Tăng trưởng, thất nghiệp, lạm phát: Chính sách điều tiết của Hoa Kỳ, kết quả và một số hàm ý
TS. Đậu Hương Nam
Học viện Chính trị Quốc gia Hồ Chí Minh
Tóm tắt
Phản ứng trước những thách thức kinh tế giai đoạn hậu Covid-19 và trước các diễn biến kinh tế, địa chính trị phức tạp thời gian qua, Hoa Kỳ đã có những hành động quyết liệt trong điều hành chính sách tiền tệ và điều đó đã có những tác động tích cực lên kinh tế vĩ mô của Hoa Kỳ. Tuy nhiên, phân tích kỹ hơn các khía cạnh tăng trưởng, thất nghiệp và lạm phát, có thể thấy kinh tế Hoa Kỳ vẫn tiềm ẩn nhiều rủi ro và Hoa Kỳ vẫn còn tiếp tục giải bài toán kép tăng trưởng kinh tế, kiềm chế lạm phát.
Từ khóa: chính sách tiền tệ, lãi suất điều hành FED, tăng trưởng, lạm phát, thất nghiệp, bài toán kép, rủi ro đình lạm
Summary
Confronting economic challenges following the Covid-19 and the world’s complicated economic and geopolitical developments, the US has conducted solid actions regarding monetary policy and has yielded positive feedback. However, an investigation into macroeconomic aspects including growth, unemployment, and inflation indicates that the US is still facing recovery risks and has to continue to fight against the double-problem of boosting the growth and curbing the inflation.
Keywords: monetary policy, FED rate, growth, inflation, unemployment, double-problem, stagflation risk
GIỚI THIỆU
Là nền kinh tế lớn nhất thế giới, kinh tế Hoa Kỳ có quan trọng đến kinh tế thế giới và các quốc gia. Do vậy, diễn biến kinh tế Hoa Kỳ là một căn cứ quan trọng để các quốc gia đưa ra những phản ứng chính sách của mình. Bài viết phân tích chính sách điều tiết của Hoa Kỳ, cùng những tác động của chính sách này lên tăng trưởng, thất nghiệp, lạm phát và một số hàm ý cho cả Hoa Kỳ và Việt Nam – đối tác thương mại lớn của Hoa Kỳ. Nghiên cứu sử dụng cách viết số thập phân theo chuẩn quốc tế.
BIẾN ĐỘNG KINH TẾ VĨ MÔ HOA KỲ GIAI ĐOẠN VỪA QUA
Những năm gần đây, bối cảnh chung kinh tế toàn cầu diễn biến phức tạp, với sự bùng nổ của dịch Covid-19, cùng với những diễn biến địa chính trị phức tạp như: căng thẳng trong quan hệ giữa các nước lớn, xung đột Nga - Ukraine và các xung đột quân sự gần đây tại khu vực Trung Đông. Những diễn biến đó đã gây đứt gãy chuỗi cung ứng toàn cầu, làm rối loạn không gian thông tin vĩ mô, từ đó tạo nên sai lệch trong các tính toán và sắp xếp chính sách thuần kinh tế, khiến cho các bài toán kinh tế trở nên đa biến và khó dự báo hơn (Vuong, 2023). Hệ quả chung là đà phục hồi tăng trưởng của các quốc gia nói chung bị hạn chế.
Song song với tình hình chung của thế giới, thời gian qua, kinh tế Hoa Kỳ cũng đã trải qua những diễn biến phức tạp, khó khăn. Giai đoạn đầu của dịch Covid-19, sau cú sốc vào quý 3/2020, với các gói kích thích kinh tế và các giải pháp tổng thể kịp thời, kinh tế Hoa Kỳ có dấu hiệu ổn định hơn. Tuy nhiên đến quý 1 và quý 2/2022, kinh tế Hoa Kỳ lại chứng kiến tăng trưởng âm và tiếp theo đấy là giai đoạn tăng trưởng chậm hơn một cách tương đối, xung quanh mức tăng trưởng giai đoạn trước dịch (Hình 1). Việc nền kinh tế tăng trưởng ở mức khiêm tốn (2.5%-2.7% quy đổi theo tăng trưởng năm) trong các quý tiếp theo (quý 3 và 4/2022, quý 1 và 2/2023) ngay sau 2 quý tăng trưởng âm cho thấy, sức bật và các động lực tăng trưởng của nền kinh tế Hoa Kỳ giai đoạn này tương đối hạn chế.
