Các nhân tố tác động đến kết quả kinh doanh của các doanh nghiệp lữ hành tại TP. Hồ Chí Minh
ThS. Lê Ngọc Hải
Trường Đại học Nguyễn Tất Thành
Tóm tắt
Thông qua kết quả khảo sát đối với 315 doanh nghiệp lữ hành trên địa bàn TP. Hồ Chí Minh, nghiên cứu nhằm xác định các nhân tố tác động đến kết quả kinh doanh của các doanh nghiệp lữ hành. Kết quả nghiên cứu cho thấy, Năng lực lãnh đạo, Học tập tổ chức, Năng lực hấp thu, Vốn xã hội vừa có tác động trực tiếp đến Năng lực đổi mới, vừa có tác động đến Kết quả kinh doanh, vừa có tác động gián tiếp đến Kết quả kinh doanh qua trung gian Năng lực đổi mới. Đồng thời, Năng lực đổi mới có tác động trực tiếp đến Kết quả kinh doanh. Kết quả nghiên cứu này sẽ giúp cho các nhà quản trị cấp cao tại các doanh nghiệp lữ hành nhìn nhận lại cách điều hành của mình trước đây và so sánh chọn lọc những nhân tố phù hợp để từ xây dựng mục tiêu về kết quả kinh doanh được hoàn thiện và tốt hơn.
Từ khóa: năng lực lãnh đạo, kết quả kinh doanh, tác động, nhân tố, doanh nghiệp lữ hành, TP. Hồ Chí Minh
GIỚI THIỆU
Có thể nói, đại dịch Covid-19 đã tác động mạnh mẽ đến tất cả các ngành, nghề, lĩnh vực và trong đó tất cả các doanh nghiệp trong ngành du lịch cũng bị ảnh hưởng nặng nề. Mặc dù đã có nhiều biện pháp để phục hồi hoạt động của ngành du lịch, nhưng qua thực tế cho thấy, các doanh nghiệp trong ngành du lịch và trong đó những doanh nghiệp lữ hành nhỏ và vừa cũng bị ảnh hưởng trực tiếp và nặng nề nhất do giãn cách xã hội và phong tỏa. Để có thể tồn tại, sau đại dịch Covid-19, nhiều doanh nghiệp lữ hành đã tự thay đổi ngành, nghề khác để kinh doanh hoặc tạm thời ngưng hoạt động. Do đó, việc nghiên cứu chủ đề “Tác động của các nhân tố đến kết quả kinh doanh của các doanh nghiệp lữ hành tại TP. Hồ Chí Minh” là vấn đề cấp thiết hiện nay, nhằm giúp các doanh nghiệp lữ hành trên địa bàn TP. Hồ Chí Minh có thể khôi phục lại hoạt động sau đại dịch Covid-19, cũng như nâng cao hiệu quả kinh doanh, hướng tới phát triển mạnh mẽ, đóng góp lớn cho ngành du lịch (Bài viết sử dụng cách viết số thập phân theo chuẩn quốc tế).
CƠ SỞ LÝ THUYẾT VÀ PHƯƠNG PHÁP NGHIÊN CỨU
Cơ sở lý thuyết
Năng lực động
Laaksonen và Peltoniemi (2018) cho rằng, các năng lực động tương đối giống nhau giữa các công ty và mô tả chúng thông qua nhiều ví dụ khác nhau về các hoạt động cụ thể, chẳng hạn như cách giao tiếp trong tổ chức, quản lý nghiên cứu và phát triển. Tuy nhiên, khi áp dụng cho câu hỏi đo lường thực nghiệm các năng lực động thì một công ty cần phải có phương pháp, quy trình hoặc phương pháp thực hành tốt nhất.
Năng lực động và kết quả kinh doanh
Nghiên cứu năng lực động nhằm giải thích về các nguồn tạo lợi thế cạnh tranh (Teece, 2007). Điều này có nghĩa, kết quả kinh doanh của công ty là thành phần chính của lý thuyết và thường được coi là mục tiêu cuối cùng của năng lực động. Năng lực động làm thay đổi năng lực thông thường hoặc cơ sở nguồn lực của công ty và sự thay đổi này cuối cùng có thể tạo ra kết quả kinh doanh của công ty. Do đó, năng lực động không thể giải thích kết quả kinh doanh doanh, mà thay vào đó là tạo ra kết quả kinh doanh.
