Tác động của tỷ giá hối đoái đến xuất nhập khẩu của Việt Nam - Nghiên cứu trong giai đoạn 2010-2022
Phạm Hoàng Ân
Trường Đại học Văn Hiến
Email: anph@vhu.edu.vn
Tóm tắt
Nghiên cứu phân tích mối quan hệ giữa tỷ giá hối đoái và hoạt động xuất nhập khẩu của Việt Nam trong giai đoạn 2010-2022, đồng thời đánh giá tác động của đại dịch COVID-19 lên mối quan hệ này. Kết quả áp dụng 2 mô hình ARDL và NARDL cho thấy tỷ giá có tác động phi đối xứng đến xuất khẩu, khi đồng Việt Nam giảm giá thì xuất khẩu tăng rõ rệt. Trong khi đó, đại dịch COVID-19 lại góp phần thúc đẩy xuất khẩu ở một số lĩnh vực như thiết bị y tế, điện tử... Từ kết quả đạt được, nghiên cứu đề xuất một số hàm ý chính sách nhằm hỗ trợ hoạch định chính sách tỷ giá, phát triển xuất khẩu bền vững và nâng cao khả năng ứng phó với các cú sốc bên ngoài.
Từ khoá: ARDL, NARDL, tỷ giá hối đoái, Việt Nam, xuất nhập khẩu
Summary
The study analyzes the relationship between exchange rates and Viet Nam's import and export activities in the period 2010-2022, and assesses the impact of the COVID-19 pandemic on this relationship. The results of applying two ARDL and NARDL models show that the exchange rate has an asymmetric impact on exports, when the VND depreciates, exports increase significantly. Meanwhile, the COVID-19 pandemic contributes to promoting exports in some areas such as medical equipment, electronics, etc. From the results achieved, the study proposes a number of policy implications to support exchange rate policy making, sustainable export development and improving the ability to respond to external shocks.
Key words: ARDL, NARDL, exchange rates, Viet Nam, imports and exports
GIỚI THIỆU
Trong nền kinh tế mở, tỷ giá hối đoái (TGHĐ) đóng vai trò quan trọng trong việc điều tiết thương mại quốc tế, đặc biệt tại các quốc gia có độ mở thương mại cao như Việt Nam. Biến động TGHĐ không chỉ ảnh hưởng đến giá cả hàng hóa xuất nhập khẩu, mà còn tác động đến cán cân thương mại quốc gia. Từ năm 2020, đại dịch COVID-19 đã tạo ra cú sốc lớn đối với chuỗi cung ứng toàn cầu, làm gián đoạn hoạt động thương mại và thay đổi cấu trúc giao thương. Điều này đặt ra yêu cầu mới trong việc đánh giá lại mối quan hệ giữa TGHĐ và xuất nhập khẩu trong điều kiện bất định. Mặc dù đã có nhiều nghiên cứu về tác động của TGHĐ đến thương mại quốc tế, đa phần các nghiên cứu tại Việt Nam vẫn chưa xét đến yếu tố đại dịch như một biến tác động.
Trên cơ sở đó, nghiên cứu hướng đến 2 mục tiêu chính: (i) đánh giá mối quan hệ giữa TGHĐ và hoạt động xuất nhập khẩu của Việt Nam trong giai đoạn 2010-2022; và (ii) phân tích tác động của đại dịch COVID-19 đến mối quan hệ này bằng cách đưa biến giả đại diện cho thời kỳ dịch bệnh vào mô hình nghiên cứu.
Nghiên cứu sử dụng dữ liệu chuỗi thời gian theo tháng, áp dụng phương pháp hồi quy phân phối trễ (ARDL) và pháp hồi quy phân phối trễ phi tuyến tính (NARDL) để phân tích mối quan hệ ngắn hạn, dài hạn cũng như kiểm tra tính bất đối xứng trong tác động của tỷ giá. Kết quả nghiên cứu sẽ cung cấp thêm bằng chứng thực nghiệm cho bối cảnh Việt Nam, đồng thời đưa ra hàm ý chính sách nhằm điều hành tỷ giá hiệu quả và nâng cao năng lực thích ứng thương mại trong điều kiện biến động toàn cầu.
