Mô hình tương tác giữa các mức độ tiếp cận tài chính vi mô
TS. Nguyễn Thị Thúy
Trường Đại học Thăng Long
Email: nthuy189@gmail.com
Tóm tắt
Nghiên cứu này xem xét mối quan hệ tương tác giữa các mức độ tiếp cận về độ sâu và độ rộng trong tài chính vi mô qua phân tích hồi quy dữ liệu bảng các tổ chức tài chính vi mô. Đây là những yếu tố ảnh hưởng đến hoạt động và mục tiêu của các tổ chức tài chính vi mô. Trong đó, xem xét 2 xu hướng, bao gồm: (i) Các mối quan hệ giữa độ rộng tiếp cận với độ sâu tiếp cận, số lượng chi nhánh, tỷ lệ tiền gửi trên cho vay, tính bền vững tài chính và tỷ lệ hoàn trả của các tổ chức tài chính vi mô. (ii) Các mối quan hệ giữa độ sâu tiếp cận với tăng trưởng quy mô, tỷ lệ nợ trên vốn chủ sở hữu, tỷ lệ cho vay trên tiền gửi, danh mục đầu tư có rủi ro của các tổ chức tài chính vi mô. Kết quả nghiên cứu xác định sự tương tác 2 chiều giữa các mức độ tiếp cận sẽ giúp các nhà nhà quản lý hiểu được các yếu tố quyết định chính để quản lý tốt hơn các tổ chức tài chính vi mô.
Từ khóa: Bền vững tài chính, độ rộng tiếp cận, độ sâu tiếp cận, tài chính vi mô
Summary
This study investigates the interactive relationship between the breadth and depth of outreach in microfinance through panel data regression analysis of microfinance institutions. These are key factors influencing both the operations and mission of microfinance institutions. Two analytical directions are explored: (i) the relationships between breadth of outreach and depth of outreach, number of branches, deposit-to-loan ratio, financial sustainability, and repayment rate of MFIs; and (ii) the relationships between depth of outreach and scale growth, debt-to-equity ratio, loan-to-deposit ratio, and portfolio-at-risk of MFIs. The findings identify a bidirectional interaction between outreach levels, providing valuable insights for managers to better understand key determinants for effective MFI management.
Keywords: Financial sustainability, breadth of outreach, depth of outreach, microfinance
GIỚI THIỆU
Sự quan tâm đối với các mục tiêu xã hội của tài chính vi mô (TCVM) là một phần trong hoạt động của các tổ chức TCVM. Sự quan tâm của các tổ chức này đối với sứ mệnh cải thiện cuộc sống của người nghèo cũng sẽ cải thiện lợi nhuận hoạt động của họ. Sự thay đổi này được đánh dấu bằng sự gia tăng quan tâm đến nhiều loại hình tiếp cận và phát triển hoạt động, tất cả đều hướng đến việc giúp các tổ chức TCVM hiểu rõ hơn về khách hàng và cách các tổ chức TCVM có thể phục vụ họ tốt nhất. Đồng thời, nhờ sự can thiệp của TCVM trong những năm gần đây với tiềm năng tiếp cận rộng hơn và thành công bền vững, TCVM được coi là giải pháp, được nhiều người khuyến nghị và coi là chìa khóa mở ra cơ hội cho những người nghèo. Với sự hỗ trợ của TCVM, những người nghèo được hỗ trợ các công cụ, kỹ năng và vốn để áp dụng thành công và vươn lên trong cuộc sống.