Lãnh đạo
Lãnh đạo được định nghĩa là một quá trình có ảnh hưởng trong đó các nhà lãnh đạo trao quyền cho cấp dưới của họ và tạo điều kiện cho một nhóm hoặc một tổ chức thành công (Northouse, 2018). Qua nhiều thập kỷ, sự phát triển của lĩnh vực này được đánh dấu bằng sự xuất hiện của một số lý thuyết về lãnh đạo. Lý thuyết đặc điểm là lý thuyết sớm nhất về năng lực lãnh đạo, trong đó giả định rằng, các nhà lãnh đạo hiệu quả có được những tính cách và đặc tính bẩm sinh cụ thể (Stogdill, 1948).
Trong nghiên cứu của Mai và Do (2023) cho rằng, năng lực lãnh đạo chia thành: năng lực định hướng kết quả, năng lực nhận thức và năng lực giao tiếp cá nhân. Kết quả nghiên cứu cũng cho thấy, năng lực định hướng kết quả, năng lực nhận thức và năng lực giao tiếp cá nhân có tác động vào kết quả kinh doanh của tổ chức. Hơn nữa, Schweitzer (2014) đã chứng minh, năng lực lãnh đạo hay lãnh đạo có tác động vào năng lực đổi mới. Do đó, tác giả nhận định rằng, lãnh đạo hay năng lực lãnh đạo vừa có tác động trực tiếp vào kết quả kinh doanh vừa có tác động vào năng lực đổi mới; từ đó suy ra rằng, năng lực lãnh đạo có tác động gián tiếp vào kết quả qua trung gian năng lực đổi mới.
Học tập tổ chức
Học tập tổ chức được định nghĩa là một quá trình thu thập kiến thức mới, từ đó ảnh hưởng đến kết quả của cá nhân và tổ chức (Huber, 1991). March (1991) mô tả rằng, học tập tổ chức là việc khai thác và khám phá kiến thức. Huber (1991) cho rằng, việc học tập tổ chức liên quan đến việc thu thập, phân phối, giải thích và lưu trữ thông tin từ nhiều nguồn khác nhau. Song song đó, Camarero và Garrido (2010) đã chứng minh, học tập tổ chức vừa có tác động vào kết quả kinh doanh vừa có tác động vào sự đổi mới. Do đó, học tập tổ chức vừa có tác động vào năng lực đổi mới vừa có tác động vào kết quả kinh doanh; từ đó học tập tổ chức có tác động gián tiếp vào kết quả kinh doanh qua trung gian năng lực đổi mới.
Năng lực hấp thụ
Năng lực hấp thu được biết đến như một công cụ hữu hiệu để thu được kiến thức bên ngoài. Bằng cách khai thác kiến thức bên ngoài, một công ty có thể cung cấp nhiều giá trị gia tăng hơn cho khách hàng và nâng cao khả năng cạnh tranh. Năng lực hấp thu là “khả năng của một công ty trong việc đánh giá, tiếp thu và áp dụng kiến thức từ các nguồn bên ngoài cho mục đích thương mại”. Ngoài ra, năng lực hấp thu là “một tập hợp các hoạt động và quy trình tổ chức và qua đó các công ty thu thập, tiếp thu, chuyển đổi và khai thác kiến thức để tạo ra năng lực tổ chức động. Năng lực hấp thu có tác động vào năng lực đổi mới và có tác động gián tiếp vào kết quả kinh doanh qua trung gian năng lực đổi mới (Phuong và cộng sự, 2022).
Hơn nữa, Nindhita và cộng sự (2022) đã cho thấy rõ, năng lực hấp thu có tác động trực tiếo có ý nghĩa vào kết quả kinh doanh. Từ đó, có thể kết quả rằng năng lực hấp thu có tác động vừa trực tiếp vào năng lực đổi mới vừa vào kết quả kinh doanh và sau cùng là năng lực hấp thu có tác động gián tiếp vào kết quả kinh doanh qua trung gian năng lực đổi mới.
