Tác động của chất lượng lợi nhuận kế toán đến tính hữu ích thông tin của giá cổ phiếu trong các công ty niêm yết trên thị trường chứng khoán Việt Nam
Trần Quang Chung
Đoàn Thị Trúc Quỳnh
Viện Kế toán – Kiểm toán, Đại học Kinh tế Quốc dân
Tóm tắt
Nghiên cứu xem xét mối quan hệ giữa chất lượng lợi nhuận kế toán và mức độ hữu ích thông tin của giá cổ phiếu trong bối cảnh thị trường mới nổi, cụ thể là thị trường chứng khoán Việt Nam. Sử dụng mẫu gồm 330 công ty phi tài chính niêm yết trên Sở Giao dịch Chứng khoán Thành phố Hồ Chí Minh (HOSE) trong giai đoạn 2019-2023. Phân tích hồi quy sử dụng mô hình hiệu ứng cố định (FE) và kiểm định với sai số chuẩn robust cho thấy, chất lượng lợi nhuận cao có tác động dương và có ý nghĩa thống kê đến tính hữu ích thông tin, phản ánh qua việc giá cổ phiếu phản ánh nhiều hơn các thông tin nội tại doanh nghiệp. Điều này gợi ý rằng, việc cung cấp báo cáo tài chính chính xác, đáng tin cậy giúp tăng cường tính minh bạch và giảm bất cân xứng thông tin trên thị trường.
Từ khóa: Chất lượng lợi nhuận, tính hữu ích thông tin của giá cổ phiếu; sở hữu nước ngoài, sở hữu của nhà quản lý, minh bạch thông tin, thị trường mới nổi.
Summary
This study investigates the relationship between accounting earnings quality and the informational usefulness of stock prices in the context of an emerging market, specifically the Vietnamese stock market. Using a sample of 330 non-financial firms listed on the Ho Chi Minh Stock Exchange (HOSE) during the period 2019–2023, the analysis employs a fixed effects (FE) regression model and robust standard error testing. The results indicate that high earnings quality has a statistically significant positive effect on the informational usefulness of stock prices, as stock prices better reflect firms’ intrinsic information. These findings suggest that providing accurate and reliable financial reports enhances transparency and reduces information asymmetry in the market.
Keywords: Earnings quality, informational usefulness of stock prices, foreign ownership, managerial ownership, information transparency, emerging market
GIỚI THIỆU
Các nghiên cứu trước đây (Bhattacharya và cộng sự, 2013; Dasgupta và cộng sự, 2010) đã chỉ ra rằng, chất lượng lợi nhuận kế toán (EQ) thấp làm gia tăng rủi ro thông tin, ảnh hưởng tiêu cực đến tính minh bạch, hiệu quả định giá và thanh khoản của thị trường chứng khoán. Ngược lại, khi lợi nhuận được trình bày trung thực và không bị điều chỉnh vì động cơ cá nhân, giá cổ phiếu có xu hướng phản ánh chính xác hơn thông tin nội tại, giúp nâng cao hiệu quả của thị trường tài chính, đồng thời làm giảm chi phí vốn cho doanh nghiệp thông qua việc giảm yêu cầu bù đắp rủi ro từ phía nhà đầu tư (Easley và O’Hara, 2004; Francis và cộng sự, 2004).
