Các yếu tố ảnh hưởng đến ý định mua lặp lại trực tuyến của người tiêu dùng tại TP. Hồ Chí Minh
ThS. Nguyễn Nguyên Phương
Sở Công Thương TP. Hồ Chí Minh
TS. Trần Ngọc Tú - Trường Đại học Sài Gòn
Email: tntu@sgu.edu.vn
Tóm tắt
Thông qua kết quả khảo sát đối với 212 người tiêu dùng với phương pháp chọn mẫu thuận tiện, nghiên cứu nhằm xem xét sự ảnh hưởng của các yếu tố đến ý định mua lặp lại trực tuyến của người tiêu dùng tại TP. Hồ Chí Minh. Kết quả nghiên cứu cho thấy, có 4 yếu tố ảnh hưởng đến Ý định mua lặp lại trực tuyến, cụ thể: (1) Giá trị nhận thức; (2) Hình ảnh tổ chức; (3) Niềm tin và (4) Sự tin cậy. Trong đó, Hình ảnh tổ chức là yếu tố ảnh hưởng mạnh nhất đến ý định mua lặp lại trực tuyến, còn Niềm tin có ảnh hưởng thấp nhất đến Ý định mua lặp lại trực tuyến.
Từ khóa: giá trị nhận thức, hình ảnh tổ chức, niềm tin, sự tin cậy, ý định mua lặp lại trực tuyến
Summary
By surveying 212 consumers with the convenience sampling method, the study aims to examine the influence of factors on the online repeat purchase intention of consumers in Ho Chi Minh City. The research results show that there are 4 factors affecting online repeat purchase intention, specifically: (1) Perceived value; (2) Organizational image; (3) Faith, and (4) Trust. Organizational image is the factor that has the outstanding influence on online repeat purchase intention, while Trust has the lowest influence on online repeat purchase intention.
Keywords: perceived value, organization image, faith, trust, online re-purchase intention
ĐẶT VẤN ĐỀ
Bán lẻ trực tuyến qua internet hay mua sắm trực tuyến lần đầu tiên xuất hiện vào năm 1994 (Chua và cộng sự, 2006). Khái niệm bán lẻ mới này đã thu hút sự quan tâm của nhiều nhà bán lẻ và thương nhân vì nhận ra rằng mua sắm trực tuyến sẽ được coi là một kênh thay thế bên cạnh các kênh bán lẻ truyền thống ngoại tuyến như các cửa hàng bán lẻ thực tế (Chua và cộng sự, 2006). Mạng lưới toàn cầu (WWW) đã cho phép nhiều công ty chuyển đổi những thách thức trong quá khứ thành cơ hội trong tương lai, không chỉ trong bối cảnh tiếp thị mà quan trọng hơn là một phương tiện hiệu quả để nuôi dưỡng mối quan hệ với khách hàng (Kim và cộng sự, 2009). Các thương nhân có xu hướng thiết kế cửa hàng trực tuyến như một phương pháp bán lẻ trực tuyến khi tên thương hiệu và danh tiếng của sản phẩm đã được khẳng định và được người tiêu dùng biết đến rộng rãi (Chua và cộng sự, 2006). Một ví dụ điển hình là Cửa hàng trực tuyến Dell bán máy tính cá nhân (The Economist, 1997) cho người tiêu dùng ở khắp mọi nơi.