Trong trường hợp tại Việt Nam, các tổ chức TCVM chính thức đã được Ngân hàng Nhà nước Việt Nam cấp phép thành lập. Hoạt động của các tổ chức TCVM này đã có mặt tại nhiều tỉnh, thành phố, cùng với nhiều chi nhánh và phòng giao dịch. Hoạt động của các tổ chức TCVM chính thức tại Việt Nam đã có những đóng góp quan trọng vào việc mở rộng quy mô cung cấp dịch vụ tài chính, đặc biệt là cung cấp dịch vụ tài chính cho người nghèo, người thu nhập thấp và góp phần đảm bảo an sinh xã hội. Gia tăng các mức độ tiếp cận về độ sâu và độ rộng là mục tiêu của các tổ chức TCVM chính thức tại Việt Nam. Bên cạnh đó, tăng khả năng cung cấp dịch vụ tài chính là một trong những định hướng quan trọng mà các tổ chức TCVM chính thức tại Việt Nam hướng tới. Với định hướng này, các tổ chức TCVM chính thức đã mở rộng quy mô cung cấp dịch vụ. Tuy nhiên, các mức độ tiếp cận TCVM đã tác động đến hoạt động và khiến tính bền vững của nhiều tổ chức TCVM chính thức tại Việt Nam biến động qua từng năm, ảnh hưởng đến khả năng mở rộng quy mô cung cấp dịch vụ tài chính.
Đến nay, đã có một số nghiên cứu về hoạt động của các tổ chức TCVM chính thức tại Việt Nam; tuy nhiên, chưa có nghiên cứu nào về mối quan hệ giữa các mức độ tiếp cận TCVM. Trong đó, việc nghiên cứu mối quan hệ tương tác và sự đánh đổi giữa các mức độ tiếp cận của các tổ chức TCVM chính thức là một trong những vấn đề cấp thiết để hiểu được mối quan hệ và tác động xu hướng nhằm tăng hiệu quả xã hội và thúc đẩy tính bền vững của các tổ chức TCVM chính thức tại Việt Nam. Do đó, ứng dụng mô hình nghiên cứu này sẽ hữu ích cho những người ra quyết định và các bên liên quan khác của các tổ chức TCVM chính thức tại Việt Nam.
CƠ SỞ LÝ THUYẾT
Tổ chức TCVM
Tổ chức TCVM là loại hình tổ chức tín dụng chủ yếu thực hiện một số hoạt động ngân hàng nhằm đáp ứng nhu cầu của cá nhân, hộ gia đình có thu nhập thấp và doanh nghiệp siêu nhỏ. Tổ chức TCVM có thể được thành lập dưới hình thức công ty trách nhiệm hữu hạn với các hoạt động sau: (i) Nhận tiền gửi bằng đồng Việt Nam dưới hình thức tiết kiệm bắt buộc theo quy định của tổ chức mình, tiền gửi của tổ chức, cá nhân bao gồm cả tiền gửi tự nguyện của khách hàng TCVM, trừ tiền gửi để thanh toán. (ii) Vay vốn của cá nhân, tổ chức tín dụng, tổ chức TCVM và các tổ chức khác trong và ngoài nước. (iii) Tổ chức TCVM chỉ được cấp tín dụng bằng đồng Việt Nam thông qua hoạt động cho vay.
Hoạt động cấp tín dụng của tổ chức TCVM có thể được bảo đảm bằng tiền gửi bắt buộc hoặc bảo lãnh của nhóm người gửi tiền tiết kiệm hoặc người vay vốn. (iv) Các hoạt động khác của tổ chức TCVM: Cho vay ủy thác và nhận ủy thác cho vay, cung cấp dịch vụ tư vấn tài chính trong lĩnh vực TCVM, cung cấp dịch vụ thu hộ, chi hộ và chuyển tiền cho khách hàng TCVM, làm đại lý dịch vụ bảo hiểm (National Assembly, 2010).
