranh. Cải thiện hạ tầng công nghệ thông tin để hỗ trợ sự phát triển của nền kinh tế số.
Quản lý đô thị hóa hiệu quả: Quy hoạch đô thị bền vững, đảm bảo phát triển đồng đều giữa các khu vực, tránh tình trạng quá tải hạ tầng và bất bình đẳng xã hội. Đô thị hóa cần được điều tiết để hỗ trợ phát triển kinh tế mà không gây ra những tác động tiêu cực.
Tăng cường hợp tác và liên kết vùng: Phát triển các liên kết kinh tế và hạ tầng giữa các tỉnh trong vùng để tận dụng tối đa lợi thế cạnh tranh, chia sẻ tài nguyên và kinh nghiệm, và tăng cường hiệu quả kinh tế tổng thể của VKTTĐMT./.
Tài liệu tham khảo
1. Adam, H., Pakkana, A. K., and Iswati, S. (2018), Analysis of Labor, Tourism, and GDP Growth: Case Study of ASEAN Countries, Advances in Social Science, Education and Humanities Research, 259, 158-161.
2. Al-Tamimi, K. A. M. (2020), Impact of Tourism Sector on Gross Domestic Product Growth in Jordan, Research in World Economy, 11(1), 106-114. https://doi.org/10.5430/rwe.v11n1p106.
3. Brynjolfsson, E., and Hitt, L. M. (2000), Beyond computation: Information technology, organizational transformation, and business performance, Journal of Economic Perspectives, 14(4), 23-48, https://doi.org/10.1257/jep.14.4.23.
4. Các tỉnh vùng Kinh tế trọng điểm miền Trung (2024), Niên giám thông kê năm 2023, Nxb Thống kê.
5. Chien, F., Kamran, H. W., Nawaz, M. A., Thach, N. N., Long, P. D., and Baloch, Z. A. (2021), Assessing the priority of green innovation barriers for SMEs in the tourism industry, Sustainability, 13(1), 219-236.
6. Dritsakis, N. (2012), The role of tourism in economic growth: Empirical evidence from the seven Mediterranean countries, Tourism Management, 33(2), 441-453.
7. Dritsakis, N. (2012). Tourism Development and Economic Growth in Seven Mediterranean Countries: A Panel Data Approach, Tourism Economics, 18(4), 801-816. https://doi.org/10.5367/te.2012.0140.
8. Jin, C. J. (2011), The effects of tourism on economic growth: A meta-analysis, Journal of Hospitality & Tourism Research, 35(2), 141-159.
9. Kum, H., Aslan, A., and Gungor, M. (2015), Tourism and Economic Growth: The Case of Next-11 Countries, International Journal of Economics and Financial Issues, 5(4), 1075-1081.
10. Naradda, et al. (2017), The role of tourism income per capita in the relationship between economic growth and CO2 emissions, Economies, 11(264), 7-23,. https://doi.org/10.3390/economies11264007.
11. Naseem, S. (2021), The Role of Tourism in Economic Growth: Empirical Evidence from Saudi Arabia. Economies, 9(117), 1-12, https://doi.org/10.3390/economies9030117.
12. Navarro-Chávez, C. L., Ayvar-Campos, F. J., and Camacho-Cortez, C. (2023), Tourism, economic growth, and environmental pollution in APEC economies, 1995–2020: An econometric analysis of the Kuznets hypothesis, Economies, 11(264). https://doi.org/10.3390/economies11100264.
13. Nwaeze, O. B., Nwosu, I. S., and Umejiaku, R. I. (2023), The relationship between tourism, economic growth, and environmental degradation: Evidence from panel ARDL approach, Future Business Journal, 9(16), https://doi.org/10.1186/s43093-023-00193-5.
14. Quyet, N., and Hai, V. T. (2015), The role of tourism in Vietnam's economic growth: A short-term and long-term analysis, Journal of Economic Development, 22(3), 12-27.
15. Sala-i-Martin, X. (1997), I just ran four million regressions, American Economic Review, 87(2), 178-183.
16. Tang, C. F., and Abosedra, S. (2013), Tourism and growth in Lebanon: New evidence from bootstrap simulation and rolling causality approaches, Empirical Economics, 44(3), 1111-1120.
17. Vuong, Q. H., Nguyen, M. H. (2024). Better Economics for the Earth: A Lesson from Quantum and Information Theories. AISDL.
18. Zellner, A., and Theil.H. (1962), Three- Stage last squeres: Simultaneous estimation of Simultaneous equations, Econometrica, 30(1), 54-78.
| Ngày nhận bài: 02/11/2024; Ngày phản biện: 15/11/2024; Ngày duyệt đăng: 12/12/2024 |


Bình luận