Trong bối cảnh hội nhập, việc áp dụng các chuẩn mực kế toán quốc tế (IFRS) và nâng cao chất lượng báo cáo tài chính đã trở thành yêu cầu cấp thiết đối với các doanh nghiệp Việt Nam. Tuy nhiên, thị trường tài chính Việt Nam vẫn còn đối mặt với nhiều thách thức như sự thiếu minh bạch, cơ chế công bố thông tin chưa đồng bộ, văn hóa doanh nghiệp chịu ảnh hưởng từ mô hình doanh nghiệp nhà nước và các động cơ quản trị ngắn hạn. Những yếu tố này làm gia tăng tình trạng điều chỉnh lợi nhuận để đạt mục tiêu tài chính, gây khó khăn cho nhà đầu tư trong việc phân tích thông tin, từ đó ảnh hưởng tiêu cực đến tính hữu ích của giá cổ phiếu. Trong môi trường tài chính như vậy, việc phân tích mối quan hệ giữa chất lượng lợi nhuận kế toán và tính hữu ích thông tin của giá cổ phiếu là hết sức cần thiết. Đây không chỉ là vấn đề học thuật mang tính lý thuyết mà còn có ý nghĩa thực tiễn to lớn trong việc định hướng cải thiện chính sách công bố thông tin, cơ chế giám sát thị trường và quản trị doanh nghiệp tại Việt Nam.
Nghiên cứu này được xây dựng nhằm phân tích tác động của chất lượng lợi nhuận kế toán, đặc biệt là lợi nhuận kế toán dựa trên phương pháp kế toán dồn tích (accrual-based earnings), đến tính hữu ích thông tin của giá cổ phiếu – được đo lường thông qua mức độ phản ánh thông tin nội tại của doanh nghiệp trong biến động giá cổ phiếu. Trong đó, nghiên cứu lựa chọn mẫu gồm 330 công ty phi tài chính niêm yết trên Sở Giao dịch Chứng khoán Thành phố Hồ Chí Minh (HOSE) trong giai đoạn 2018-2022 – một giai đoạn có nhiều biến động đáng chú ý về kinh tế, dịch bệnh và chính sách quản trị thị trường.
Bên cạnh việc làm sáng tỏ vai trò của EQ đối với thị trường chứng khoán, nghiên cứu còn bổ sung góc nhìn mới về ảnh hưởng của các yếu tố sở hữu (sở hữu nước ngoài, sở hữu ban lãnh đạo) và đặc điểm doanh nghiệp (quy mô, đòn bẩy, tuổi đời) đến mức độ hữu ích thông tin của giá cổ phiếu. Từ đó, kết quả nghiên cứu kỳ vọng sẽ đóng góp vào việc hoàn thiện khuôn khổ chính sách công bố thông tin và nâng cao tính hiệu quả của thị trường chứng khoán Việt Nam trong thời gian tới.
TỔNG QUAN NGHIÊN CỨU VỀ MỐI QUAN HỆ GIỮA CHẤT LƯỢNG LỢI NHUẬN VÀ TÍNH HỮU ÍCH THÔNG TIN CỦA GIÁ CỔ PHIẾU
Mối quan hệ giữa chất lượng EQ và mức độ thông tin phản ánh trong giá cổ phiếu (SPI) được giải thích dựa trên nhiều lý thuyết kinh điển. Theo lý thuyết bất cân xứng thông tin (Akerlof, 1970; Stiglitz và Weiss, 1981), EQ cao góp phần thu hẹp khoảng cách thông tin giữa nhà quản lý và nhà đầu tư, giúp giá cổ phiếu phản ánh đúng giá trị nội tại. Ngược lại, EQ thấp làm gia tăng sự không chắc chắn và bóp méo tín hiệu tài chính, dẫn đến giá cổ phiếu thiếu tính thông tin (Francis và cộng sự, 2005). Lý thuyết đại diện (Jensen và Meckling, 1976) nhấn mạnh rằng EQ cao giúp giảm thiểu hành vi trục lợi và tăng tính minh bạch tài chính, từ đó cải thiện SPI. Theo lý thuyết thị trường hiệu quả (Fama, 1970), chất lượng thông tin là điều kiện tiên quyết để giá cổ phiếu phản ánh đầy đủ các thông tin sẵn có. Do đó, EQ cao giúp thị trường vận hành hiệu quả hơn (Hutton và cộng sự, 2009).
