Tiếp cận tín dụng vi mô và mối quan hệ với bền vững tài chính
Tóm tắt
Nghiên cứu sử dụng phương pháp hồi quy dữ liệu bảng với dữ liệu nghiên cứu từ 24 quỹ tín dụng nhân dân (QTDND) được lựa chọn tại Việt Nam từ năm 2016 đến năm 2021 để khám phá về tiếp cận cấp tín dụng vi mô (TDVM) và mối quan hệ với bền vững tài chính của các QTDND tại Việt Nam. Nghiên cứu cho thấy, Độ sâu tiếp cận TDVM, Tỷ lệ tiền gửi trên số dư nợ vay, Tính bền vững tài chính có mối quan hệ tích cực với Độ rộng tiếp cận TDVM, trong khi Số năm hoạt động của QTDND có mối quan hệ nghịch biến với Độ rộng tiếp cận TDVM. Số năm hoạt động của QTDND, Quy mô tín dụng và Tỷ lệ nợ trên vốn chủ sở hữu có mối quan hệ cùng chiều với Độ sâu tiếp cận TDVM; Tính bền vững tài chính có mối quan hệ nghịch chiều với Độ sâu tiếp cận TDVM. Thu nhập và Độ rộng tiếp cận TDVM có mối quan hệ tích cực với Sự bền vững tài chính; trong khi Độ sâu tiếp cận TDVM, Nợ xấu, Tăng trưởng tín dụng có mối quan hệ tiêu cực với Tính bền vững tài chính của QTDND. Kết quả nghiên cứu đã xác định được sự tương tác và mối quan hệ hai chiều giữa Tiếp cận TDVM và Bền vững tài chính. Thông qua những phát hiện này, nghiên cứu đưa ra các khuyến nghị chính sách để phát triển các QTDND bền vững hơn.
Từ khóa: bền vững tài chính, độ rộng tiếp cận, độ sâu tiếp cận, quỹ tín dụng nhân dân, tín dụng vi mô
Summary
The study uses panel data regression method with research data from 24 selected people's credit funds (PCFs) in Vietnam from 2016 to 2021 to explore the outreach to microcredit and the relationship with financial sustainability of PCFs in Vietnam. The study shows that depth of outreach to microfinance, ratio of deposits to loan balance, financial sustainability have a positive relationship with breadth of outreach to microfinance, while the number of years of operation of PCF has a negative relationship with the breadth of outreach to microfinance. The number of years of operation of the PCF, credit size and debt-to-equity ratio have a positive relationship with the depth of outreach to microfinance; Financial sustainability has a negative relationship with the Depth of Outreach to Microfinance. Income and Breadth of Outreach to Microfinance have a positive relationship with Financial Sustainability; While Depth of Outreach to Microfinance, Bad Debt, Credit Growth have a negative relationship with the Financial Sustainability of PCF. The research results have identified the interaction and two-way relationship between the Outreach to Microfinance and Financial Sustainability. Through these findings, the study proposes some policy recommendations to develop more sustainable PCFs.
Keywords: financial sustainability, breadth of outreach, depth of outreach, people's credit fund, microcredit
GIỚI THIỆU
Tầm quan trọng của các QTDND trong thúc đẩy tài chính toàn diện vì nhiều QTDND đã khẳng định được vai trò của mình trong việc cung cấp vốn đáp ứng kịp thời, góp phần phát triển kinh tế - xã hội của các địa phương. Các QTDND có thể đóng góp đáng kể trong việc đảm bảo khả năng tiếp cận các dịch vụ tài chính giá cả phải chăng và tăng khả năng tiếp cận tài chính. Tuy nhiên, nhiều QTDND đã phải đối mặt với nhiều thách thức, tiếp cận TDVM và tính bền vững tài chính có nhiều biến động, ảnh hưởng đến hoạt động và khả năng mở rộng quy mô cung cấp dịch vụ tài chính trong những năm qua, đặc biệt trong bối cảnh kinh tế khó khăn và bất ổn. Do vậy, nghiên cứu này sẽ góp phần phát triển lý thuyết và thực nghiệm về mối quan hệ tương tác giữa tiếp cận TDVM và sự bền vững tài chính. Đồng thời, nghiên cứu đưa ra hàm ý chính sách và nhấn mạnh hơn nữa các chính sách tối ưu để quản lý các QTDND phù hợp, góp phần tích cực vào sự phát triển kinh tế - xã hội tại Việt Nam.