Do đó, các tổ chức TCVM chính thức có thể được thành lập dưới dạng công ty trách nhiệm hữu hạn, chủ yếu thực hiện một số hoạt động ngân hàng để đáp ứng nhu cầu của các cá nhân, hộ gia đình có thu nhập thấp và các doanh nghiệp siêu nhỏ. Các tổ chức TCVM chính thức đóng vai trò quan trọng trong nền kinh tế và phát triển xã hội, góp phần củng cố và mở rộng hệ thống tài chính chính thức. Đồng thời, các tổ chức TCVM chính thức thu hút vốn từ huy động tiết kiệm để phục vụ nhu cầu đầu tư, sản xuất, trao đổi hàng hóa, qua đó góp phần xóa đói giảm nghèo và nâng cao thu nhập cho khách hàng. Để thực hiện vai trò quan trọng này, yêu cầu đối với các tổ chức TCVM chính thức là phải đẩy mạnh tiếp cận và đảm bảo tính bền vững về tài chính..
Mức độ tiếp cận TCVM
Về độ rộng tiếp cận: Khi số lượng người vay càng lớn thì độ rộng tiếp cận TCVM càng tốt. Số lượng người vay đang hoạt động là chỉ báo về độ rộng tiếp cận TCVM (Rashid & Twaha, 2013) và độ rộng tiếp cận TCVM liên quan đến số lượng người nghèo thực tế được tiếp cận với các dịch vụ tài chính (Abdulai & Tewari, 2017).
Về độ sâu tiếp cận: Độ sâu tiếp cận TCVM được đo bằng quy mô khoản vay trung bình (Ledgerwood, 1999) và số dư khoản vay trung bình trên mỗi người vay là thước đo độ sâu tiếp cận TCVM (Abdulai & Tewari, 2017). Tất cả các nhà cung cấp dịch vụ tài chính đều mở rộng độ sâu tiếp cận để phát triển các sản phẩm và kênh mới hoặc chuyển sang các khu vực và phân khúc thị trường mới. Phần lớn nguồn tài trợ trực tiếp cho TCVM được sử dụng để hỗ trợ tăng trưởng danh mục đầu tư (Ledgerwood, Earne & Nelson, 2013).
PHƯƠNG PHÁP NGHIÊN CỨU
Nghiên cứu sử dụng cả dữ liệu sơ cấp và thứ cấp. Nguồn dữ liệu thứ cấp được thu thập từ các tạp chí, sách quốc tế... Dữ liệu sơ cấp được thu thập từ trang web của MIX Market, báo cáo thường niên, báo cáo tài chính của tất cả các tồ chức TCVM chính thức được Ngân hàng Nhà nước Việt Nam cấp phép trong giai đoạn 2016-2024. Nghiên cứu này đã phân tích và tổng hợp cơ sở lý thuyết liên quan đến mức độ tiếp cận của các tổ chức TCVM. Trên cơ sở các lý thuyết đã tổng hợp, phân tích và xác định các yếu tố ảnh hưởng đến mức độ tiếp cận TCVM để đề xuất mô hình tương tác giữa các mức độ tiếp cận TCVM.
Nghiên cứu sử dụng phương pháp thống kê mô tả để đánh giá biến động của các biến trong mô hình nghiên cứu, thực hiện phân tích tương quan để đánh giá mức độ đa cộng tuyến và thực hiện hồi quy theo mô hình hiệu ứng cố định, mô hình hiệu ứng ngẫu nhiên và so sánh với mô hình bình phương nhỏ nhất gộp để xác định các yếu tố ảnh hưởng cho từng mô hình. Thông qua kết quả các bước hồi quy, nghiên cứu này tìm ra các yếu tố ảnh hưởng đến mức độ tiếp cận TCVM và mối quan hệ tương tác giữa các mức độ tiếp cận TCVM.