Các nghiên cứu quốc tế về mối quan hệ giữa chất lượng lợi nhuận kế toán và mức độ thông tin của giá cổ phiếu ngày càng thu hút sự quan tâm, đặc biệt trong bối cảnh các thị trường tài chính đối mặt với nhiều cú sốc như khủng hoảng tài chính toàn cầu, đại dịch Covid-19, và các sự kiện địa chính trị lớn. Một trong những đóng góp chính của dòng nghiên cứu này là làm rõ cơ chế mà thông tin kế toán – thông qua chất lượng lợi nhuận – được tích hợp vào quá trình hình thành giá cổ phiếu trên thị trường thứ cấp. Điều này không chỉ có giá trị học thuật trong việc kiểm định giả thuyết về thị trường hiệu quả (EMH), mà còn có ý nghĩa thực tiễn sâu sắc trong việc cải thiện chính sách công bố thông tin, thiết kế khung pháp lý và giám sát thị trường.
Một điểm đáng chú ý là các kết quả thực nghiệm về mối quan hệ giữa EQ và tính hữu ích thông tin của giá cổ phiếu không hoàn toàn đồng nhất. Một nhóm nghiên cứu (Hutton và cộng sự, 2009; Das và cộng sự, 2016; Johnston, 2009) cho rằng, EQ thấp làm gia tăng độ nhiễu và bất cân xứng thông tin, dẫn đến giá cổ phiếu kém hữu ích trong phản ánh thông tin nội tại. Cơ chế lý giải phổ biến là các công ty có EQ thấp thường điều chỉnh lợi nhuận theo mục tiêu quản trị ngắn hạn, làm méo mó thông tin được cung cấp cho nhà đầu tư, dẫn đến định giá sai lệch và tăng rủi ro thị trường.
Tuy nhiên, như Dasgupta và cộng sự (2010) và các nghiên cứu tại thị trường mới nổi chỉ ra, trong một số điều kiện nhất định, EQ cao lại đi kèm với mức độ đồng bộ giá cổ phiếu cao hơn, một hiện tượng tưởng chừng nghịch lý. Cách lý giải cho kết quả này là khi thị trường minh bạch hơn, thông tin công khai – vốn là thông tin chung – trở nên quan trọng hơn và các nhà đầu tư phản ứng chủ yếu theo xu hướng chung của ngành hoặc nền kinh tế. Trong bối cảnh này, giá cổ phiếu trở nên đồng bộ hơn, nhưng không nhất thiết là kém thông tin, mà ngược lại là do mức độ chia sẻ thông tin chung đã tăng lên trong toàn hệ thống (Jin và Myers, 2006; Hu và Liu, 2013). Bên cạnh đó, các nghiên cứu gần đây cũng mở rộng mô hình nghiên cứu bằng cách đưa vào các yếu tố bối cảnh như khủng hoảng tài chính, cải cách kế toán, hoặc mức độ phát triển công nghệ thông tin. Ví dụ, nghiên cứu của Ecker và cộng sự (2006) và Francis và cộng sự (2004) cho thấy, trong giai đoạn thị trường bất ổn (như khủng hoảng tài chính 2008 hay đại dịch Covid-19), vai trò của thông tin kế toán chất lượng cao trở nên đặc biệt quan trọng trong việc trấn an tâm lý nhà đầu tư và giảm bớt hiện tượng định giá sai. Điều này củng cố luận điểm rằng, EQ không chỉ đơn thuần là một biến kế toán, mà còn là một chỉ báo quan trọng của niềm tin thị trường và tính hiệu quả của thông tin.
Tại Việt Nam hiện nay, mặc dù có khá nhiều nghiên cứu xoay quanh chủ đề chất lượng EQ, nhưng phần lớn các nghiên cứu mới chỉ dừng lại ở việc xác định các nhân tố ảnh hưởng đến EQ như: cấu trúc sở hữu, đòn bẩy tài chính, quy mô doanh nghiệp, vai trò của kiểm toán Big 4, hay mức độ độc lập của hội đồng quản trị. Tuy nhiên, các nghiên cứu đi sâu phân tích mối quan hệ giữa chất lượng lợi nhuận và mức độ thông tin phản ánh trong giá cổ phiếu – tức tính hữu ích thông tin của thị trường – vẫn còn rất hạn chế. Điều này tạo ra khoảng trống đáng kể trong nghiên cứu học thuật tại Việt Nam, đặc biệt trong bối cảnh thị trường vốn đang trong giai đoạn chuyển mình mạnh mẽ nhằm hướng đến chuẩn mực quốc tế về minh bạch và hiệu quả thông tin.