Hình 1: Tăng trưởng GDP Hoa Kỳ từ quý 4/2015 đến quý 1/2024
![]() |
| Nguồn: Bureau of Economic Analysis [1] |
Đối với thất nghiệp, Hình 2 cho thấy, sau khi cú sốc đại dịch Covid-19 nổ ra làm tỷ lệ thất nghiệp tăng phi mã lên trên 14%, thì từ đầu năm 2022, tỷ lệ thất nghiệp đã giảm về mức trước dịch (4%) và điều đáng quan tâm là, tỷ lệ thất nghiệp giữ tương đối ổn định xung quanh mức đó cho đến nay. Đây là kết quả của các chính sách điều tiết của Hoa Kỳ giai đoạn đầu dịch, mà nổi bật là các gói chính sách tài khóa, hỗ trợ kích thích kinh tế, đồng thời cố định lãi suất điều hành.
Hình 2: Tỷ lệ thất nghiệp Hoa Kỳ giai đoạn 2019-2024
![]() |
| Nguồn: Federal Reserve Bank of St. Louis [2] |
Trong khi tăng trưởng gặp nhiều thách thức, thất nghiệp tương đối ổn định, thì tình trạng lạm phát của Hoa Kỳ diễn biến tương đối phức tạp. Hình 3 thể hiện về biến động CPI Hoa Kỳ giai đoạn 2016-2024. Có thể thấy, lạm phát của Hoa Kỳ giảm xuống mức thấp nhất đầu năm 2020 (quý 1 và đầu quý 2), ngay trước khi đại dịch Covid-19 nổ ra, phù hợp với mức tăng trưởng âm mà nền kinh tế Hoa Kỳ chứng kiến trong cùng thời gian 2 quý này và phù hợp với phản ứng chính sách đưa lãi suất điều hành về neo ở mức thấp 0.25% của FED trong cùng giai đoạn. Sau thời điểm này, khi địch Covid-19 nổ ra và diễn biến phức tạp, cùng với đó là các gói kích cầu lớn của Chính phủ Hoa Kỳ, lạm phát đã liên tục tăng và đạt đỉnh ở mức xấp xỉ 9% vào giữa năm 2022.
Hình 3: Biến động CPI Hoa Kỳ giai đoạn 2016-2024
![]() |
| Nguồn: US Bureau of Labor Statistics [3] |
Với những diễn biến trên, đã có những dự báo về rủi ro kép đình - lạm (đình trệ kinh tế xảy ra đồng thời với lạm phát) xảy ra (Mott, 2024). Do đó, khi Covid-19 đã cơ bản được kiểm soát, Hoa Kỳ bước vào giai đoạn quyết liệt giải quyết các khó khăn kinh tế, mà cụ thể là giải quyết bài toán kép: phục hồi tăng trưởng kinh tế và đồng thời kiềm chế lạm phát. Đối với tăng trưởng kinh tế, như nhận định ở trên, động lực kinh tế không thể hiện được sức mạnh và vai trò rõ nét đối với nền kinh tế, tăng trưởng có thể đến chủ yếu từ các chính sách tăng cung tiền và neo lãi suất điều hành ở mức thấp trong suốt thời gian nửa đầu của dịch (0.25% từ Q2/2020-Q1/2022). Hai gói chính sách lớn này cũng là một nguyên nhân quan trọng đằng sau rủi ro lạm phát (dư cung tiền).
CHÍNH SÁCH ĐIỀU TIẾT CỦA HOA KỲ VÀ MỘT SỐ KẾT QUẢ
Một số lý thuyết kinh tế
Phần này trình bày một số lý thuyết kinh tế về mối quan hệ giữa sản lượng, lạm phát, thất nghiệp… là cơ sở cho các phân tích kinh tế và chỉ dẫn đối với chính sách điều tiết ở Hoa Kỳ. Kinh tế học Keynes và lý thuyết về đường cong Phillips (Blanchard và Johnson, 2013) tóm tắt về mối quan hệ giữa lạm phát và thất nghiệp (sản lượng) như sau:
![]() |
Trong đó, π và πe lần lượt là lạm phát và lạm phát kỳ vọng; u và un là tỷ lệ thất nghiệp và tỷ lệ thất nghiệp tự nhiên; ϑ thể hiện tất cả những yếu tố còn lại có thể có mối quan hệ với lạm phát.