Vốn xã hội
Vốn xã hội, hay “Tổng nguồn lực tích lũy cho một cá nhân hoặc một nhóm nhờ sở hữu các mối quan hệ quen biết và công nhận lẫn nhau” (Manev và cộng sự, 2005). Ngoài ra, vốn xã hội đề cập đến khả năng tiếp cận và huy động các nguồn lực thông qua các kết nối xã hội (Manev và cộng sự, 2005). Hơn nữa, Purwati và cộng sự (2021) đã kết luận rằng, vốn xã hội vừa có tác động trực tiếp vào kết quả kinh doanh vừa vào năng lực đổi mới và sau cùng vốn xã hội có tác động gián tiếp vào kết quả kinh doanh qua trung gian năng lực đổi mới. Từ đó, vốn xã hội được nhận định vừa tác động trực tiếp vào kết quả kinh doanh vừa tác động trực tiếp vào năng lực đổi mới và sau cùng vốn xã hội có có tác động gián tiếp vào kết quả kinh doanh qua trung gian năng lực đổi mới.
Năng lực đổi mới
Năng lực đổi mới là khả năng của tổ chức trong việc tạo ra những ý tưởng mới, tận dụng các cơ hội và tối ưu hóa khả năng đổi mới. Năng lực đổi mới cũng được coi là khả năng của một công ty khai thác kiến thức của mình để đạt được hiệu quả đổi mới bằng cách cung cấp sản phẩm/dịch vụ, quy trình và hệ thống mới (Phuong và cộng sự, 2022). Nếu một tổ chức có được năng lực đổi mới, tổ chức đó sẽ liên tục đưa ý tưởng của mình vào những điều mới và mang lại nhiều giá trị hơn cho các bên liên quan. Năng lực đổi mới bao gồm cả quy trình và kết quả tạo ra sản phẩm/dịch vụ có giá trị gia tăng. Đối với các tổ chức dịch vụ, năng lực đổi mới cho phép một công ty khai thác các nguồn lực để đạt được cả tính đổi mới về sản phẩm và quy trình và có tác động trực tiếp vào kết quả kinh doanh trong nghiên cứu của mình.
Các giả thuyết nghiên cứu
Qua phân tích các cơ sở lý thuyết, năng lực lãnh đạo (năng lực định hướng kết quả, năng lực nhận thức và năng lực giao tiếp cá nhân), học tập tổ chức, năng lực hấp thu, vốn xã hội có tác động trực tiếp và gián tiếp vào kết quả kinh doanh thông qua trung gian năng lực đổi mới, từ đó tác giả đề xuất các giả thuyết nghiên cứu sau:
H1: Năng lực lãnh đạo (năng lực định hướng kết quả, năng lực nhận thức và năng lực giao tiếp cá nhân) vừa có tác động trực tiếp đến Năng lực đổi mới (H1a); vừa có tác động đến Kết quả kinh doanh (H1b); vừa có tác động gián tiếp đến Kết quả kinh doanh qua trung gian Năng lực đổi mới (H1c).
H2: Học tập tổ chức có tác động vừa trực tiếp đến Năng lực đổi mới (H2a); vừa có tác động trực tiếp đến Kết quả kinh doanh (H2b); vừa có tác động gián tiếp đến Kết quả kinh doanh qua trung gian Năng lực đổi mới (H2c).
H3: Năng lực hấp thu có tác động vừa trực tiếp đến Năng lực đổi mới (H3a); vừa có tác động trực tiếp đến Kết quả kinh doanh (H3b); vừa có tác động gián tiếp đến Kết quả kinh doanh qua trung gian Năng lực đổi mới (H3c)
H4: Vốn xã hội có tác động vừa trực tiếp đến Năng lực đổi mới (H4a); vừa có tác động trực tiếp vào Kết quả kinh doanh (H4b); vừa có tác động gián tiếp đến Kết quả kinh doanh qua trung gian Năng lực đổi mới (H4c).
H5: Năng lực đổi mới có tác động trực tiếp đến Kết quả kinh doanh.
Mô hình nghiên cứu đề xuất
Từ các giả thuyết nói trên, tác giả đề xuất mô hình nghiên cứu như Hình 1.