Do các yếu tố văn hóa, kinh tế, xã hội và chính trị, sự phát triển của thương mại điện tử sẽ không giống nhau ở các quốc gia (Yu, 2006). Bán lẻ trên Internet là một trong những lĩnh vực phát triển nhanh nhất ở Vương quốc Anh và đang có tác động đáng kể đến hoạt động bán lẻ truyền thống (Gunawan và cộng sự, 2008). Theo Interactive Media Retail Group, doanh số bán hàng trên Internet tiếp tục tăng từ 14,5 tỷ bảng Anh năm 2004 lên khoảng 26 tỷ bảng Anh năm 2006, chiếm 10% tổng doanh số bán lẻ tại Vương quốc Anh (Gunawan và cộng sự, 2008). Số lượng người mua sắm trên Internet thực tế cũng tăng lên; năm 2006, có khoảng 26 triệu người, hơn một nửa số người lớn ở Vương quốc Anh, mua hàng qua Internet (Gunawan và cộng sự, 2008). Trong trường hợp của Trung Quốc, sự phát triển của thương mại điện tử gặp phải một số khó khăn (Yu, 2006). Sự thâm nhập Internet trong các hộ gia đình ở Trung Quốc tụt hậu xa so với các nước phát triển vì giá truy cập nằm ngoài khả năng chi trả của nhiều người. Chi phí truy cập cao hơn nhiều so với ở Hoa Kỳ. Một báo cáo của Trung tâm Thông tin Internet Trung Quốc (2004) cho thấy, internet chỉ tiếp cận được khoảng 7 phần trăm dân số vào giữa năm 2004. Ở Việt Nam, hành vi mua sắm trực tuyến đã dần trở thành xu hướng được người tiêu dùng lựa chọn so với hình thức mua hàng truyền thống trước đây. Nhất là trong và sau bối cảnh bị ảnh hưởng bởi đại dịch Covid-19. Tuy nhiên, việc phát triển hình thức bán hàng này cũng gặp phải những rào cản nhất là khoảng cách vì vậy khó có thể tiếp xúc được sản phẩm trước khi mua. Từ đó ảnh hưởng đến niềm tin của người tiêu dùng. Trên cơ sở phân tích, tác giả nhận thấy việc thực hiện nghiên cứu “Các yếu tố ảnh hưởng đến ý định mua lặp lại trực tuyến của người tiêu dùng tại TP. Hồ Chí Minh” là cần thiết.
CƠ SỞ LÝ THUYẾT VÀ PHƯƠNG PHÁP NGHIÊN CỨU
Cơ sở lý thuyết
Ý định mua lặp lại trực tuyến
Hành vi hoặc ý định mua lại của khách hàng có lợi cho hoạt động kinh doanh trực tuyến. Trong một số nghiên cứu, ý định mua lại có liên quan chặt chẽ đến lòng trung thành của khách hàng (Jiang và Rosenbllom, 2005). Cả giới học thuật và những người hành nghề đều nhận ra tầm quan trọng của khách hàng trung thành. Họ thường chi tiêu nhiều hơn, mua thường xuyên hơn, có nhiều động lực tìm kiếm thông tin hơn, phản đối các chương trình khuyến mãi của đối thủ cạnh tranh hơn và có nhiều khả năng truyền miệng tích cực hơn (Jiang và Rosenbllom, 2005). Ví dụ, Jiang và Rosenbllom (2005) phát hiện ra rằng, việc tăng tỷ lệ giữ chân khách hàng thêm 5 phần trăm sẽ làm tăng lợi nhuận thêm 25%-95%. Họ cũng lập luận rằng lòng trung thành của khách hàng thậm chí còn quan trọng hơn trong các kênh trực tuyến, vì việc thu hút khách hàng trên internet có thể rất tốn kém. Trong nghiên cứu này, tác giả lập luận về vai trò tạo điều kiện thuận lợi của giá trị nhận thức, danh tiếng, niềm tin, độ tin cậy trong ý định mua lại của khách hàng trực tuyến.