PHƯƠNG PHÁP NGHIÊN CỨU
Nghiên cứu sử dụng cả dữ liệu sơ cấp và thứ cấp cũng như thông tin tiếp cận cộng đồng cho QTDND. Dữ liệu sơ cấp là dữ liệu gốc và duy nhất được thu thập trực tiếp từ nguồn trực tiếp hoặc đối tượng nghiên cứu và những dữ liệu này được thu thập từ báo cáo thường niên và báo cáo tài chính của 24 QTDND được chọn tại Việt Nam từ năm 2016 đến năm 2021.
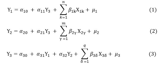
Dữ liệu thứ cấp được thu thập từ các tạp chí, sách hoặc trang web quốc tế liên quan đến nghiên cứu được thực hiện. Mô hình phân tích mối quan hệ tương tác giữa hiệu quả xã hội và tính bền vững tài chính của QTDND tại Việt Nam được thiết lập như sau:
![]() |
Trong đó, Y1 là biến đo lường Độ rộng tiếp cận TDVM, xác định số lượng người vay đang hoạt động. Y2 là biến đo lường Độ sâu tiếp cận TDVM, được xác định bởi khoản vay trung bình cho mỗi người vay. Y3 là biến Bền vững tài chính đo lường khả năng tự bền vững tài chính, được xác định bằng tỷ lệ thu nhập hoạt động trên tổng chi phí hoạt động, chi phí tài chính, dự phòng rủi ro cho vay và chi phí vốn. X1k, X2γ và X3δ lần lượt là các biến độc lập có thể ảnh hưởng đến hiệu quả xã hội và tính bền vững tài chính trong các phương trình (1), (2) và (3).
Hệ số α và hệ số β là hệ số tương quan của các biến độc lập với các biến phụ thuộc, là các sai số của mô hình. Để đơn giản, chỉ số i đại diện cho số lượng quan sát và chỉ số t đại diện cho số năm quan sát. Nghiên cứu này sử dụng phần mềm Stata 15.0 với các biến được mô tả ngắn gọn, định nghĩa các biến và dấu kỳ vọng được trình bày trong Bảng 1.
Bảng 1. Tóm tắt các biến của mô hình nghiên cứu
| Định nghĩa | Giả thuyết dự kiến | |
| Các nhân tố tác động đến tiếp cận TDVM | ||
| Biến phụ thuộc | ||
| Độ rộng tiếp cận: Breadth of outreach (NAB) | Số lượng người vay đang hoạt động |
|
| Các biến độc lập | ||
| Số năm hoạt động của QTDND: The age of PCFs (AGE) | Số năm hoạt động của QTDND | H1.1: + (AGE cao, NAB cao) |
| Động sâu tiếp cận: Depth of outreach (ALB) | Khoản vay trung bình mỗi người đi vay | H1.2: - (ALB cao, NAB thấp) |
| Tỷ lệ tiền gửi so dư nợ vay: Deposit-to-loan ratio (DLR) | Tổng tiền gửi/Tổng dư nợ | H1.3: + (DLR cao, NAB cao) |
| Tỷ lệ nợ xấu: Non-performing loan ratio (NPL) | Nợ xấu/Tổng dư nợ | H1.4: - (NPL cao, NAB thấp) |
| Bền vững tài chính: Financial self - sustainability (FSS) | Thu nhập hoạt động/(Chi phí hoạt động + chi phí tài chính + dự phòng rủi ro cho vay + chi phí vốn) | H1.5: - (FSS cao, NAB thấp) |
| Biến phụ thuộc | ||
| Độ sâu tiếp cận: Depth of outreach (ALB) | Khoản vay trung bình mỗi người đi vay |
|
| Các biến độc lập | ||
| Số năm hoạt động của QTDND: The age of PCFs (AGE) | Số năm hoạt động của QTDND | H2.1: +/- (AGE cao, ALB cao hoặc thấp) |
| Quy mô tăng trưởng của QTDND: Assets growth rate (AGR) | Tăng trưởng tài sản | H2.2: + (AGR cao, ALB cao) |
| Quy mô tín dụng: Credit size (CS) | Tổng dư nợ cho vay | H2.3: + (CS cao, ALB cao) |
| Tỷ lệ nơ trên vốn chủ sở hữu: Debt-to-equity ratio (DER) | Tổng nợ/Tổng vốn chủ sở hữu | H2.4: + (DER cao, ALB cao) |