Từ những lập luận trên, nghiên cứu đề xuất giả thuyết sau:
H: Chất lượng lợi nhuận có tác động cùng chiều đến tính hữu ích thông tin của giá cổ phiếu trên thị trường chứng khoán Việt Nam.
Giả thuyết trên có nghĩa rằng, khi EQ cao – tức lợi nhuận ít bị điều chỉnh tùy ý – thì giá cổ phiếu sẽ phản ánh chính xác hơn tình hình thực tế của doanh nghiệp, giảm bớt vai trò của các yếu tố nhiễu như: đầu cơ, thao túng thông tin hay chênh lệch nhận thức của nhà đầu tư.
PHƯƠNG PHÁP NGHIÊN CỨU
Mô hình nghiên cứu
Để phân tích cách thức mà EQ ảnh hưởng đến mức độ thông tin trong giá cổ phiếu, các tác giả xây dựng 2 mô hình kinh tế lượng; trong đó, EQ là biến chính được quan tâm. Ngoài ra, nhóm tác giả cũng đưa vào các biến kiểm soát dựa trên nghiên cứu trước đây của Trueman và Titman (1988) và Vo (2017), bao gồm: sở hữu nước ngoài (FON), quy mô công ty (SIZE), sở hữu của ban lãnh đạo (MON), tuổi công ty (AGE) và đòn bẩy tài chính (LEV). Các nghiên cứu trước đây đã chỉ ra rằng, những yếu tố này có ảnh hưởng đáng kể đến khoảng cách thông tin và biến động giá cổ phiếu. Việc đưa các biến kiểm soát này vào mô hình giúp phân tách rõ vai trò cụ thể của EQ, đồng thời đánh giá tác động của các yếu tố quan trọng khác (Bài viết sử dụng cách viết số thập phân theo chuẩn quốc tế).
Mô hình hồi quy như sau:
INFOR1,t = α0 + α1EQi,t + α2CONTROLSi,t + α3INDUSTRYi,t + α4YEARi,t + µi,t (1)
Trong đó:
- INFOR (Mức độ thông tin trong giá cổ phiếu)
- EQ (Chất lượng lợi nhuận): Được đo lường dựa trên mô hình của McNichols (2002).
- CONTROLS: Bộ biến kiểm soát, bao gồm: FON (Sở hữu nước ngoài): Tỷ lệ cổ phần do nhà đầu tư nước ngoài nắm giữ; MON (Sở hữu của ban lãnh đạo): Tỷ lệ cổ phần do các giám đốc công ty, vợ/chồng và con cái của họ nắm giữ; SIZE: Được tính bằng logarit tự nhiên của tổng giá trị tài sản trên thị trường; AGE: Số năm hoạt động của công ty kể từ khi thành lập; LEV (Đòn bẩy tài chính): Tỷ lệ tổng nợ trên vốn chủ sở hữu.
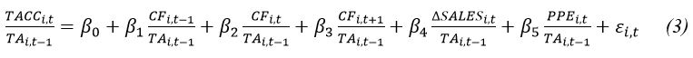
Đo lường chất lượng lợi nhuận kế toán
Trong nghiên cứu này, chất lượng lợi nhuận kế toán được đo lường theo phương pháp của Dechow và Dichev (2002), điều chỉnh bởi McNichols (2002), thông qua việc ước lượng sai lệch trong khoản mục lợi nhuận dồn tích (accruals). Phương pháp này bao gồm ba bước:
Bước 1: Xác định tổng lợi nhuận dồn tích (TACC)
TACCi,t = ΔASSETi,t – ΔALIABITYi,t – ΔCASHi,t + ΔDEBTi,t (2)
Trong đó: TACC: Tổng lợi nhuận dồn tích (còn gọi là vốn lưu động dồn tích); ∆ASSET, ∆CASH, ∆LIABILITY và ∆DEBT lần lượt là thay đổi trong tài sản ngắn hạn, tiền mặt, nợ ngắn hạn và nợ giữa 2 năm.