Giá trị nhận thức
Giá trị cảm nhận là kết quả thiết yếu của các hoạt động tiếp thị và là yếu tố bậc nhất trong tiếp thị quan hệ (Moliner và cộng sự, 2007). Hume (2008) chỉ ra rằng, giá trị cảm nhận có mối quan hệ trực tiếp và cụ thể với sự hài lòng. Do đó, người tiêu dùng có thể tích hợp nhận thức của họ về những gì họ nhận được (lợi ích) và những gì họ phải từ bỏ (hy sinh) để nhận được một dịch vụ nhất định (Ha và Janda, 2008). Ngoài ra, Hume (2008) cũng cho rằng, giá trị cảm nhận là chỉ số quan trọng nhất của ý định mua lại. Nếu một giao dịch mua mang lại mức giá trị cao, điều này sẽ cải thiện mức độ quay lại và mua lại của khách hàng trong tương lai. Trong bối cảnh bán lẻ, Guenzi và cộng sự (2009) nhận thấy rằng, nhận thức về giá trị hàng hóa làm trung gian cho tác động của các tín hiệu môi trường cửa hàng và tiêu chí lựa chọn cửa hàng (ví dụ: chất lượng hàng hóa) đối với ý định bảo trợ cửa hàng. Tương tự như vậy, Guenzi và cộng sự (2009) đã tìm thấy bằng chứng cho thấy, giá trị cảm nhận ảnh hưởng đến ý định trung thành. Từ đó, giả thuyết sau được đưa ra:
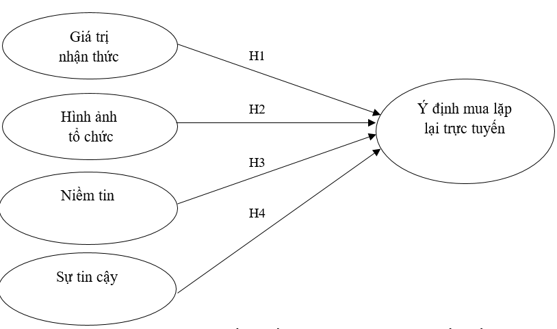
H1: Giá trị nhận thức có ảnh hưởng tích cực đến Ý định mua lặp lại trực tuyến của ngưởi tiêu dùng tại TP. Hồ Chí Minh.
Hình ảnh tổ chức
Theo Hess (2008), danh tiếng của công ty có thể được định nghĩa là nhận thức của khách hàng về việc một công ty chăm sóc khách hàng tốt như thế nào và thực sự quan tâm đến phúc lợi của họ. Ngoài ra, Hess (2008) tiết lộ rằng, danh tiếng tuyệt vời mang lại cho các công ty một "hiệu ứng đệm", bảo vệ họ khỏi một số hậu quả tiêu cực của sự thất bại. Ông lập luận rằng, danh tiếng của công ty đã điều chỉnh mối quan hệ giữa mức độ nghiêm trọng của sự thất bại và sự hài lòng, làm giảm sự quy kết về khả năng kiểm soát và tính ổn định, và dẫn đến ý định mua lại cao hơn sau khi dịch vụ thất bại. Sự quy kết về khả năng kiểm soát và tính ổn định chỉ liên quan đến ý định mua lại; sự hài lòng không hoàn toàn làm trung gian cho những mối quan hệ này. Với những phát hiện nghiên cứu trước đây, có khả năng danh tiếng của công ty tốt cũng sẽ dẫn đến ý định mua lại trực tuyến cao hơn. Phân tích này dẫn đến giả thuyết sau:
H2: Hình ảnh tổ chức có ảnh hưởng tích cực đến Ý định mua lặp lại trực tuyến của ngưởi tiêu dùng tại TP. Hồ Chí Minh.
Niềm tin
Niềm tin của khách hàng đóng vai trò cơ bản trong việc duy trì mối quan hệ lâu dài với nhà bán lẻ. Theo Chiu và cộng sự (2009), nhìn chung, niềm tin được xem là một tập hợp các niềm tin cụ thể chủ yếu liên quan đến lòng nhân từ, năng lực và sự chính trực của một bên khác. Lòng nhân từ là niềm tin rằng bên được ủy thác sẽ không hành động theo cơ hội chống lại bên ủy thác, ngay cả khi có cơ hội (Chiu và cộng sự, 2009). Năng lực là niềm tin vào khả năng của bên được ủy thác trong việc hoàn thành nghĩa vụ của mình theo kỳ vọng của bên ủy thác (Chiu và cộng sự, 2009). Sự chính trực là niềm tin rằng, bên được ủy thác sẽ trung thực và sẽ tôn trọng các cam kết của mình (Chiu và cộng sự, 2009). Niềm tin của khách hàng ngụ ý rằng người tiêu dùng không nghi ngờ ý định tốt của công ty, rằng những lời hứa đưa ra không tạo ra sự không chắc chắn ở người mua và rằng giao tiếp giữa các bên là trung thực. Sự không chắc chắn của khách hàng có thể ngụ ý khả năng dịch vụ thất bại và kết quả tiêu cực, do đó, lòng tin trở nên quan trọng đối với các mối quan hệ lâu dài (Eisingerich và Bell, 2007). Thiếu lòng tin làm giảm cơ hội người mua tham gia mua sắm trực tuyến vì họ không muốn giao dịch với một nhà cung cấp mà họ không tin tưởng. Thật vậy, nghiên cứu trước đây chỉ ra rằng, sự tin tưởng đóng vai trò then chốt trong việc thúc đẩy ý định mua lại của khách hàng (Chiu và cộng sự, 2009). Phân tích này dẫn đến giả thuyết sau:
H3: Niềm tin có ảnh hưởng tích cực đến Ý định mua lặp lại trực tuyến của ngưởi tiêu dùng tại TP. Hồ Chí Minh.