| Bền vững tài chính: Financial self - sustainability (FSS) | Thu nhập hoạt động/(Chi phí hoạt động + chi phí tài chính + dự phòng rủi ro cho vay + chi phí vốn) | H2.5: +/- (FSS cao, ALB cao hoặc thấp) |
| Các nhân tố tác động đến sự bền vững tài chính | ||
| Biến phụ thuộc |
|
|
| Bền vững tài chính: Financial self - sustainability (FSS) | Thu nhập hoạt động / (Chi phí hoạt động + chi phí tài chính + dự phòng rủi ro cho vay + chi phí vốn) |
|
| Các biến độc lập | ||
| Độ sâu tiếp cận: Depth of outreach (ALB) | Khoản vay trung bình mỗi người đi vay | H3.1: + (ALB cao, FSS cao) |
| Tỷ lệ an toàn vốn: Capital Adequacy Ratio (CAR) | Tổng vốn/Tài sản có rủi ro | H3.2: + (CAR cao, FSS cao) |
| Tốc độ tăng trưởng tín dụng: Credit growth rate (CGR) | Tăng trưởng dư nợ cho vay | H3.3: + (CGR cao, FSS cao) |
| Tốc độ tăng trưởng tiền gửi: Deposit growth rate (DGR) | Tốc độ tăng trưởng tiền gửi của khách hàng | H3.4: + (DGR cao, FSS cao) |
| Thu nhập Income (INC) | Operating income | H3.5: + (INC cao, FSS cao) |
| Độ rộng tiếp cận: Breadth of outreach (NAB) | Số lượng người vay đang hoạt động | H3.6: - (NAB cao, FSS thấp) |
| Tỷ lệ nợ xấu: Non-performing loan ratio (NPL) | Nợ xấu/Tổng dư nợ | H3.7: - (NPL cao, FSS thấp) |
Nguồn: Tổng hợp và đề xuất của tác giả
Nghiên cứu này sử dụng phân tích hồi quy dữ liệu bảng, đánh giá sự biến động của các biến và thực hiện phân tích tương quan. Nghiên cứu thực hiện ước lượng tác động cố định theo mô hình tác động cố định (the fixed effects model, FEM) và thực hiện ước lượng tác động theo mô hình tác động ngẫu nhiên (the random effects model, REM). Nghiên cứu này thực hiện kiểm định Hausman và kiểm định ý nghĩa thống kê của sự khác biệt giữa các hệ số ước lượng thu được bởi FEM và REM, Nghiên cứu chọn kết quả giữa FEM và REM và so sánh chúng với mô hình bình phương tối thiểu gộp (the pooled ordinary least square model, OLS) để xác định các yếu tố ảnh hưởng đối với từng mô hình và tìm ra các yếu tố ảnh hưởng đến Tiếp cận TDVM và bền vững tài chính cũng như mối quan hệ tương tác giữa Tiếp cận TDVN và Bền vững tài chính của QTDND tại Việt Nam (Bài viết sử dụng cách viết số thập phân theo chuẩn quốc tế).
KẾT QUẢ NGHIÊN CỨU
Thống kê mô tả và phân tích tương quan
Kết quả thống kê mô tả của cả 2 biến phụ thuộc và biến độc lập cho thấy các biến AGE, ALB, CAR, DER, DLR, FSS, NAB, NPL có độ lệch chuẩn nhỏ hơn mức trung bình. Đặc biệt, các QTDND hoạt động nhiều năm với thời gian từ 18 đến 29 năm. Tỷ lệ an toàn vốn đạt trên 8%. Một số QTDND có tỷ lệ nợ xấu cao và thua lỗ trong hoạt động, ảnh hưởng đến tính bền vững tài chính của họ. Các biến AGR, CGR, CS, DGR, INC có sự biến động, do có sự chênh lệch lớn về tốc độ tăng trưởng tài sản, tốc độ tăng trưởng tín dụng, quy mô tín dụng, tốc độ tăng trưởng tiền gửi và thu nhập giữa các QTDND chính thức tại Việt Nam trong giai đoạn 2016-2021. Đặc biệt, tốc độ tăng trưởng tài sản, tốc độ tăng trưởng tín dụng, quy mô tín dụng, tốc độ tăng trưởng tiền gửi đều giảm và thu nhập hoạt động không thể trang trải cho chi phí hoạt động của họ ở một số QTDND.