Bước 2: Hồi quy ước lượng chất lượng lợi nhuận dồn tích
![]() |
Trong đó: CF: Dòng tiền từ hoạt động kinh doanh; ΔSALES: Thay đổi doanh thu; PPE: Tổng tài sản cố định hữu hình; TA: Tổng tài sản của công ty.
Bước 3: Tính toán EQ (chất lượng lợi nhuận dồn tích)
EQi,t = STDEV(εi)*(-1) (4)
Trong đó: STDEV là độ lệch chuẩn của phần dư từ phương trình (3), phản ánh mức độ biến động của lợi nhuận dồn tích.
Đo lường tính hữu ích của thông tin kế toán
Đối với tính hữu ích thông tin giá cổ phiếu, nghiên cứu áp dụng phương pháp đo lường dựa trên mức độ đồng bộ hóa giá cổ phiếu, dựa theo mô hình của Roll (1988) và Morck và cộng sự (2000):
Bước 1: Tính toán từ mô hình hồi quy sau:
rit = βi0 + βimrmt + εit (5)
Bước 2: Xác định mức độ thông tin trong giá cổ phiếu
![]() |
Trong đó: ri,t là lợi nhuận cổ phiếu của công ty i tại ngày t; rmt là lợi nhuận thị trường tại ngày t; INFOR là Mức độ thông tin trong giá cổ phiếu; R2 là hệ số xác định từ phương trình (5).
KẾT QUẢ NGHIÊN CỨU VÀ THẢO LUẬN
Thống kê mô tả
Dữ liệu nghiên cứu được thu thập từ HOSE, nơi niêm yết hơn 400 công ty. Trong nghiên cứu này, nhóm tác giả tập trung vào các công ty phi tài chính, loại trừ các ngân hàng, công ty bảo hiểm và công ty chứng khoán, dẫn đến mẫu cuối cùng gồm 330 công ty. Dữ liệu bao gồm giai đoạn 5 năm (2019-2023), với tổng cộng 1,589 quan sát.
Số liệu Bảng 1 cung cấp cái nhìn tổng quan về các biến được sử dụng trong nghiên cứu. Về EQ, giá trị trung bình đạt 0.19, với độ lệch chuẩn 0.349, cho thấy có sự chênh lệch đáng kể giữa các công ty. Biên độ dao động lớn từ -1.842 đến 1.989 phản ánh sự khác biệt trong mức độ minh bạch và chất lượng thông tin kế toán giữa các doanh nghiệp. Tương tự, mức độ thông tin của giá cổ phiếu (INFOR) có giá trị trung bình là 1.405, nhưng với độ lệch chuẩn 0.894, điều này cho thấy, có sự khác biệt đáng kể giữa các công ty về mức độ phản ánh thông tin vào giá cổ phiếu.
Bảng 1: Thống kê mô tả các biến
| EQ | INFOR | FON | MON | LEV | SIZE | AGE | |
| Max | 1.989 | 6.991 | 76.043 | 74.974 | 0.988 | 44.062 | 98.97 |
| Min | -1.842 | 0 | 0 | 0 | 0.004 | 12.033 | 9.079 |
| Mean | 0.19 | 1.405 | 14.156 | 17.063 | 0.472 | 23.128 | 23.15 |
| SD | 0.349 | 0.894 | 12.326 | 11.568 | 0.251 | 6.083 | 142.804 |
| Median | 0.008 | 0.631 | 11.565 | 13.667 | 0.126 | 12.502 | 16.188 |
Nguồn: Tính toán của nhóm tác giả
Phân tích tương quan
Kết quả phân tích (Bảng 2) cho thấy, không có mối quan ngại đáng kể nào về hiện tượng đa cộng tuyến giữa các biến này.