Sự tin cậy
Goode và Harris (2007) định nghĩa độ tin cậy trực tuyến được nhận thức là mức độ mà trang web phản hồi và hoạt động như mong đợi một cách nhất quán (không có liên kết bị hỏng, trang bị hỏng hoặc liên kết ngõ cụt). Theo Kim và cộng sự (2009), độ tin cậy của dịch vụ là một trong những chiều chất lượng dịch vụ điện tử chính dẫn đến sự hài lòng chung của khách hàng. Trong một nghiên cứu khác, Ndubisi (2011) chỉ ra rằng độ tin cậy của dịch vụ dẫn đến sự định hướng và sự hài lòng của khách hàng, và gián tiếp dẫn đến lòng trung thành được trung gian bởi sự hài lòng. Người ta cho rằng để thu hút khách hàng mới và giữ chân khách hàng hiện tại, độ tin cậy được nhận thức của các trang web có tầm quan trọng then chốt (Goode và Harris, 2007). Goode và Harris (2007) phát hiện ra rằng, khi khách hàng hiện tại tìm thấy bằng chứng về dịch vụ hoặc hiệu suất trực tuyến không đáng tin cậy (ví dụ: liên kết bị hỏng, tập lệnh java bị lỗi, lỗi tập lệnh và đồ họa bị thiếu), những người mua sắm như vậy thường sẽ rời khỏi trang web, thất vọng với dịch vụ trực tuyến. Do đó, các nhà bình luận lập luận rằng khi người tiêu dùng nhận thấy một trang web đáng tin cậy, lòng trung thành thực tế và mong muốn sẽ tăng lên (Goode và Harris, 2007). Phân tích này dẫn đến giả thuyết sau:
H4: Sự tin cậy có ảnh hưởng tích cực đến Ý định mua lặp lại trực tuyến của ngưởi tiêu dùng tại TP. Hồ Chí Minh.
Mô hình nghiên cứu đề xuất
Từ các giả thuyết nghiên cứu nói trên, nhóm tác giả đề xuất mô hình nghiên cứu như Hình 1 với thang đo và các biến được mô tả trong Bảng 1.
Hình 1: Mô hình nghiên cứu đề xuất
![]() |
| Nguồn: Kết quả từ lược khảo và đề xuất của nhóm tác giả |
Bảng 1: Thang đo và các biến
![]() |
| Nguồn: Nghiên cứu của nhóm tác giả |
Phương pháp nghiên cứu
Nghiên cứu được thực hiện thông qua 2 giai đoạn:
- Nghiên cứu sơ bộ: Phương pháp nghiên cứu định tính với kỹ thuật phỏng vấn sâu (7 chuyên gia) được tác giả sử dụng. Giai đoạn nghiên cứu này nhằm điều chỉnh và bổ sung biến quan sát cho thang đo đối với các khái niệm trong mô hình nghiên cứu.Thời gian thực hiện nghiên cứu định tính từ ngày 10/11/2024 đến ngày 13/11/2024.