Nghiên cứu này thực hiện phân tích tương quan giữa các biến trong mô hình và cho thấy mức độ tương quan rất thấp giữa các biến nên sự hiện diện của bất kỳ hiện tượng đa cộng tuyến nào đều bị bỏ qua như có thể thấy trong Bảng 2.
Bảng 2: Ma trận tương quan
| Ma trận tương quan cho các nhân tố tác động đến Độ rộng tiếp cận | ||||||||||
| Các nhân tố | NAB | AGE | ALB | DLR | FSS | NPL |
|
| ||
| NAB | 1.0000 |
|
|
|
|
|
|
| ||
| AGE | -0.1293 | 1.0000 |
|
|
|
|
|
| ||
| ALB | 0.1902 | 0.2298 | 1.0000 |
|
|
|
|
| ||
| DLR | 0.3269 | -0.0950 | 0.2005 | 1.0000 |
|
|
|
| ||
| FSS | 0.1199 | -0.1347 | -0.2407 | -0.0503 | 1.0000 |
|
|
| ||
| NPL | -0.0228 | 0.1084 | 0.0882 | 0.0414 | -0.4160 | 1.0000 |
|
| ||
| Ma trận tương quan cho các nhân tố tác động đến Độ sâu tiếp cận |
|
| ||||||||
| Các nhân tố | ALB | AGE | AGR | CS | DER | FSS |
|
| ||
| ALB | 1.0000 |
|
|
|
|
|
|
| ||
| AGE | 0.2298 | 1.0000 |
|
|
|
|
|
| ||
| AGR | -0.0730 | -0.2774 | 1.0000 |
|
|
|
|
| ||
| CS | 0.5334 | -0.0478 | -0.1196 | 1.0000 |
|
|
|
| ||
| DER | 0.2612 | -0.0738 | 0.2088 | 0.2678 | 1.0000 |
|
|
| ||
| FSS | -0.2407 | -0.1347 | -0.1266 | -0.0081 | -0.2620 | 1.0000 |
|
| ||
| Ma trận tương quan cho các nhân tố tác động đến Sự bền vững tài chính | ||||||||||
| Các nhân tố | FSS | ALB | CAR | CGR | DGR | INC | NAB | NPL | ||
| FSS | 1.0000 |
|
|
|
|
|
|
| ||
| ALB | -0.2407 | 1.0000 |
|
|
|
|
|
| ||
| CAR | 0.2274 | -0.2508 | 1.0000 |
|
|
|
|
| ||
| CGR | -0.2266 | -0.0534 | -0.1833 | 1.0000 |
|
|
|
| ||
| DGR | -0.0158 | -0.0907 | -0.0822 | 0.5501 | 1.0000 |
|
|
| ||
| INC | 0.2835 | 0.3830 | -0.1182 | -0.1636 | -0.0619 | 1.0000 |
|
| ||
| NAB | 0.1199 | 0.1902 | -0.1474 | -0.1212 | -0.0542 | 0.8424 | 1000 |
| ||
| NPL | -0.4160 | 0.0882 | 0.0204 | 0.0506 | 0.0467 | -0.1268 | -0.0228 | 1000 | ||
Nguồn: Tính toán của tác giả
Kết quả hồi quy các yếu tố ảnh hưởng đến Độ rộng tiếp cận TDVM
NAB được lấy làm biến phụ thuộc và AGE, ALB, DLR, FSS, NPL được đưa vào làm biến giải thích trong nghiên cứu này. Hồi quy được thực hiện bằng FEM và REM và so sánh chúng với OLS. Kết quả của FEM và REM cho thấy, cả 2 giá trị P đều < mức ý nghĩa 5% (P-value = 0.000) và kết quả hồi quy đều có ý nghĩa thống kê ở mức ý nghĩa 5%. Trong FEM, các biến ALB, DLR và FSS có tác động tích cực đến biến NAB ở mức ý nghĩa lần lượt là 10%, 5% và 10%; biến NPL có tác động tích cực đến biến NAB, biến AGE có tác động tiêu cực đến biến NAB, tuy nhiên các biến này không có ý nghĩa thống kê. Trong REM, các biến ALB, DLR và FSS có tác động tích cực đến biến NAB ở mức ý nghĩa lần lượt là 10%, 1% và 10%; biến NPL có tác động tích cực đến biến NAB, biến AGE có tác động tiêu cực đến biến NAB, tuy nhiên các biến này cũng không có ý nghĩa thống kê.