CƠ SỞ LÝ THUYẾT VÀ TỔNG QUAN NGHIÊN CỨU
Trong kinh tế học quốc tế, mối quan hệ giữa TGHĐ và cán cân thương mại được giải thích thông qua nhiều lý thuyết nền tảng. Một trong những lý thuyết kinh điển là điều kiện Marshall-Lerner, cho rằng khi tổng độ co giãn của xuất khẩu và nhập khẩu lớn hơn một, việc giảm giá đồng nội tệ sẽ cải thiện cán cân thương mại. Omer và cộng sự (2022) sử dụng mô hình GMM với dữ liệu của Pakistan từ năm 1968 đến 2019 để xem xét tác động của TGHĐ đến xuất nhập khẩu. Kết quả cho thấy việc giảm giá đồng nội tệ không chỉ làm gia tăng xuất khẩu mà còn góp phần làm giảm nhập khẩu.
Trong khi đó, một số nghiên cứu lại cho kết quả ngược lại. Bostan và cộng sự (2018) phát hiện mối quan hệ nghịch biến giữa TGHĐ và xuất khẩu tại Romani. Ở chiều tiếp cận khác, Chang và cộng sự (2019) cho thấy trong khi mô hình ARDL không phát hiện tác động đáng kể, thì mô hình NARDL lại chỉ ra tác động phi đối xứng giữa TGHĐ và xuất khẩu của Mỹ đối với Mexico. Ngoài xuất khẩu, một số nghiên cứu cũng tập trung phân tích tác động của TGHĐ đến nhập khẩu. Sweidan (2013) cho thấy tại Jordan, TGHĐ chỉ ảnh hưởng đến nhập khẩu trong ngắn hạn nhưng không có ý nghĩa trong dài hạn.
Tại Việt Nam, nhiều nghiên cứu đã được thực hiện nhằm đánh giá tác động của TGHĐ đến cán cân thương mại và hoạt động xuất nhập khẩu, tuy nhiên kết quả vẫn chưa hoàn toàn đồng nhất. Truong và Vo (2023) sử dụng mô hình NARDL để phân tích tác động phi tuyến của TGHĐ đến cán cân thương mại và phát hiện rằng TGHĐ có ảnh hưởng đáng kể trong cả ngắn hạn và dài hạn. Cụ thể, khi đồng USD tăng 1%, cán cân thương mại của Việt Nam tăng tương ứng 0.92% trong dài hạn. Kết quả tương tự cũng được ghi nhận trong nghiên cứu của Le và Dang (2017). Tuy nhiên, nghiên cứu của Thom (2017) lại cho thấy việc giảm giá đồng nội tệ khiến cán cân thương mại trở nên xấu hơn sau khoảng 6 tháng. (Các số liệu trong nghiên cứu được viết theo chuẩn quốc tế)
Ở góc độ khác, Nga và cộng sự (2024) vận dụng phương pháp bình phương tối thiểu (OLS) để đánh giá tác động của TGHĐ đa phương đến thương mại. Kết quả cho thấy biến động của tỷ giá không ảnh hưởng đáng kể đến nhập khẩu, nhưng lại góp phần thúc đẩy xuất khẩu của Việt Nam sang các thị trường đối tác chính. Ngoài ra, khi thu nhập thực của Việt Nam tăng, hoạt động nhập khẩu cũng tăng theo, phản ánh mối quan hệ đồng biến giữa thu nhập trong nước và nhập khẩu.
PHƯƠNG PHÁP NGHIÊN CỨU VÀ DỮ LIỆU NGHIÊN CỨU
Nghiên cứu này sử dụng phương pháp định lượng với dữ liệu chuỗi thời gian tháng của Việt Nam trong giai đoạn từ tháng 1/2010 đến tháng 12/2022 nhằm đánh giá mối quan hệ giữa TGHĐ và hoạt động xuất nhập khẩu, đồng thời xem xét tác động của đại dịch COVID-19 thông qua biến giả.