ĐỀ XUẤT MÔ HÌNH NGHIÊN CỨU VÀ PHÁT TRIỂN GIẢ THUYẾT
Đề xuất mô hình nghiên cứu
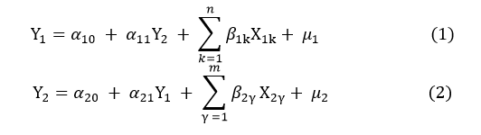
Qua cơ sở các lý thuyết và việc xác định các yếu tố ảnh hưởng đến độ rộng tiếp cận và độ sâu tiếp cận, TCVM, mô hình phân tích mối quan hệ tương tác giữa các mức độ tiếp cận TCVM được thiết lập như sau:
![]() |
Trong đó, Y1 là biến đo lường độ rộng tiếp cận, xác định số lượng người vay đang hoạt động. Y2 là biến đo lường độ sâu tiếp cận, xác định bởi khoản vay trung bình trên mỗi người vay. X1k và X2γ là các biến độc lập có thể ảnh hưởng đến độ rộng tiếp cận và độ sâu tiếp cận TCVM trong các phương trình (1) và (2) tương ứng.
Hệ số α và hệ số β là hệ số tương quan của các biến độc lập với các biến phụ thuộc, các hệ số này được ước tính thông qua các phương pháp như bình phương tối thiểu thông thường để giảm thiểu lỗi. Để đơn giản, chỉ số i biểu thị số lượng quan sát và chỉ số t biểu thị số năm quan sát. Định nghĩa của các biến và dấu kỳ vọng được trình bày trong Bảng.
Bảng: Tóm tắt các biến mô hình nghiên cứu
| Biến và ký hiệu | Định nghĩa | Dấu hiệu kỳ vọng và giả thuyết |
| Các yếu tố ảnh hưởng đến độ rộng tiếp cận TCVM | ||
| Biến phụ thuộc | ||
| Phạm vi tiếp cận (Number of active borrowers, NAB) | Số lượng người vay đang hoạt động |
|
| Biến độc lập | ||
| Độ sâu tiếp cận (Average loan per borrower, ALB) | Khoản vay trung bình trên mỗi người vay | H1.1: - (ALB tăng, NAB giảm) |
| Số chi nhánh (Branches, BRA) | Số lượng chi nhánh | H1.2: + (BRA tăng, NAB tăng) |
| Tỷ lệ tiền gửi/cho vay (Deposit-to-loan ratio, DLR) | Tổng tiền gửi/Tổng dư nợ | H1.3: + (DLR tăng, NAB tăng) |
| Bền vững tài chính (Financial self – sustainability, FSS)
| Thu nhập hoạt động/(Chi phí hoạt động + chi phí tài trợ + dự phòng rủi ro cho vay + Chi phí vốn) | H1.4: - (FSS tăng, NAB giảm) |
| Tỷ lệ hoàn trả (Repayment rate, RR) | Giá trị các khoản tín dụng được hoàn trả/Giá trị các khoản tín dụng đến hạn | H1.5: + (RR tăng, NAB tăng) |
| Các yếu tố ảnh hưởng đến độ sâu tiếp cận TCVM | ||
| Biến phụ thuộc | ||
| Độ sâu tiếp cận (Average loan per borrower, ALB) | Khoản vay trung bình trên mỗi người vay |
|
| Biến độc lập | ||
| Tốc độ tăng trưởng của tổ chức TCVM: Tỷ lệ tăng trưởng tài sản (Asset growth rate, AGR) | Tăng trưởng tài sản | H2.1: + (AGR tăng, ALB tăng) |
| Tỷ lệ nợ trên vốn chủ sở hữu (Debt-to-equity ratio, DER) | Tổng nợ phải trả/Tổng vốn chủ sở hữu | H2.2: + (DER tăng, ALB tăng) |
| Tỷ lệ cho vay trên tiền gửi (Loan-to-deposit ratio, LDR) | Tổng cho vay/Tổng tiền gửi | H2.3: + (LDR tăng, ALB tăng) |
| Độ rộng phạm vi tiếp cận (Outreach breadth, NAB) | Số lượng người vay đang hoạt động | H2.4: - (NAB tăng, ALB giảm) |
| Danh mục đầu tư có rủi ro (Portfolio at risk, PAR)
| (Số dư nợ quá hạn trên 30 ngày + Tổng danh mục đầu tư tái cấp vốn (tái cấu trúc) còn nợ)/Tổng danh mục đầu tư đang lưu hành | H2.5: - (PAR tăng, ALB giảm) |
Nguồn: Đề xuất của tác giả
Phát triển các giả thuyết nghiên cứu
Các yếu tố ảnh hưởng đến độ rộng tiếp cận TCVM
Độc rộng tiếp cận TCVM là một thành phần liên quan đến sự phát triển của các tổ chức TCVM chính thức và chịu ảnh hưởng của nhiều yếu tố, bao gồm:
Thứ nhất, độ sâu tiếp cận TCVM: Theo phát hiện của Cull, Kunt và Morduch (2006) cho thấy sự đánh đổi giữa độ rộng tiếp cận và độ sâu tiếp cận TCVM. Bên cạnh đó, nghiên cứu về tiếp cận TCVM của Abdulai và Tewari (2017) cũng cho thấy có mối quan hệ đánh đổi giữa độ rộng tiếp cận và độ sâu tiếp cận TCVM. Giả thuyết H1.1 được đề xuất như sau:
H1.1: Có mối quan hệ tiêu cực giữa độ rộng tiếp cận và độ sâu tiếp cận TCVM của các tổ chức TCVM chính thức.