Nghiên cứu đã chạy thử nghiệm Hausman và kiểm tra ý nghĩa thống kê của sự khác biệt giữa các hệ số ước tính thu được bởi FEM và REM. Kết quả kiểm định Hausman thu được giá trị P = 0.9474, lớn hơn mức ý nghĩa 5% và bằng việc chạy kiểm định Hausman, REM được chấp nhận là mô hình phù hợp. So với mô hình OLS Pooled, REM phù hợp hơn mô hình OLS Pooled. Do đó, REM được sử dụng để phân tích và kiểm tra các bước tiếp theo. Kết quả kiểm định đa cộng tuyến cho thấy không có hiện tượng đa cộng tuyến nghiêm trọng trong mô hình này. Bởi, mô hình có kết quả Mean VIF = 1.20 và VIF của các biến từ 1.11 đến 1.32. Việc kiểm tra sự thay đổi phương sai được xem xét với giá trị P = 1.0000 và lớn hơn 0.05. Kết quả này cho thấy, không có hiện tượng thay đổi phương sai trong mô hình này. Nghiên cứu cũng kiểm định hiện tượng tự tương quan của mô hình, P-value = 0.0124 < 0.05, nên mô hình này có tương quan nối tiếp. Sau khi khắc phục tương quan chuỗi bằng lệnh cluster (REM-cluster), kết quả cho thấy, các biến ALB, DLR và FSS có tác động tích cực đến biến NAB ở mức ý nghĩa lần lượt là 10%, 1% và 5%; biến AGE có tác động tiêu cực đến biến NAB ở mức ý nghĩa 10%, biến NPL có tác động dương đến biến NAB, tuy nhiên biến này không có ý nghĩa thống kê như trong Bảng 3.
Bảng 3: Kết quả hồi quy các yếu tố ảnh hưởng đến độ rộng tiếp cận TDVM
| Các biến độc lập | Biến phụ thuộc (NAB) | ||
| FEM | REM | REM-cluster | |
| AGE | -118.5 (-1.26) | -75.05 (-1.59) | -75.05* (-2.41) |
| ALB | 6.170* (2.27) | 6.212* (2.43) | 6.212* (2.08) |
| DLR | 2164.2** (3.32) | 2065.0*** (3.51) | 2065.0*** (15.02) |
| FSS | 31.39* (2.28) | 25.98* (2.06) | 25.98** (2.94) |
| NPL | 67.56 (0.74) | 36.28 (0.43) | 36.28 (0.39) |
| _cons | -2288.0 (-1.00) | -2480.5 (-1.28) | -2480.5** (-2.68) |
| P-value | 0.0003 | 0.0000 | 0.0000 |
| N | 144 | 144 | 144
|
Nguồn: Tính toán của tác giả
Kết quả hồi quy các yếu tố ảnh hưởng đến Độ sâu tiếp cận
ALB được lấy làm biến phụ thuộc và AGE, AGR, CS, DER, FSS được đưa vào làm biến giải thích trong nghiên cứu này. Hồi quy được thực hiện bằng FEM và REM và so sánh chúng với OLS. Kết quả của FEM và REM cho thấy cả hai giá trị P đều nhỏ hơn mức ý nghĩa 5% (P-value = 0.000) và kết quả hồi quy đều có ý nghĩa thống kê ở mức ý nghĩa 5%. Trong FEM, biến CS và DER có tác động tích cực đến biến ALB ở mức ý nghĩa lần lượt là 1% và 10%; biến AGR có tác động tích cực đến biến ALB, biến AGE và FSS có tác động tiêu cực đến biến ALB, tuy nhiên các biến này không có ý nghĩa thống kê. Trong REM, biến CS và DER có tác động tích cực đến biến ALB ở mức ý nghĩa lần lượt là 1% và 10%; biến AGR có tác động tích cực đến biến ALB, biến AGE và FSS có tác động tiêu cực đến biến ALB, nhưng các biến này không có ý nghĩa thống kê.