Đây là phương trình tổng quát hơn của đường cong Phillips cổ điển, trong đó thuần túy thể hiện mối quan hệ âm giữa lạm phát và thất nghiệp trong ngắn hạn. Đường cong Phillips cổ điển là trường hợp đặc biệt của phương trình này, khi lạm phát kỳ vọng bằng 0 (πte=0), nghĩa là mức giá kỳ vọng năm tới chính là giá hiện hành năm nay. Mối quan hệ âm thuần túy đấy đã được Phillips kiểm chứng với dữ liệu của Vương quốc Anh (Phillips, 1958) và Hoa Kỳ trước năm 1960 (Samuelson và Solow, 1960). Có thể hiểu rằng, với kỳ vọng giá chính là giá hiện hành, tỷ lệ thất nghiệp thấp hơn dẫn đến lương danh nghĩa cao hơn và do vậy dẫn đến mức giá cao hơn trong giai đoạn tiếp theo.
Tuy nhiên, giả định lạm phát kỳ vọng bằng 0, hay kỳ vọng rằng mức giá năm sau sẽ không đổi so với năm nay là một giả định tương đối “giản đơn” và không chính xác. Dữ liệu lạm phát của Hoa Kỳ từ thập niện 1970 đến nay cho thấy, khác với các giai đoạn trước (dữ liệu được sử dụng cho nghiên cứu đề xuất đường cong Phillips), lạm phát Hoa Kỳ thường xuyên ở mức dương. Khi lạm phát kỳ vọng πte > 0 (và thường được giả định là được xác định dựa trên lạm phát của kỳ trước πte = θπt-1, trong đó θ là một hệ số dương nào đó), nghĩa là kỳ vọng rằng mức giá năm sau sẽ cao hơn mức giá hiện hành, cả giới chủ doanh nghiệp và người lao động đều ý thức điều đó, do vậy kỳ vọng đó phải được phản ánh vào kế hoạch lương hiện hành. Đó là cơ chế để lạm phát kỳ vọng tác động đến lạm phát hiện hành và thay đổi mối quan hệ giữa thất nghiệp và lạm phát cổ điển. Vai trò của lạm phát kỳ vọng đối với đường cong Phillips và mối quan hệ giữa thất nghiệp - lạm phát được củng cố bởi các nghiên cứu gần đây (Blanchard, 2016).
Và với giả định πte = θπt-1, khi θ = 1, nghĩa là πte = πt-1, lạm phát kỳ vọng có thể được xấp xỉ bởi lạm phát thời kỳ trước, phương trình (1) có thể được viết lại như sau:
![]() |
Phương trình (2) thể hiện mối quan hệ trong biến động lạm phát giữa các thời kỳ là (πt - πt-1) và thất nghiệp (thực tế và tự nhiên). Như vậy, phương trình (1) và (2) cũng thể hiện một cách hiểu mới, bao quát hơn đối với đường cong Phillips. Theo đó, bên cạnh mối quan hệ giữa lạm phát và kỳ vọng, nó cũng thể hiện mối quan hệ giữa lạm phát với thất nghiệp thực tế, cũng như thất nghiệp tự nhiên và các yếu tố khác. Trong dài hạn, khi tỷ lệ thất nghiệp thực tế hội tụ về tỷ lệ thất nghiệp tự nhiên (ut = un), biến động trong lạm phát do biến động trong thất nghiệp triệt tiêu, theo đó mối quan hệ giữa lạm phát và thất nghiệp cũng triệt tiêu. Trong trường hợp này, tỷ lệ thất nghiệp tự nhiên còn được định nghĩa là tỷ lệ thất nghiệp mà tại đó, lạm phát là một hằng số (NAIRU).
Lạm sát kỳ vọng và tỷ lệ thất nghiệp tự nhiên là 2 trong số những yếu tố quan trọng giải thích mối quan hệ giữa lạm phát - thất nghiệp có thể không tồn tại như trong thập niên 1970. Như vậy “đình - lạm” – lạm phát và đình trệ kinh tế (thất nghiệp ở mức cao) đồng thời – có thể xảy ra. Tất nhiên, lý thuyết NAIRU phân mối quan hệ lạm phát - thất nghiệp thành ngắn hạn và dài hạn: trong dài hạn, khi thất nghiệp thực tế hội tụ về mức thất nghiệp tự nhiên, thì mối quan hệ trên không tồn tại; tuy nhiên trong ngắn hạn, đường cong Phillips với đánh đổi lạm phát - thất nghiệp vẫn tồn tại. Các nghiên cứu gần đây như: Blanchard (2016), Czudaj (2024)… cũng đã khảo sát kỹ hơn các khía cạnh của mối quan hệ này.