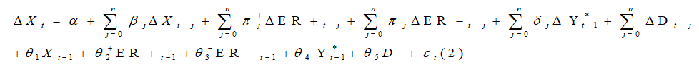
Để kiểm định mối quan hệ tuyến tính và phi tuyến giữa các biến, nghiên cứu áp dụng 2 mô hình kinh tế lượng là mô hình tự hồi quy phân phối trễ (ARDL) và mô hình ARDL phi tuyến (NARDL). Nghiên cứu xem xét sự thay đổi của TGHĐ, thu nhập của nước ngoài và tác động của đại dịch COVID-19 đến xuất khẩu của Việt Nam nên phương trình nghiên cứu về xuất khẩu theo phương pháp ARDL như sau:
Trong đó: Δ: là sai phân bậc 1; α: hệ số góc; β, π, δ,là các hệ số ước lượng trong ngắn hạn, θi là các hệ số ước lượng trong dài hạn.
Tiếp theo, dựa theo nghiên cứu của Shin và cộng sự (2014), thay ER+ (đại diện cho đồng Việt Nam - VNĐ - giảm giá) và ER- (đại diện cho VNĐ tăng giá) vào phương trình (1) được phương trình (2) như sau:
Tương tự, việc nhập khẩu của Việt Nam phụ thuộc vào TGHĐ, thu nhập của Việt Nam và tác động của COVID-19 theo phương pháp ARDL và NARDL được thể hiện qua 2 phương trình sau:
X: Xuất khẩu; M: Nhập khẩu; ER: TGHĐ danh nghĩa (tỷ giá USD/VND); IIPVN: Chỉ số sản xuất công nghiệp Việt Nam (đại diện cho thu nhập trong nước); IIPW: Chỉ số sản xuất công nghiệp thế giới (đại diện cho thu nhập thế giới); D: Biến giả COVID-19 (D = 1 trong giai đoạn đại dịch, D = 0 trước đó)
KẾT QUẢ VÀ CÁC KHUYẾN NGHỊ CHÍNH SÁCH
Kết quả nghiên cứu theo phương pháp ARDL
Bảng 1: Kết quả ước lượng của mô hình xuất khẩu theo phương pháp ARDL
|
Phần 1: Kết quả trong ngắn hạn |
|||||
|
Biến |
Độ trễ |
||||
|
0 |
1 |
2 |
3 |
4 |
|
|
C |
-42.83*** |
|
|
|
|
|
Xuất khẩu |
|
0.13 |
0.24*** |
0.24*** |
|
|
ER |
0.038 |
-1.26 |
1.60 |
|
|
|
IIPW |
3.96*** |
-1.43 |
-1.002** |
|
|
|
D |
-0.02 |
0.43*** |
-0.29*** |
0.2 |
-0.27** |
|
Phần 2: Kết quả trong dài hạn |
|||||
|
Biến |
|
||||
|
C |
-106.94*** |
||||
|
ER |
0.92 |
||||
|
IIPW |
3.82*** |
||||
|
D |
0.1** |
||||
|
Phần 3: Kiểm định chẩn đoán |
|||||
|
Kiểm định đường bao |
ECMt-1 |
Tự tương quan |
Phương sai thay đổi |
CUSUM |
CUSUMQ |
|
5.69 |
-0.4*** |
6.89 |
16.24 |
Tốt |
Tốt |
Ghi chú: *** và ** lần lượt biểu thị mức ý nghĩa thống kê tại 1% và 5%.
Trong đó: CUSUM: (Cumulative Sum of Recursive Residuals) là tổng tích lũy của phần dư. CUSUMSQ: (Cumulative Sum of Square of Recursive Residuals) là tổng tích lũy hiệu chỉnh của phần dư.
Đối với mô hình xuất khẩu: X = -106.94*** + 0.92ER + 3.82IIPW*** + 0.1D** (5)
Kết quả hồi quy (phương trình 5) cho thấy, trong dài hạn, việc ER không có ý nghĩa thống kê giống với kết quả trong ngắn hạn. Đây cũng là kết quả nghiên cứu của Omer và cộng sự (2023); Sohrabji (2024). Thêm nữa, IIPW có giá trị 3.92 và có mức ý nghĩa thống kê 1%, cho thấy khi thu nhập thế giới tăng 1% làm xuất khẩu Việt Nam tăng 3.92%. Điều này phù hợp với lý thuyết kinh tế bởi vì thu nhập thế giới tăng làm người nước ngoài giàu hơn, họ có thêm tiền để mua hàng hóa của Việt Nam.