Nghiên cứu đã chạy thử nghiệm Hausman và kiểm tra ý nghĩa thống kê của sự khác biệt giữa các hệ số ước tính thu được bởi FEM và REM. Kết quả kiểm định Hausman thu được giá trị P = 0.0535 > 0.05 và bằng việc chạy kiểm định Hausman, REM được chấp nhận là mô hình phù hợp. So với mô hình OLS Pooled, REM phù hợp hơn mô hình OLS Pooled. Do đó, REM được sử dụng để phân tích và kiểm tra các bước tiếp theo. Kết quả kiểm định đa cộng tuyến cho thấy không có hiện tượng đa cộng tuyến nghiêm trọng trong mô hình này. Bởi vì mô hình có kết quả Mean VIF = 1.35 và VIF của các biến từ 1.17 đến 1.66. Việc kiểm tra sự thay đổi phương sai được xem xét với giá trị P = 1.0000 > 0.05. Kết quả này cho thấy không có hiện tượng thay đổi phương sai trong mô hình này. Nghiên cứu cũng kiểm định hiện tượng tự tương quan của mô hình, P-value = 0.0401 < 0.05, nên mô hình này có tương quan nối tiếp.
Bảng 4: Kết quả hồi quy các yếu tố ảnh hưởng đến độ sâu tiếp cận TDVM
| Các biến độc lập | Biến phụ thuộc (ALB) | ||
| FEM | REM | REM-cluster | |
| AGE | -0.932 (-0.38) | -0.932 (-0.38) | 4.607*** (4.01) |
| AGR | 0.155 (0.90) | 0.155 (0.90) | 0.0353 (0.30) |
| CS | 0.000147*** (7.01) | 0.000147*** (7.01) | 0.000156*** (6.09) |
| DER | 1.517* (2.06) | 1.517* (2.06) | 0.854** (3.04) |
| FSS | -0.599 (-1.72) | -0.599 (-1.72) | -0.840*** (-3.35) |
| _cons | 129.8* (2.15) | 129.8* (2.15) | 46.06 (1.10) |
| P-value | 0.0000 | 0.0000 | 0.0000 |
| N | 144 | 144 | 144 |
Lưu ý: t thống kê trong ngoặc đơn * p < 0.05, ** p < 0.01, *** p < 0.001
Nguồn: Tính toán của tác giả
Sau khi khắc phục hiện tượng tương quan chuỗi bằng lệnh cluster (REM-cluster), kết quả cho thấy các biến AGE, CS và DER có tác động tích cực đến biến ALB ở mức ý nghĩa lần lượt là 1%, 1% và 5%; biến FSS có tác động tiêu cực đến biến ALB ở mức ý nghĩa 1%, biến AGR có tác động tích cực đến biến ALB, tuy nhiên biến này không có ý nghĩa thống kê như thể hiện trong Bảng 4.
Kết quả hồi quy các yếu tố ảnh hưởng đến Bền vững tài chính
FSS được lấy làm biến phụ thuộc và ALB, CAR, CGR, DGR, INC, NAB, NPL được đưa vào làm biến giải thích trong nghiên cứu này. Hồi quy được thực hiện bằng FEM và REM và so sánh chúng với OLS. Kết quả của FEM và REM cho thấy, cả 2 giá trị P đều nhỏ hơn mức ý nghĩa 5% (P-value = 0.000) và kết quả hồi quy đều có ý nghĩa thống kê ở mức ý nghĩa 5 %. Trong FEM, biến CAR và INC có tác động tích cực đến biến FSS ở mức ý nghĩa lần lượt là 1% và 10%; các biến ALB, CGR, NAB và NPL có tác động tiêu cực đến biến FSS ở mức ý nghĩa lần lượt là 1%, 10, 1% và 1%; biến DGR có tác động tích cực đến biến FSS, tuy nhiên biến này không có ý nghĩa thống kê. Trong REM, biến INC có tác động tích cực đến biến FSS ở mức ý nghĩa 1%, các biến ALB, CGR, NAB và NPL có tác động tiêu cực đến biến FSS ở mức ý nghĩa 1%, 10%, 1% và 1% tương ứng; biến CAR và DGR có tác động tích cực đến biến FSS, tuy nhiên các biến này không có ý nghĩa thống kê.