Hình 1: Mô hình nghiên cứu đề xuất
![]() |
| Nguồn: Tác giả xây dựng |
Phương pháp nghiên cứu
Dữ liệu nghiên cứu được thu thập trực tiếp và online từ ngày 01/4/2024 đến ngày 20/05/2024 từ các doanh nghiệp lữ hành trên địa bàn TP. Hồ Chí Minh. Dữ liệu nghiên cứu gồm 315 mẫu, được xử lý bằng phần mềm SPSS. Nghiên cứu sử dụng phân tích nhân tố khẳng định (CFA) và phân tích mô hình SEM để kiểm định 13 giả thuyết trong mô hình nghiên cứu.
KẾT QUẢ NGHIÊN CỨU
Kiểm định CFA
Qua kiểm định CFA cho thấy, 6 thành phần gồm: Năng lực lãnh đạo (Năng lực định hướng kết quả, Năng lực nhận thức và Năng lực giao tiếp cá nhân), Học tập tổ chức, Năng lực hấp thu, Vốn xã hội, Năng lực đổi mới, Kết quả kinh doanh có kết quả đều thỏa mãn các điều kiện, cụ thể: TLI = 0.982; CFI = 0.984; NFI = 0.937; RMSEA = 0.032 < 0.05; CMIN/df = 1.325 < 5 (Hình 2). Vì vậy, cho thấy mô hình đo lường phù hợp với dữ liệu thực tế.
Hình 2: Phân tích mô hình CFA
![]() |
| Nguồn: Tác giả tổng hợp từ AMOS |
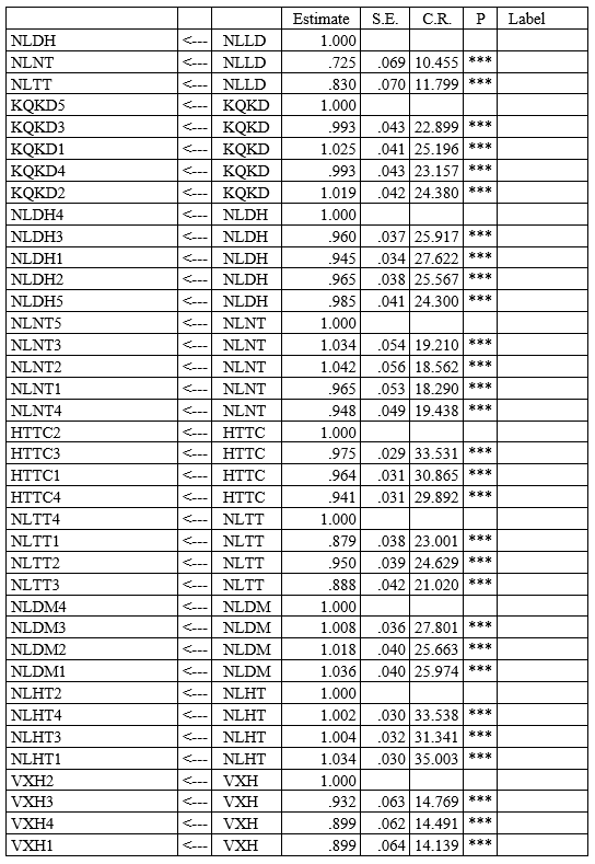
Bảng 1: Kết quả phân tích nhân tố khẳng định (CFA)
![]() |
| Nguồn: Tác giả tổng hợp và phân tích từ phần mềm AMOS |
Kết quả ở Bảng 1 cho thấy, những giá trị của CR đều > 0.7, do đó, độ tin cậy thang đo được bảo đảm; tất cả giá trị AVE đều > 0.5, do đó tính hội tụ được bảo đảm; tất cả giá trị của MSV đều nhỏ hơn AVE, các giá trị SQRTAVE đều lớn hơn tất cả các tương quan giữa các cấu trúc (Inter-Construct Correlations).