Thứ hai, số lượng chi nhánh: Tăng quy mô các dịch vụ TCVM bằng cách tận dụng mạng lưới chi nhánh để cung cấp tín dụng vi mô cho một lượng lớn khách hàng (World Bank, 2004). Việc mở rộng tín dụng cho nhiều người vay hơn cũng liên quan đến việc tăng số lượng chi nhánh của nhiều tổ chức TCVM và điều này có thể phù hợp với thực tế là tăng độ rộng tiếp cận TCVM (Quayes, 2012). Giả thuyết H1.2 được nêu như sau:
H1.2: Có mối quan hệ tích cực giữa số lượng chi nhánh và độ rộng tiếp cận TCVM của các tổ chức TCVM chính thức.
Thứ ba, tỷ lệ tiền gửi trêncho vay: Tỷ lệ này cho thấy khả năng tiền gửi huy động đáp ứng nhu cầu cho vay của các tổ chức TCVM. Nhiều khách hàng có thể được phục vụ nhiều hơn bằng cách cho vay từ tiền gửi huy động. Việc huy động tiền gửi đã trở thành động lực mạnh mẽ để cải thiện hoạt động của các tổ chức TCVM (Fiebig, Hannig và Wisniwski, 1999). Tài khoản tiền gửi đóng vai trò quan trọng, cho thấy mức độ tiết kiệm trong số các khách hàng TCVM và việc tăng số lượng tài khoản tiết kiệm sẽ giúp các tổ chức TCVM gia tăng độ rộng tiếp cận TCVM (Churchill và Marr, 2017). Giả thuyết H1.3 được diễn đạt như sau:
H1.3: Có mối quan hệ tích cực giữa tỷ lệ tiền gửi trên cho vay và độ rộng tiếp cận của các tổ chức TCVM chính thức.
Thứ tư, tính bền vững về tài chính: Theo Nyamsogoro (2010), sự đánh đổi giữa tính bền vững về tài chính và độ rộng tiếp cận TCVM liên quan đến quy mô khoản vay tối thiểu. Nghiên cứu về độ rộng tiếp cận TCVM cho thấy mối quan hệ đánh đổi giữa tính bền vững và độ rộng tiếp cận TCVM. Điều này có nghĩa là các tổ chức tập trung vào việc đạt được mục tiêu bền vững về tài chính khó có thể cung cấp các sản phẩm và dịch vụ TCVM cho một lượng lớn khách hàng người nghèo (Abdulai và Tewari, 2017). Hơn nữa, các yếu tố như mối quan hệ nhân quả đồng thời giữa tính bền vững về tài chính và độ rộng tiếp cận TCVM, cũng như có sự đánh đổi giữa tính bền vững về tài chính và độ rộng tiếp cận TCVM (Mujeri và cộng sự, 2017). Giả thuyết H1.4 được đề xuất như sau:
H1.4: Có mối quan hệ tiêu cực giữa tính bền vững về tài chính và độ rộng tiếp cận TCVM của các tổ chức TCVM chính thức.