Bảng 2: Ma trận tương quan
|
| EQ | FON | MON | LEV | SIZE | AGE |
| EQ | 1 |
|
|
|
|
|
| FON | -.193*** | 1 |
|
|
|
|
| MON | .220* | -.127** | 1 |
|
|
|
| LEV | -.054 | -.230** | .212*** | 1 |
|
|
| SIZE | -.124* | .269*** | .208 | .214** | 1 |
|
| AGE | -.013 | .066* | -.013 | -.198** | .204*** | 1 |
| Note: *, **, and *** indicate p <0.1, 0.05, and 0.01, respectively. | ||||||
Nguồn: Tính toán của nhóm tác giả
Kết quả mô hình nghiên cứu
Kết quả kiểm định F với giá trị 111.83 và p-value = 0.000 cho thấy, mô hình FE phù hợp hơn so với mô hình OLS gộp (Bảng 3).
Bảng 3: Kiểm định mô hình
| Mô hình | Kết quả |
| R2 | 0.1349 |
| Kiểm định F | F-test = 111.83*** (Prob. > P = 0.000) |
| Kiểm định Hausman | Chi-square = 432.09*** (Prob. = 0.000) |
| Phương sai sai số không đồng nhất | 3.11*** |
| Tự tương quan | 23.06e+06 |
Nguồn: Tính toán của nhóm tác giả
Bảng 4 trình bày kết quả của cả 2 mô hình FE và Hiệu ứng cố định có điều chỉnh sai số (Robust FE) nhằm đánh giá tác động của chất lượng EQ lên mức độ thông tin của giá cổ phiếu (INFOR). Kết quả từ cả 2 mô hình đều cho thấy mối quan hệ dương rõ rệt giữa EQ và INFOR. Cụ thể, hệ số của EQ trong mô hình FE là 0.9017 (p-value < 0.05) và trong mô hình Robust FE là 0.9212 (p-value < 0.05), khẳng định rằng chất lượng lợi nhuận cao hơn giúp cải thiện mức độ thông tin của giá cổ phiếu.
Sự khác biệt giữa các mô hình không đáng kể, điều này củng cố tính nhất quán của kết quả và khẳng định vai trò quan trọng của EQ trong việc nâng cao thông tin sẵn có trên thị trường chứng khoán. Khi các doanh nghiệp thực hiện các biện pháp cải thiện EQ, chẳng hạn như công bố báo cáo tài chính minh bạch và chính xác hơn, giá cổ phiếu sẽ phản ánh một bức tranh tài chính rõ ràng hơn. Do đó, nhà đầu tư có thể đưa ra quyết định tốt hơn dựa trên hiệu quả thực tế và triển vọng của doanh nghiệp.
Kết quả này phù hợp với các nghiên cứu trước đây (Bhattacharya và cộng sự (2013); Easley và O'Hara (2004)) khi chỉ ra rằng, chất lượng lợi nhuận cao giúp giảm bớt sự bất cân xứng thông tin, từ đó cải thiện mức độ chính xác của giá cổ phiếu. Khi các doanh nghiệp quản lý lợi nhuận một cách minh bạch và phản ánh đúng hiệu quả hoạt động, mức độ bất định giảm xuống và giá cổ phiếu trở thành chỉ báo chính xác hơn về giá trị thực của doanh nghiệp.