- Nghiên cứu chính thức: Sử dụng phương pháp nghiên cứu định lượng cùng với phương pháp chọn mẫu thuận tiện với cỡ mẫu là 300, phương pháp thu thập thông tin được sử dụng là gửi bản hỏi trực tuyến đến người tiêu dùng tại TP. Hồ Chí Minh. Với tổng số phiếu gửi đi là 300 phiếu, số lượt đáp viên phản hồi là 247 lượt, số phản hồi đạt yêu cầu là 212 phản hồi. Thời gian tiến hành khảo sát từ ngày 15/12/2024 đến ngày 25/12/2024. Các tập biến quan sát (18 phát biểu) cụ thể đo lường trên thang đo Likert 5 điểm thay đổi từ 1 (Hoàn toàn không đồng ý) đến 5 (Hoàn toàn đồng ý).
KẾT QUẢ NGHIÊN CỨU
Kiểm định mô hình đo lường
Để đảm bảo cho mô hình đo lường, tác giả đã sử dụng phương pháp PLS để đánh giá các đặc tính của tất cả những thang đo đã sử dụng trong nghiên cứu này. Bởi vì tất cả các thang đo đã đề cập trong nghiên cứu này chứa các chỉ số phản chiếu, sự kiểm tra tính hợp lệ và độ tin cậy là cần thiết (Hair và cộng sự, 2014). Mỗi chỉ số đều được kiểm tra xem nó có phù hợp để đo lường cho ý định mục tiêu hay không. Bảng 2 cho thấy, hệ số tải nhân tố của các biến quan sát đều > 0,7, cho thấy thỏa mãn điều kiện hội tụ (Hair và cộng sự, 2014). Ngoài ra, độ tin cậy tổng hợp (CR) của các thang đo dao động ở mức từ 0,831 đến 0,898, mức trung bình phương sai rút trích (AVE) của các thang đo đều đạt điểm cắt, cho thấy độ tin cậy thỏa đáng với khoảng từ 0,638-0,746. Kết quả chứng minh được rằng, việc lựa chọn mô hình đo lường là phù hợp.
Bảng 2: Kết quả độ tin cậy và giá trị hội tụ của thang đo
![]() |
| Nguồn: Kết quả từ phân tích SmartPLS, dữ liệu 2024 |
Ngoài ra, để tiếp tục phân tích độ phân biệt, nghiên cứu tiến hành so sánh mối quan hệ giữa các nhân tố với phương sai trích trung bình (AVE). Kết quả phân tích cho thấy căn bậc hai AVE của mỗi nhân tố đều lớn hơn hệ số liên hệ giữa nhân tố đó với các nhân tố khác. Hay nói cách khác, hệ số tải nhân tố của từng chỉ báo đều lớn nhất trong ma trận hệ số tương quan chéo và có ý nghĩa thống kê với p-value = 0,000. Như vậy, mẫu nghiên cứu đảm bảo độ phân biệt của các nhân tố đo lường. Ngoài ra, kiểm định hiện tượng đa cộng tuyến đều cho giá trị VIF ˂ 5 (Hair và cộng sự, 2014) với giá trị lớn nhất là 1,412, nên mô hình không vi phạm.
Kiểm định mô hình cấu trúc
Hình 2 cho thấy, cả 4 yếu tố: Giá trị nhận thức, Hình ảnh tổ chức, Niềm tin và Sự tin cậy có ảnh hưởng trực tiếp đến Ý định mua lặp lại trực tuyến. Trong đó, yếu tố Hình ảnh tổ chức có ảnh hưởng mạnh nhất đến Ý định mua lặp lại trực tuyến với hệ số hồi quy β = 0,422 và yếu tố Niềm tin có ảnh hưởng thấp nhất đến Ý định mua lặp lại trực tuyến với hệ số hội quy β = 0,131. Ngoài ra, giá trị R2 = 0,488, điều đó có nghĩa là, Giá trị nhận thức, Hình ảnh tổ chức, Niềm tin và Sự tin cậy giải thích được 48,8% sự biến biến thiên của ý định mua lặp lại trực tuyến.
Bên cạnh đó, tác giả sử dụng chức năng Bootstrapping với 1.000 lần lặp lại để kiểm tra mô hình cấu trúc. Bảng 3 cho thấy, các biến độc lập đều có tác động cùng chiều đến biến phụ thuộc và có ý nghĩa thống kê (β > 0 và P-value ≤ 0,05), nên các giả thuyết H1, H2, H3, H4 đều được chấp nhận (P-value ≤ 0,05).