Thứ năm, tỷ lệ hoàn trả: Nghiên cứu đã xem xét độ rộng tiếp cận TCVM của các tổ chức TCVM thấy rằng độ rộng tiếp cận TCVM được xác định tích cực và có ý nghĩa bởi tỷ lệ hoàn trả khoản vay (Osotimehin, Jegede và Akinlabi, 2011). Giả thuyết H1.5 được trình bày như sau:
H1.5: Có mối quan hệ tích cực giữa tỷ lệ hoàn trả và độ rộng tiếp cận TCVM của các tổ chức TCVM chính thức.
Các yếu tố ảnh hưởng đến độ sâu tiếp cận TCVM
Độ sâu tiếp cận TCVM có liên quan đến tất cả các hoạt động của các tổ chức TCVM và chịu ảnh hưởng của nhiều yếu tố, bao gồm:
Thứ nhất, sự tăng trưởng về quy mô của các tổ chức TCVM: Quy mô các tổ chức TCVM xét về tổng tài sản và quy mô các tổ chức TCVM có liên quan đến quy mô cho vay lớn hơn trên mỗi người vay (Kai, 2009). Các tổ chức TCVM có tỷ lệ tài sản lớn hơn hoặc có quy mô lớn cũng ảnh hưởng tích cực mạnh mẽ đến phạm vi tiếp cận của các tổ chức TCVM (Saad, Taib và Bhuiyan, 2018). Giả thuyết H2.1 được đề xuất như sau:
H2.1: Có mối quan hệ tích cực giữa sự tăng trưởng về quy mô của các tổ chức TCVM và độ sâu tiếp cận TCVM của các tổ chức TCVM chính thức.
Thứ hai, tỷ lệ nợ trên vốn chủ sở hữu: Nghiên cứu phát hiện ra rằng mức độ tiếp cận TCVM được xác định tích cực và có ý nghĩa bởi tỷ lệ nợ trên vốn chủ sở hữu (Osotimehin, Jegede và Akinlabi, 2011). Theo Quayes (2012), tỷ lệ nợ trên vốn chủ sở hữu cũng có thể có tác động tích cực đến mức độ tiếp cận TCVM và kết quả nghiên cứu cho thấy tỷ lệ nợ trên vốn chủ sở hữu có tác động tích cực đáng kể đến độ sâu tiếp cận TCVM. Nghiên cứu khác phát hiện ra rằng các tổ chức TCVM có đòn bẩy cao sẽ làm giảm mục tiêu tiếp cận TCVM (Johnson, 2015). Giả thuyết H2.2 được nêu như sau:
H2.2: Có mối quan hệ tích cực giữa tỷ lệ nợ trên vốn chủ sở hữu và độ sâu tiếp cận TCVM của các tổ chức TCVM chính thức.
Thứ ba, tỷ lệ cho vay trên tiền gửi: Tỷ lệ cho vay trên tiền gửi được sử dụng làm đại diện cho hoạt động cho vay tương đối (Barkley, Mellon và Potts, 1984). Tỷ lệ cho vay trên tiền gửi là một chỉ số quan trọng cần được theo dõi để đánh giá vị thế thanh khoản cấu trúc của các tổ chức tín dụng. Đây là tỷ lệ cho thấy lượng tín dụng của các tổ chức này được tài trợ bởi các nguồn tài trợ ổn định chính, cụ thể là tiền gửi. Tỷ lệ cho vay trên tiền gửi của các tổ chức tín dụng lớn đạt tỷ lệ cao, hoạt động cho vay của họ mở rộng nhanh chóng (DiSalvo và Johnston, 2017) và ảnh hưởng đến độ sâu tiếp cận TCVM của các tổ chức TCVM chính thức. Giả thuyết H2.3 được diễn tả như sau:
H2.3: Có mối quan hệ tích cực giữa tỷ lệ cho vay trên tiền gửi và độ sâu tiếp cận TCVM của các tổ chức TCVM chính thức.