Bảng 4: Kết quả hồi quy
|
| INFOR Model | |
| Result of FE | Result of Robust FE | |
| Hằng số | 1.4323** | 1.0183*** |
| EQ | 0.9017** | 0.9212** |
|
| (0.4840) | (0.0294) |
| FON | 0.3706*** | 0.2914** |
|
| (0.0506) | (0.1002) |
| MON | -0.7537** | -0.7420* |
|
| (0.0199) | (0.0199) |
| LEV | -0.6130 | -0.6227 |
|
| (0.1173) | (0.1173) |
| SIZE | 0.0015** | 0.0015** |
|
| (0.0294) | (0.0294) |
| AGE | 0.0189* | 0.0188* |
|
| (0.1002) | (0.1002) |
| Year Dummies | Yes | Yes |
| Industry Dummies | Yes | Yes |
| Note: *, **, and *** indicate p <0.1, 0.05, and 0.01, respectively. | ||
Nguồn: Tính toán của nhóm tác giả
Nghiên cứu cũng phát hiện rằng, quyền sở hữu nước ngoài (FON) có tác động tích cực và có ý nghĩa thống kê đến mức độ thông tin của giá cổ phiếu. Cụ thể, hệ số của FON là 0.3706 (p-value < 0.01) trong mô hình FE và 0.2914 (p-value < 0.05) trong mô hình Robust FE. Kết quả này cho thấy rằng, khi tỷ lệ sở hữu của nhà đầu tư nước ngoài tăng, mức độ phản ánh thông tin của giá cổ phiếu cũng được cải thiện, phản ánh áp lực giám sát từ các cổ đông nước ngoài trong việc yêu cầu minh bạch hóa thông tin tài chính và tuân thủ các chuẩn mực quốc tế.
Bên cạnh đó, các đặc điểm doanh nghiệp như: quy mô công ty (SIZE) và tuổi đời doanh nghiệp (AGE) đều có tác động tích cực đến mức độ thông tin của giá cổ phiếu. Hệ số của SIZE là 0.0015 (p-value < 0.05) và AGE là 0.0189 (p-value < 0.1) trong mô hình FE, cho thấy rằng các công ty lớn hơn và hoạt động lâu năm có xu hướng công bố thông tin một cách đầy đủ và đáng tin cậy hơn, từ đó giúp giá cổ phiếu phản ánh chính xác hơn giá trị nội tại của doanh nghiệp.
Đáng chú ý, quyền sở hữu của ban lãnh đạo (MON) có tác động tiêu cực và có ý nghĩa thống kê đến mức độ thông tin của giá cổ phiếu. Hệ số của MON là -0.7537 (p-value < 0.05) trong mô hình FE và -0.7420 (p-value < 0.1) trong mô hình Robust FE. Điều này hàm ý rằng, khi ban lãnh đạo nắm giữ tỷ lệ cổ phần lớn hơn, họ có thể sử dụng lợi thế thông tin nội bộ để trì hoãn hoặc hạn chế việc công bố thông tin bất lợi, từ đó làm giảm tính minh bạch của thị trường. Ngược lại, biến đòn bẩy tài chính (LEV) có hệ số âm nhưng không có ý nghĩa thống kê trong cả 2 mô hình.
KẾT LUẬN
Kết quả phân tích định lượng đã chứng minh rằng, chất lượng lợi nhuận cao có ảnh hưởng tích cực và có ý nghĩa thống kê đến mức độ thông tin được phản ánh trong giá cổ phiếu. Điều này hàm ý rằng, khi các doanh nghiệp cung cấp báo cáo tài chính đáng tin cậy và ít bị bóp méo, thị trường có khả năng đánh giá chính xác hơn tình hình tài chính và triển vọng của doanh nghiệp. Ngoài ra, nghiên cứu cũng cho thấy, sở hữu nước ngoài có vai trò tích cực trong việc tăng cường mức độ minh bạch thông tin, trong khi tỷ lệ sở hữu của ban lãnh đạo lại có xu hướng làm suy giảm tính minh bạch này, có thể do động cơ che giấu thông tin nội bộ. Từ đó, đặt ra các khuyến nghị chính sách quan trọng nhằm nâng cao tính minh bạch và hiệu quả thông tin trên thị trường như: (1) Nâng cao chất lượng lợi nhuận kế toán thông qua cải tiến chuẩn mực và thực hành báo cáo tài chính; (2) Tăng cường vai trò giám sát và chế tài của cơ quan quản lý thị trường; (3) Phát huy vai trò của đầu tư nước ngoài như một lực đẩy cho tính minh bạch thị trường; (4) Cải thiện cấu trúc sở hữu và tăng cường tính độc lập trong quản trị doanh nghiệp; (5) Thiết lập các chương trình hỗ trợ đào tạo và tư vấn doanh nghiệp trong công bố thông tin.