Biến giả D trong mô hình có giá trị 0.1 có ý nghĩa thống kê nghĩa là COVID-19 làm xuất khẩu của Việt Nam tăng 0.1% so với trước đó. Việt Nam vẫn tận dụng được cơ hội từ sự dịch chuyển chuỗi cung ứng và nhu cầu gia tăng đối với một số mặt hàng thiết yếu như thiết bị y tế, dược phẩm, điện tử và nông sản.
Đối với mô hình nhập khẩu: M = -19.8 + 3.63ER - 0.3IIPVN + 0.41D (6)
Kết quả hồi quy mô hình phương trình 6, không có biến nào có ý nghĩa thống kê, ngụ ý đây có thể phương pháp ARDL không phù hợp trong nghiên cứu nhập khẩu. Bên cạnh đó, việc ER không có ý nghĩa thống kê phù hợp với các nghiên cứu của Sohrabji (2024). Điều này là do giả định tuyến tính không còn phù hợp trong thế giới thực hiện nay (Bahmani-Oskooee và cộng sự, 2016).
Kết quả nghiên cứu theo phương pháp NARDL
Bảng 2: Kết quả ước lượng của mô hình xuất khẩu theo phương pháp NARDL
|
Phần 1: Kết quả trong ngắn hạn |
|||||
|
Biến |
Độ trễ |
||||
|
0 |
1 |
2 |
3 |
4 |
|
|
C |
-34.58*** |
|
|
|
|
|
Xuất khẩu |
-0.51*** |
-0.42*** |
-0.19*** |
|
|
|
ER + |
0.48 |
-1.97** |
|
|
|
|
ER - |
-1.40 |
3.42** |
|
|
|
|
IIPW |
1.4*** |
3.89*** |
1.02** |
|
|
|
D |
0.02 |
-0.04 |
0.36*** |
0.09 |
0.26** |
|
Phần 2: Kết quả trong dài hạn |
|||||
|
Biến |
|
||||
|
C |
-67.64*** |
||||
|
ER + |
0.95* |
||||
|
ER - |
-2.73 |
||||
|
IIPW |
2.73*** |
||||
|
D |
0.03 |
||||
|
Phần 3: Kiểm định chẩn đoán |
|||||
|
Kiểm định đường bao |
ECMt-1 |
Tự tương quan |
Phương sai thay đổi |
CUSUM |
CUSUMQ |
|
6.52*** |
-0.51*** |
1.80 |
15.01 |
Tốt |
Tốt |
Ghi chú: ***, ** và * lần lượt biểu thị mức ý nghĩa thống kê tại 1%, 5% và 10%.
Nguồn: Kết quả phương pháp NARDL
Trong đó, CUSUM: Tổng tích lũy của phần dư; CUSUMSQ: Tổng tích lũy hiệu chỉnh của phần dư.
Kết quả Bảng 2 cho thấy:
Đối với mô hình xuất khẩu: X = -67.64*** + 0.95ER+*-2.73ER- + 2.73IIPW*** + 0.03D (7)
Phương trình 7 trình bày kết quả hồi quy của mô hình xuất khẩu theo phương pháp NARDL. Có thể thấy trong dài hạn, thu nhập thế giới tác động đến tăng giúp xuất khẩu của Việt Nam tăng. Bên cạnh đó, trong khi VNĐ giảm giá 1% giúp cải thiện xuất khẩu 0.95% trong khi việc giảm giá VNĐ không tác động đến nhập khẩu. Điều này chứng tỏ việc tăng/giảm đồng nội tệ có tác động khác nhau đến xuất khẩu của Việt Nam.