Thứ tư, độ rộng tiếp cận TCVM: Theo Cull, Kunt và Morduch (2006), có một sự đánh đổi quan trọng giữa phạm vi tiếp cận và chiều sâu tiếp cận và nghiên cứu của Abdulai và Tewari (2017) cũng chỉ ra mối quan hệ đánh đổi giữa các mức độ tiếp cận của các tổ chức TCVM. Giả thuyết H2.4 được trình bày như sau:
H2.4: Có mối quan hệ tiêu cực giữa độ rộng tiếp cận và độ sâu tiếp cận TCVM của các tổ chức TCVM chính thức.
Thứ năm, danh mục đầu tư có rủi ro: Tỷ lệ vỡ nợ tăng cho thấy một phần đáng kể danh mục đầu tư cho vay có rủi ro, với chi phí cấp các khoản vay vi mô cao, tỷ lệ mất vốn cho vay tăng cho thấy khả năng các tổ chức TCVM gặp khó khăn trong việc trang trải chi phí hành chính. Kết quả kiểm tra danh mục đầu tư có rủi ro và số tiền vay trung bình trên mỗi người vay không bác bỏ được giả thuyết này. Đồng thời, danh mục đầu tư có rủi ro tăng dẫn đến mức độ tiếp cận thấp hơn vì các tổ chức TCVM có xu hướng cung cấp các khoản vay nhỏ hơn để tự bảo vệ mình khỏi rủi ro vỡ nợ ngày càng tăng (Sheremenko, Escalante và Florkowski, 2012). Giả thuyết H2.5 đề xuất như sau:
H2.5: Có mối quan hệ tiêu cực giữa danh mục đầu tư có rủi ro và độ sâu tiếp cận của các tổ chức TCVM chính thức.
KẾT LUẬN
Nghiên cứu này xem xét mối quan hệ tương tác giữa các mức độ tiếp cận TCVM. Trong đó, xem xét các mối quan hệ giữa độ rộng tiếp cận với độ sâu tiếp cận, số lượng chi nhánh, tỷ lệ tiền gửi trên cho vay, tính bền vững tài chính và tỷ lệ hoàn trả của các tổ chức TCVM. Đồng thời, xác định các mối quan hệ giữa độ sâu tiếp cận với tăng trưởng quy mô, tỷ lệ nợ trên vốn chủ sở hữu, tỷ lệ cho vay trên tiền gửi, danh mục đầu tư có rủi ro của các tổ chức TCVM. Kết quả nghiên cứu xác định sự tương tác hai chiều giữa các mức độ tiếp cận sẽ giúp các nhà nhà quản lý hiểu được các yếu tố quyết định chính để quản lý tốt hơn các tổ chức TCVM.
Hiện nay, các tổ chức TCVM đang trở thành triển vọng ở nhiều vùng miền trong cả nước. Nghiên cứu này sẽ giúp các nhà nghiên cứu, quản lý phát triển chuyên môn của mình về các yếu tố chính của mối quan hệ tương tác giữa các mức độ tiếp cận TCVM của các tổ chức TCVM tại Việt Nam. Đồng thời, mô hình nghiên cứu này có thể vận dụng vào thực tiễn, có ý nghĩa trong nghiên cứu và phù hợp với xu thế phát triển của các tổ chức TCVM, từ đó góp phần thúc đẩy và cải thiện độ rộng tiếp cận và độ sâu sâu tiếp cận TCVM, tác động tích cực đến phát triển bền vững các tổ chức TCVM chính thức tại Việt Nam./.