Nghiên cứu đóng góp vào kho tàng học thuật theo 3 khía cạnh chính:
Thứ nhất, nghiên cứu mở rộng lý thuyết bất cân xứng thông tin, lý thuyết thị trường hiệu quả và lý thuyết đại diện bằng cách kiểm định tác động của EQ đến mức độ thông tin trong giá cổ phiếu – một chỉ số gián tiếp của hiệu quả thông tin thị trường.
Thứ hai, nghiên cứu bổ sung bằng chứng thực nghiệm cho bối cảnh thị trường mới nổi – nơi mà các yếu tố như tính minh bạch, hành vi quản trị lợi nhuận, và mức độ phản ánh thông tin vẫn còn nhiều hạn chế.
Thứ ba, bằng việc áp dụng đồng thời hai mô hình đo lường được quốc tế công nhận, nghiên cứu nâng cao tính tin cậy và khả năng so sánh quốc tế.
Nghiên cứu cũng mở ra hướng đi cho các nghiên cứu trong tương lai, bao gồm việc xem xét mối quan hệ giữa chất lượng lợi nhuận và phản ứng của nhà đầu tư trong các giai đoạn khủng hoảng khác nhau, hoặc mở rộng phân tích sang các thị trường cận biên và thị trường phát triển để so sánh tính tương thích về hành vi tài chính và chất lượng thông tin kế toán.
* Nghiên cứu này được tài trợ thuộc đề tài mã số NEU2-2024.07 của Đại học Kinh tế Quốc dân.
Tài liệu tham khảo
1. Bhattacharya, N., Desai, H., and Venkataraman, K. (2013). Does earnings quality affect information asymmetry? Evidence from trading costs, Contemporary Accounting Research, 30(2), 482–516.
2. Dasgupta, S., Gan, J., and Gao, N. (2010). Transparency, price informativeness, and stock return synchronicity: Theory and evidence, Journal of Financial and Quantitative Analysis, 45(5), 1189–1220.
3. Dechow, P. M., Ge, W., and Schrand, C. (2010). Understanding earnings quality: A review of the proxies, their determinants and their consequences, Journal of Accounting and Economics, 50(2–3), 344–401.
4. Hutton, A. P., Marcus, A. J., and Tehranian, H. (2009). Opaque financial reports, R², and crash risk, Journal of Financial Economics, 94(1), 67–86.
5. Jensen, M. C., and Meckling, W. H. (1976). Theory of the firm: Managerial behavior, agency costs and ownership structure, Journal of Financial Economics, 3(4), 305–360.
6. Jin, L., and Myers, S. C. (2006). R² around the world: New theory and new tests, Journal of Financial Economics, 79(2), 257–292.
7. Johnston, J. A. (2009). Accruals quality and price synchronicity (Doctoral dissertation), Louisiana State University.
8. McNichols, M. F. (2002). Discussion of the quality of accruals and earnings: The role of accrual estimation errors, The Accounting Review, 77(s-1), 61–69.
9. Morck, R., Yeung, B., and Yu, W. (2000). The information content of stock markets: Why do emerging markets have synchronous stock price movements? Journal of Financial Economics, 58(1–2), 215–260.
10. Trueman, B., and Titman, S. (1988). An explanation for accounting income smoothing, Journal of Accounting Research, 26, 127–139.
| Ngày nhận bài: 28/5/2025; Ngày hoàn thiện biên tập: 12/6/2025; Ngày duyệt đăng: 19/6/2025 |



Bình luận