Kết quả kiểm định SEM
Qua phân tích SEM ở Bảng 2 và Hình 3 cho thấy, hệ số đường dẫn của Năng lực lãnh đạo (β = 0.180; P = 0.014) có tác động đến Năng lực đổi mới (H1a); Năng lực lãnh đạo (β = 0.195; P = 0.028) có tác động đến Kết quả kinh doanh (H1b); Năng lực lãnh đạo (β = 0.027; P = 0.009) có tác động gián tiếp vào Kết quả kinh doanh qua trung gian Năng lực đổi mới (H1c). Học tập tổ chức (β = 0.125; P = 0.018) có tác động trực tiếp vào Năng lực đổi mới (H2a); Học tập tổ chức (β = 0.128; P = 0.046) có tác động trực tiếp vào Kết quả kinh doanh (H2b); Học tập tổ chức (β = 0.025; P = 0.025) có tác động gián tiếp vào Kết quả kinh doanh qua trung gian Năng lực đổi mới (H2c); Năng lực hấp thu (β = 0.143; P = 0.040) có tác động trực tiếp vào Năng lực đổi mới (H3a); Năng lực hấp thu (β = 0.282; P = 0.000) có tác động trực tiếp vào Kết quả kinh doanh (H3b); Năng lực hấp thu (β = 0.021; P = 0.018) có tác động gián tiếp vào Kết quả kinh doanh qua trung gian Năng lực đổi mới (H3c). Vốn xã hội (β = 0.163; P = 0.037) có tác động trực tiếp vào Năng lực đổi mới (H4a); Vốn xã hội (β = 0.210; P = 0.027) có tác động trực tiếp vào Kết quả kinh doanh (H4b); Vốn xã hội (β = 0.022; P = 0.020) có tác động gián tiếp vào Kết quả kinh doanh qua trung gian Năng lực đổi mới (H4c). Năng lực đổi mới (β = 0.222; P = 0.002) có tác động trực tiếp vào Kết quả kinh doanh (H5). Kết quả chấp nhận tất cả 13 giả thuyết: H1a, H1b, H1c, H2a, H2b, H2c, H3a, H3b, H3c, H4a, H4b, H4c và H5 đã đặt ra.
Bảng 2: Kết quả phân tích SEM
| Estimate | S.E. | C.R. | P | Label | |||
|---|---|---|---|---|---|---|---|
| NLDM | <--- | NLLD | .180 | .073 | 2.462 | .014 | par_30 |
| NLDM | <--- | HTTC | .125 | .053 | 2.366 | .018 | par_36 |
| NLDM | <--- | NLHT | .143 | .070 | 2.058 | .040 | par_37 |
| NLDM | <--- | VXH | .163 | .078 | 2.090 | .037 | par_38 |
| NLDH | <--- | NLLD | 1.000 | ||||
| NLNT | <--- | NLLD | .725 | .069 | 10.455 | *** | par_28 |
| NLTT | <--- | NLLD | .830 | .070 | 11.799 | *** | par_29 |
| KQKD | <--- | NLLD | .195 | .089 | 2.193 | .028 | par_31 |
| KQKD | <--- | NLDM | .222 | .073 | 3.049 | .002 | par_32 |
| KQKD | <--- | HTTC | .128 | .064 | 1.997 | .046 | par_33 |
| KQKD | <--- | NLHT | .282 | .085 | 3.323 | *** | par_34 |
| KQKD | <--- | VXH | .210 | .095 | 2.208 | .027 | par_35 |
Hình 3: Phân tích mô hình SEM
![]() |
| Nguồn: Tác giả tổng hợp và phân tích từ phần mềm AMOS |
KẾT LUẬN VÀ HÀM Ý QUẢN TRỊ
Kết luận
Kết quả nghiên cứu cho thấy, Năng lực lãnh đạo, Học tập tổ chức, Năng lực hấp thu, Vốn xã hội vừa có tác động trực tiếp đến Năng lực đổi mới, vừa có tác động đến Kết quả kinh doanh, vừa có tác động gián tiếp đến Kết quả kinh doanh qua trung gian Năng lực đổi mới. Đồng thời, Năng lực đổi mới có tác động trực tiếp đến Kết quả kinh doanh.