Nghiên cứu đã chạy thử nghiệm Hausman và kiểm tra ý nghĩa thống kê của sự khác biệt giữa các hệ số ước tính thu được bởi FEM và REM. Kết quả kiểm định Hausman thu được giá trị P = 0.1758, lớn hơn mức ý nghĩa 5% và bằng việc chạy kiểm định Hausman, REM được chấp nhận là mô hình phù hợp. So với mô hình OLS Pooled, REM phù hợp hơn mô hình OLS Pooled. Do đó, REM được sử dụng để phân tích và kiểm tra các bước tiếp theo. Kết quả kiểm định đa cộng tuyến cho thấy không có hiện tượng đa cộng tuyến nghiêm trọng trong mô hình này. Bởi vì mô hình có kết quả Mean VIF = 2.41 và VIF của các biến từ 1.25 đến 4.41. Việc kiểm tra sự thay đổi phương sai được xem xét với giá trị P = 1.0000 > 0.05. Kết quả này cho thấy, không có hiện tượng thay đổi phương sai trong mô hình này. Nghiên cứu cũng kiểm tra hiện tượng tự tương quan của mô hình, P-value = 0.0579 > 0.05, nên mô hình này không có tương quan chuỗi như thể hiện trong Bảng 5.
Bảng 5: Kết quả hồi quy các yếu tố ảnh hưởng đến Bền vững tài chính
| Các biến độc lập | Biến phụ thuộc (FSS) | |
| FEM | REM | |
| ALB | -0.0752*** (-4.29) | -0.0839*** (-5.20) |
| CAR | 0.183* (2.25) | 0.157 (1.92) |
| CGR | -10.38* (-2.45) | -10.80* (-2.48) |
| DGR | 4.460 (1.15) | 4.650 (1.34) |
| INC | 0.0248*** (5.26) | 0.0267*** (5.75) |
| NAB | -0.00300*** (-3.44) | 0.00329*** (-3.73) |
| NPL | -2.083*** (-4.63) | -1.989*** (-4.37) |
| _cons | 115.2*** | 116.3*** |
| P-value | 0.0000 | 0.0000 |
| N | 144 | 144 |
Lưu ý: t thống kê trong ngoặc đơn * p < 0.05. ** p < 0.01. *** p < 0.001
Nguồn: Tính toán của tác giả
KẾT LUẬN VÀ HÀM Ý CHÍNH SÁCH
Kết luận
Nghiên cứu này cho thấy, 3 yếu tố có mối quan hệ tích cực với Độ rộng tiếp cận TDVM là: Độ sâu tiếp cận TDVM; Tỷ lệ tiền gửi trên vốn vay và Tính bền vững tài chính. Một yếu tố có mối quan hệ tiêu cực với Độ rộng tiếp cận TDVM là Số năm hoạt động của QTDND. Ba yếu tố có mối quan hệ tích cực với Độ sâu tiếp cận TDVM là Số năm hoạt động của QTDND, Quy mô tín dụng và tt lệ nợ trên vốn chủ sở hữu. Một yếu tố có mối quan hệ tiêu cực với việc tiếp cận theo chiều sâu là Tính bền vững về tài chính.
Nghiên cứu này cũng chỉ ra rằng, 2 yếu tố có mối quan hệ tích cực với Tính bền vững tài chính là Thu nhập và Độ rộng tiếp cận TDVM. Ba yếu tố có mối quan hệ tiêu cực với Tính bền vững tài chính là: Độ sâu tiếp cận TDVM, Tốc độ tăng trưởng tín dụng và Nợ xấu. Đồng thời, nghiên cứu này tìm thấy mối quan hệ giữa Tiếp cận TDVM và Tính bền vững tài chính. Đặc biệt, nghiên cứu này tìm thấy sự tương tác 2 chiều và mối quan hệ nhân quả giữa Độ rộng tiếp cận TDVM và Tính bền vững tài chính theo xu hướng tích cực. Trong khi đó, có sự đánh đổi giữa Chiều sâu tiếp cận TDVM và Tính bền vững tài chính của QTDND.