Hình 2: Kết quả mô hình cấu trúc tuyến tính PLS-SEM
![]() |
| Nguồn: Kết quả từ phân tích SmartPLS, dữ liệu 2024 |
Bảng 3: Phân tích mô hình cấu trúc
![]() |
| Nguồn: Tổng hợp từ phân tích mô hình cấu trúc tuyến tính, dữ liệu năm 2024 |
KẾT LUẬN VÀ HÀM Ý QUẢN TRỊ
Kết luận
Kết quả nghiên cứu cho thấy, có 4 yếu tố ảnh hưởng đến Ý định mua lặp lại trực tuyến, cụ thể: (1) giá trị nhận thức; (2) Hình ảnh tổ chức; (3) Niềm tin và (4) Sự tin cậy. Trong đó, Hình ảnh tổ chức là yếu tố ảnh hưởng mạnh nhất đến ý định mua lặp lại trực tuyến, còn Niềm tin có ảnh hưởng thấp nhất đến Ý định mua lặp lại trực tuyến.
Hàm ý quản trị
Trên cơ sở kết quả nghiên cứu, nhóm tác giả đề xuất các hàm ý sau:
- Đối với yếu tố Giá trị nhận thức”: Cần cung cấp đầy đủ thông tin về kích thước, chất liệu, chức năng, nguồn gốc xuất xứ; Hình ảnh và video chất lượng cao (hiển thị sản phẩm từ nhiều góc độ, video mô tả cách sử dụng thực tế); Đánh giá và nhận xét từ khách hàng cũ (hiển thị các đánh giá trung thực để tạo niềm tin); Chính sách minh bạch (bao gồm chính sách đổi trả, bảo hành và vận chuyển rõ ràng); Cho phép khách hàng xem sản phẩm trong không gian thực tế (ví dụ: thử đồ nội thất trong nhà, thử quần áo qua ứng dụng); Tạo không gian mua sắm trực tuyến hấp dẫn hơn bằng công nghệ VR.
- Đối với yếu tố Hình ảnh tổ chức”: Định vị thương hiệu rõ ràng (xác định sứ mệnh, tầm nhìn, giá trị cốt lõi và điểm khác biệt của tổ chức so với đối thủ); Thiết kế nhận diện thương hiệu chuyên nghiệp (bao gồm: logo, màu sắc, slogan, website, tài liệu truyền thông đồng bộ); Câu chuyện thương hiệu (xây dựng câu chuyện truyền cảm hứng về sự hình thành và phát triển của tổ chức để tạo kết nối cảm xúc với công chúng); Chiến dịch truyền thông hiệu quả (tận dụng các kênh truyền thông như báo chí, mạng xã hội, truyền hình, và các sự kiện để lan tỏa hình ảnh tổ chức).
- Đối với yếu tố Niềm tin”: Cam kết chất lượng (đảm bảo sản phẩm/dịch vụ đáp ứng hoặc vượt kỳ vọng của khách hàng); Bảo vệ thông tin cá nhân (đảm bảo khách hàng rằng thông tin cá nhân được bảo mật tuyệt đối và không bị chia sẻ); Cổng thanh toán bảo mật (sử dụng các cổng thanh toán uy tín (như: PayPal, Stripe, Visa/Mastercard) và mã hóa dữ liệu giao dịch); Hỗ trợ trực tuyến 24/7 (cung cấp chatbot hoặc nhân viên trực hỗ trợ mọi lúc để giải đáp thắc mắc kịp thời); Chính sách xử lý khiếu nại (cam kết xử lý các vấn đề nhanh chóng và chuyên nghiệp, tạo cảm giác yên tâm cho khách hàng).