Đối với mô hình nhập khẩu: M = 12.63*** + 1.12ER+ -8.57***ER- -0.17IIPVN + 0.00D (8)
Phương trình 8 trình bày kết quả hồi quy của mô hình xuất khẩu theo phương pháp NARDL. Mặc dù kết quả hồi quy có ý nghĩa thống kê đối với biến ER-. Tuy nhiên, kiểm định chẩn đoán chỉ ra đây không phải là một mô hình đáng tin cậy vì vi phạm các giả định như: tính ổn định của tham số (CUSUMQ) kiểm định đường bao, phương sai sai số thay đổi.
KHUYẾN NGHỊ CHÍNH SÁCH
Từ các kết quả thực nghiệm, nghiên cứu đề xuất một số khuyến nghị nhằm thúc đẩy xuất khẩu của Việt Nam, đặc biệt trong giai đoạn đại dịch COVID-19. Cụ thể:
Thứ nhất, duy trì chính sách tỷ giá linh hoạt và thận trọng. Bởi vì sự thay đổi của TGHĐ tác động đến xuất khẩu của Việt Nam.
Thứ hai, thiết lập cơ chế phản ứng nhanh trong thương mại quốc tế, nhằm ứng phó kịp thời với các cú sốc tương tự như COVID-19.
Thứ ba, thúc đẩy đa dạng hoá thị trường xuất khẩu.
Thu nhập nước ngoài (IIPW) có tác động tích cực tới xuất khẩu của Việt Nam. Vì vậy, việc tìm kiếm các thị trường mới và duy trì ổn định các thị trường trọng điểm là rất quan trọng.
Tài liệu tham khảo:
1. Bahmani-Oskooee, M., & Gelan, A. (2018). Exchange-rate volatility and international trade performance: Evidence from 12 African countries. Economic Analysis and Policy, 58, 14-21. https://doi.org/10.1016/j.eap.2017.12.005
2. Bostan, I., Toderas, C., & Bogdan-Narcis Firtescu., (2018). Exchange Rate Effects on International Commercial Trade Competitiveness. Journal of Risk and Financial Management, 11(19).
3. Chang, B.H., Rajput, S.K.O., & N.A. Bhutto. (2019). Impact of exchange rate volatility on the US exports: new evidence from multiple threshold nonlinear ARDL model, Journal of International Commerce, Economics and Policy, 10 (02). https://doi.org/10.1142/S1793993319500091
4. Huy, N. Q. (2018). Determinants of Viet Nam’s exports: An application of the gravity model. Journal of Asian Business and Economic Studies, 25(Special 01), 104-116.
4. Le H. P., & Dang, T. B. V. (2017). The impact of macroeconomic factors on trade balance in Viet Nam. Banking technology review, 1(1).
5. Nga, N. T. V., Minh, N. K. & Toan, T. D. (2024). The impact of the effective exchange rate volatility on the trade balance of Viet Nam. Brazilian Journal of Development, 10(4). doi:10.34117/bjdv10n4-043
6. Omer, M., Kamal, J. & de Haan, J. (2023). Does an exchange rate depreciation improve the trade balance of Pakistan? International Journal of Economic Policy Studies, 17, 163-185. https://doi.org/10.1007/s42495-022-00096-3
7. Shin, Y., Yu, B., & Greenwood-Nimmo, M. J. (2014). Modelling asymmetric cointegration and dynamic multipliers in a nonlinear framework. In Williams C. Horrace, & Robin C. Sickles (Eds).
8. Sohrabji, N. (2024). Asymmetric Exchange Rate Effects on Trade Flows in India, Economies, 12(5), 114. https://doi.org/10.3390/economies12050114
9. Sweidan, D. O. (2013). The Effect of Exchange Rate on Exports and Imports: The Case of Jordan. The International Trade Journal, 27(2), 156-172. Doi:10.1080/08853908.2013.738515.
10. Truong, L. D., & Vo, V. D. (2023). The asymmetric effects of exchange rate on trade balance of Viet Nam. Heliyon, 9(4). https://doi.org/10.1016/j.heliyon.2023.e14455
| Ngày nhận bài: 18/6/2025; Ngày hoàn thiện biên tập: 01/7/2025; Ngày duyệt đăng: 03/7/2025 |

Bình luận