Một số hàm ý chính sách
Một số hàm ý chính sách đối với hoạt động của QTDND sau đây nhằm góp phần gia tăng Tiếp cận TDVM và Tính bền vững tài chính:
Thứ nhất, nghiên cứu này tìm thấy mối tương tác nhân quả hai chiều giữa phạm vi tiếp cận và tính bền vững tài chính với nhau theo xu hướng tích cực. Do đó, khuyến nghị chính sách trước mắt từ nghiên cứu này sẽ khuyến khích các QTDND gia tăng độ rộng tiếp cận TDVM và tính bền vững tài chính.
Thứ hai, QTDND cần huy động lượng lớn khách hàng để tăng số lượng người vay đang hoạt động. Đồng thời, chú trọng huy động tiền gửi, tạo nguồn vốn đáp ứng nhu cầu của nhiều đối tượng vay. Qua đó, góp phần tăng độ rộng tiếp cận TDVM và tính bền vững tài chính.
Thứ ba, QTDND cần kiểm soát chặt chẽ chất lượng và hiệu quả tăng trưởng tín dụng để đảm bảo bền vững tài chính. Mặt khác, các QTDND cần mở rộng hoạt động, đảm bảo tuân thủ các nguyên tắc hợp tác nhằm tăng cường sự hỗ trợ, hợp tác lẫn nhau giữa các thành viên, tập trung vào mục đích chính là hỗ trợ lẫn nhau cùa các thành viên và phục vụ cộng đồng trong khu vực góp phần tăng thu nhập và thúc đẩy sự bền vững tài chính.
Thứ tư, QTDND là tổ chức tín dụng được phép huy động tiền gửi để cho các thành viên vay. Vì vậy, để đảm bảo bền vững tài chính, QTDND phải tuân thủ nguyên tắc chung là đảm bảo an toàn cho hoạt động ngân hàng.
Thứ năm, QTDND cần cân đối đủ nguồn lực để đảm bảo mục tiêu hoạt động của mình. Đồng thời, tăng cường các giải pháp nhằm hạn chế sự đánh đổi giữa độ sâu tiếp cận TDVM và tính bền vững tài chính, từ đó góp phần tăng tính bền vững tài chính của QTDND./.
TS. Nguyễn Thị Thúy – Trường Đại học Thăng Long
(Theo Tạp chí Kinh tế và Dự báo, số 01, tháng 01/2024)
Tài liệu tham khảo
1. Abdulai, A., and Tewari, D. (2017), Determinants of microfinance outreach in Sub-Saharan Africa: A panel approach. Acta Commercii - Independent Research Journal in the Management Sciences, 17(1), 1-10, https://doi.org/10.4102/ac.v17i1.414.
2. Amit, R., and Kedar, B. (2014), An Analysis of Sustainability of Microfinance Institutions and its Determinants: Using Institutionalists Approach, Ganpat University - Faculty of Management Studies Journal of Management and Research, 8, 34-54.
3. Churchill, S. A., and Marr, A. (2017), Sustainability and Outreach: A Comparative Study of MFIs in South Asia and Latin America and the Caribbean, Bulletin of Economic Research, 69(4), 19-41.
4. Churchill, S. A. (2019), Microfinance financial sustainability and outreach: is there a trade-off?, Empirical Economics, https://doi.org/10.1007/s00181-019-01709-1.
5. Coleman, A. (2007), The impact of capital structure on the performance of microfinance institutions, Journal of Risk Finance, 8(1), 56-71.
6. Khan, Z. A., Butt, S., and Khan, A. A. (2017), Determinants of Financial Self Sufficiency in Microfinance Institutions: A study of Pakistan, India and Bangladesh, European Online Journal of Natural and Social, 6(2), 296-301.
7. Khandker, S. R., Khalily, B., and Khan, Z. (1995), Grameen Bank: Performance and Sustainability, World Bank Discussion Paper (306), (pp.58-76), Washington, D.C.
8. Quayes, S. (2012), Depth of outreach and financial sustainability of microfinance institutions, Applied Economics, 44(26), 3421-3433.
9. Rupa, R. (2017), Is Age a Criterion for Sustenance of Microfinance Institutions?, MUDRA: Journal of Finance and Accounting, 4(1), 86-101.
10. Tehulu, T. A. (2013), Determinants of Financial Sustainability of Microfinance Institutions in East Africa, European Journal of Business and Management, 5(17), 152-158.


Bình luận