Hàm ý quản trị
Đối với tầm nhìn quản trị, doanh nghiệp lữ hành cần xác định rõ năng lực và thế mạnh của mình đang có từ đó tham gia tìm kiếm cơ hội tái sinh và phát triển thông qua các chương trình hổ trợ phát triển doanh nghiệp từ các chính sách nhà nước, quỹ đầu tư doanh nghiệp trong ngoài nước, hội thảo kết nối các đơn vị lữ hành…, từ đó hoạch định lại mục tiêu kinh doanh cụ thể trong trung hạn để tập trung phát triển. Song song cần tổ chức các chương trình đào tạo tư duy lãnh đạo, sáng tạo trong năng lực quản lý giúp đẩy nhanh hiệu quả kinh doanh. Ngoài ra, để không bị động trong các trường hợp rủi ro, doanh nghiệp cần mở rộng tìm hiểu thêm các kiến thức đa lĩnh vực, trong đó nổi trội là tính ứng dụng công nghệ trong môi trường số ngày nay, để tự nâng cao năng lực đổi mới và thích ứng.
Để tối ưu các nhân tố tác động đến kết quả kinh doanh, doanh nghiệp phải thực hiện đổi mới có quy trình, cần được đánh giá thường xuyên nhằm phát hiện nhanh chóng những vấn đề sai sót trong khi vận hành, đưa ra các phương án khắc phục, thay đổi phù hợp với bối cảnh năng lực có giới hạn của cá nhân và doanh nghiệp./.
Tài liệu tham khảo
1. Camarero, C., Garrido, M. (2010), Assessing the impact of organizational learning and innovation on performance in cultural organizations, International Journal of Nonprofit and Voluntary Sector Marketing, 15(3), 215-232.
2. Huber, G. P. (1991), Organizational Learning: The Contributing Processes and the Literatures, Organization Science, 2(1), 88–115.
3. March, J. G. (1991), Exploration and Exploitation in Organizational Learning, Organization Science, 2(1), 71–87.
4. Mai, N. K., Do, T. T. (2023), The role of leadership and organizational learning in fostering high performance of tourism firms in Vietnam, Cogent Business and Management, 10(1), 1-25.
5. Laaksonen, O., Peltoniemi, M. (2018), The Essence of Dynamic Capabilities and their Measurement. International Journal of Management Reviews, 20(2), 184-205.
6. Manev, I. M., Gyoshev, B. S., Manolova, T. S. (2005), The role of human and social capital and entrepreneurial orientation for small business performance in a transitional economy, International Journal of Entrepreneurship and Innovation Management, 5(3-4), 298-318, https://doi.org/10.1504/ijeim.2005.006531.
7. Northouse, P. G. (2018), Leadership: Theory and practice (8th ed.), Thousand Oaks, Sage Publications.
8. Nindhita, Y., Subekt, H., Musfiyana, R., Lestari, S. (2022), Analysis of the Effect of Information Technology Development, Absorbility Capacity on MSMe Business Performance, Journal of Economics, Finance and Management Studies, 5(11), 3165-3171, https://doi.org/10.47191/jefms/v5-i11-06.
9. Phuong, L. N., Tuan, K. C., Duc, N. N., Thi, U. N. (2022), The Impact of Absorption Capability, Innovation Capability, and Branding Capability on Firm Performance—An Empirical Study on Vietnamese Retail Firms, Sustainability (Switzerland), 14(11), 1–17.
10. Purwati, A. A., Budiyanto, Suhermin, Hamzah, M. L. (2021), The effect of innovation capability on business performance: the role of social capital and entrepreneurial leadership on smes in indonesia, Accounting, 7(2), 323 – 330, https://doi.org/10.5267/j.ac.2020.11.021.
11. Schweitzer, J. (2014), Leadership and innovation capability development in strategic alliances, Leadership and Organization Development Journal, 35(5), 442-469.
12. Stogdill, R. M. (1948), Personal factors associated with leadership; a survey of the literature, The Journal of Psychology: Interdisciplinary and Applied, 25(1), 35–71.
13. Schweitzer, J. (2014), Leadership and innovation capability development in strategic alliances, Leadership and Organization Development Journal, 35(5), 442–469, https://doi.org/10.1108/LODJ-01-12-0001.
14. Teece, D.J. (2007), Explicating dynamic capabilities: the nature and microfoundations of (sustainable) enterprise performance, Strategic Management Journal, 28, 1319-1350.
| Ngày nhận bài: 06/8/2024; Ngày phản biện: 08/8/2024; Ngày duyệt đăng: 16/8/2024 |





Bình luận