Tài liệu tham khảo
1. Abdulai, A., & Tewari, D. (2017). Determinants of microfinance outreach in Sub-Saharan Africa: A panel approach, Acta Commercii - Independent Research Journal in the Management Sciences, 17(1), 1-10, https://doi.org/10.4102/ac.v17i1.414.
2. Barkley, D. L., Mellon, C., & Potts, G. T. (1984). Effects of Banking Structure on the Allocation of Credit to Nonmetropolitan Communities, Western Journal of Agricultural Economics, 9(2), 283-292.
3. Churchill, S. A., & Marr, A. (2017). Sustainability and Outreach: A Comparative Study of MFIs in South Asia and Latin America and the Caribbean, Bulletin of Economic Research, 69(4), 19-41.
4. Cull, R., Kunt, A. D., & Morduch, J. (2006). Financial Performance and Outreach: A Global Analysis of Leading Microbanks, World Bank Policy Research Working Paper 3827, 6-8. Washington, DC: The World Bank.
5. DiSalvo, J., & Johnston, R. (2017). Banking Trends: The Rise in Loan-to-Deposit Ratios: Is 80 the New 60?, Federal Reserve Bank of Philadelphia, Research Department, Q3, (pp.18-23).
6. Fiebig, M., Hannig, A., & Wisniwski, S. (1999). Saving in the context microfinance-state of knowledge, CGAP Working paper (pp.7-17), CGAP Working Group on Savings Mobilization.
7. Johnson, C. (2015). The Impacts of Capital Structure on Depth of Outreach in Sub-Saharan Africa, Critique: A worldwide journal of student politics, 118-149, Spring 2015.
8. Kai, H. (2009). Competition and wide outreach of Microfinance Institutions. Economics Bulletin, 29(4), 2628- 2639.
9. Ledgerwood, J. (1999). Microfinance Handbook - A Financial Market System Perspective, The World Bank, Washington, D.C, 216-248.
10. Ledgerwood, J., Earne, J., & Nelson, C. (2013). The new microfinance handbook: A financial market system perspective, In J. Earne, & L. Sherk (Eds.), Funding (pp.379-382), World Bank Publications.
12. Mujeri, M. K, Khalily, M. A. B., Scheyvens, H., Johnson, B., Rahman, M, Hasan, M., Azam, S. E., & Adnan, S. S. (2017). Financial Inclusion for Disaster and Climate Resilient Households and Communities. A Research Report prepared for the Japan International Cooperation Agency, Institute for Inclusive Finance and Development.
13. National Assembly (2010). Law on credit institutions, No. 47/2010/QH12, June 16, 2010, Ha Noi, Vietnam, retrieved from https://www.economica.vn/Portals/0/Documents/f6c24d103517f2a8c3ea307d119a2e0e.pdf.
14. Nyamsogoro, G.D. (2010). Financial sustainability of rural microfinance institutions in Tanzania, PhD Thesis: University of Greenwich, Australia.
15. Osotimehin, K.O., Jegede, C.A., & Akinlabi, B.H. (2011). Determinants of microfinance outreach in South-Western Nigeria: An empirical analysis, International Journal of Management and Business Studies, 1(1), 001-007.
16. Quayes, S. (2012). Depth of outreach and financial sustainability of microfinance institutions, Applied Economics, 44(26), 3421-3433.
17. Sheremenko, G., Escalante, C. L., & Florkowski, W. J. (2012). The Universality of Microfinance Operations Model in Eastern Europe and Central Asia: Financial Sustainability vs. Poverty Outreach, Retrieved from http://ageconsearch.umn.edu/record/123286/files/Th ... 20Model%20_paper.pdf.
18. World Bank (2004). Microfinance and the Poor in Central Asia Challenges and Opportunities, Agriculture and Rural Development Discussion, 6, 6-16, Europe and Central Asia Region. Washington, D.C.
| Ngày nhận bài: 14/5/2025; Ngày hoàn thiện biên tập: 02/6/2025; Ngày nhận bài: 12/6/2025 |


Bình luận