- Đối với yếu tố Sự tin cậy”: Tăng độ tin cậy trong bán hàng trực tuyến là yếu tố sống còn để thu hút và giữ chân khách hàng, đặc biệt trong môi trường cạnh tranh gay gắt. Chứng nhận uy tín (hiển thị các chứng nhận chất lượng, giải thưởng hoặc đối tác đáng tin cậy (ví dụ: ISO, FDA, hoặc các tổ chức công nhận khác); Duy trì nhất quán thương hiệu (từ logo, màu sắc, đến phong cách giao tiếp, tất cả cần đồng nhất trên các nền tảng); Theo dõi đơn hàng (cung cấp mã theo dõi để khách hàng biết đơn hàng đang ở đâu và khi nào sẽ đến); Đối tác vận chuyển uy tín (hợp tác với các đơn vị vận chuyển đáng tin cậy để đảm bảo giao hàng đúng thời gian và an toàn); Cam kết giao hàng đúng hẹn (đưa ra cam kết về thời gian giao hàng và thực hiện đúng để tạo ấn tượng tốt)./.
Tài liệu tham khảo
1. Chiu, C. M., Chang, C. C., Cheng, H. L., Fang, Y. H. (2009), Determinants of customer repurchase intention in online shopping, Online information review, 33(4), 761-784.
2. Harn, A. C. P., Khatibi, A., Ismail, H. B. (2006), E-Commerce: A study on online shopping in Malaysia, Journal of Social Sciences, 13(3), 231-242.
3. Economist (1997), The once and future mall, The Economist, 1(11), 76-8.
4. Eisingerich, A. B., Bell, S. J. (2007), Maintaining customer relationships in high credence services, Journal of Services Marketing, 21(4), 253-262.
5. Goode, M. M., Harris, L. C. (2007), Online behavioural intentions: an empirical investigation of antecedents and moderators, European Journal of Marketing, 41(5/6), 512-536.
6. Guenzi, P., Johnson, M. D., Castaldo, S. (2009), A comprehensive model of customer trust in two retail stores, Journal of Service Management, 20(3), 290-316.
7. Gunawan, G., Ellis‐Chadwick, F., King, M. (2008), An empirical study of the uptake of performance measurement by Internet retailers, Internet research, 18(4), 361-381.
8. Fornell, C., Larcker, D.F. (1981), Evaluating structural equation models with unobservable variables and measurement error, Journal of Marketing Research, 18(1), 39-50.
9. Ha, H. Y., Janda, S. (2008), An empirical test of a proposed customer satisfaction model in e‐services, Journal of Services Marketing, 22(5), 399-408.
10. Hair, J. F., Hult, G. T. M., Ringle, C. M., and Sarstedt, M. (2014), A Primer on Partial Least Squares Structural Equation Modeling (PLSSEM), Thousand Oaks, CA: Sage.
11. Henseler, J., and Chin, W. W. (2010), A Comparison of Approaches for the Analysis of Interaction Effects Between Latent Variables Using Partial Least Squares Path Modeling, Structural Equation Modeling, 17(1), 82-109.
12. Hess Jr, R. L. (2008), The impact of firm reputation and failure severity on customers' responses to service failures, Journal of Services Marketing, 22(5), 385-398.
13. Hume, M. (2008), Understanding core and peripheral service quality in customer repurchase of the performing arts, Managing Service Quality: An International Journal, 18(4), 349-369.
14. Jiang, P., Rosenbloom, B. (2005), Customer intention to return online: price perception, attribute‐level performance, and satisfaction unfolding over time, European journal of marketing, 39(1/2), 150-174.
15. Kim, J. H., Kim, M., Kandampully, J. (2009), Buying environment characteristics in the context of e‐service, European Journal of Marketing, 43(9/10), 1188-1204.
16. Moliner, M. A., Sánchez, J., Rodríguez, R. M., Callarisa, L. (2007), Perceived relationship quality and post‐purchase perceived value: An integrative framework, European Journal of Marketing, 41(11/12), 1392-1422.
17. Ndubisi, N. O. (2011), Conflict handling, trust and commitment in outsourcing relationship: A Chinese and Indian study, Industrial Marketing Management, 40(1), 109-117.
18. Yu, J. (2006), Marketing to Chinese consumers on the internet, Marketing Intelligence & Planning, 24(4), 380-392.
| Ngày nhận bài: 19/12/2024; Ngày phản biện: 25/12/2024; Ngày duyệt đăng: 24/01/2025 |






Bình luận