Về mối quan hệ giữa sản lương và thất nghiệp, định luật Okun (Abel và Bernanke, 2005) đưa ra chỉ dẫn về mối quan hệ này.
![]() |
Trong đó: Y là sản lượng thực tế; Ȳ là sản lượng tiềm năng; u là tỷ lệ thất nghiệp thực tế và u̅ là tỷ lệ thất nghiệp tự nhiên. Như vậy, thất nghiệp và sản lượng cũng có mối quan hệ ngược chiều; thất nghiệp tăng sẽ làm giảm sản lượng.
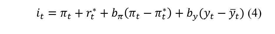
Tương thích với các lý thuyết cơ bản trên về mối quan hệ giữa lạm phát, tăng trưởng, thất nghiệp, quy tắc Taylor (Taylor, 1993) đưa ra những chỉ dẫn về chính sách tiền tệ để đạt được những mục tiêu chính sách về lạm phát và sản lượng (tăng trưởng):
![]() |
Trong đó, it là lãi suất chính sách mục tiêu ngắn hạn (ví dụ lãi suất điều hành của FED), πt, πt* lần lượt là lạm phát thực tế hiện hành và lạm phát mục tiêu; Yt, Ȳt lần lượt là logarit tự nhiên của sản lượng thực tế và sản lượng tiềm năng; rt* là lãi suất cân bằng hay “lãi suất tự nhiên”.
Như vậy, theo quy tắc Taylor, đối với việc xác định lãi suất chính sách mục tiêu ngắn hạn, các yếu tố đầu vào cho các quyết định bao gồm: lãi suất cân bằng, khoảng cách giữ lạm phát hiện hành và lạm phát mục tiêu chính sách và khoảng trống sản lượng (output gap). Lạm phát và sản lượng là các đại lượng được xác định có mối quan hệ gần gũi, biện chứng với lãi suất như các lý thuyết kinh tế nêu trên đã chỉ ra.
Chính sách điều tiết của Hoa Kỳ và một số kết quả
Đối với bài toán kép kiềm chế lạm phát và phục hồi tăng trưởng kinh tế, Hoa Kỳ đã có những phản ứng chính sách cần thiết và các chính sách này đã tỏ ra tương đối phù hợp.
Trên khía cạnh điều hành vĩ mô, trong khi nửa đầu dịch Covid-19, chính sách tài khóa với các gói kích thích lớn có vai trò nổi bật, thì giai đoạn phục hồi sau Covid-19, chính sách tiền tệ, điều chỉnh lãi suất điều hành của FED đóng vai trò tích cực và chủ đạo hơn.
Chính sách tiền tệ của Hoa Kỳ
Các lý thuyết trình bày ở trên đã khái quát mối quan hệ giữa lạm phát, thất nghiệp và tăng trưởng, đồng thời cung cấp khung chỉ dẫn quan trọng cho chính sách tiền tệ, là chính sách chủ đạo mà Hoa Kỳ đã theo đuổi quyết liệt thời gian qua trong nỗ lực kiềm chế lạm phát với mục tiêu đưa lạm phát về mức trước dịch (2%), đồng thời phục hồi tăng trưởng kinh tế trong bối cảnh rủi ro kép đã diễn ra.
Hình 4: Lãi suất thực thế Hoa Kỳ (lãi suất hiệu lực FED) giai đoạn 2019-2024
![]() |
| Nguồn: Federal Reserve Bank of St. Louis [4] |
Quả thật, điều hành chính sách tiền tệ trong thực tế, từ tháng 3/2022 đến 7/2023, FED đã tăng lãi suất điều hành 11 lần liên tiếp (Bảng 1). Trước dịch, lãi suất dao động quanh 2%/năm và giảm về mức 0.25% giai đoạn đầu dịch và giữ nguyên đến tháng 3/2022. Việc nâng lãi suất chính sách của FED có một kỳ vọng quan trọng là điều chỉnh cung tiền, kiềm chế lạm phát và đưa mức lạm phát về mức trước khi dịch nổ ra (2%).
Bảng 1: Điều chỉnh lãi suất chính sách của FED
| Ngày họp FOMC | Điều chỉnh (điểm %) | Lãi suất FED |
| 26/07/2023 | 25 | 5.25% lên 5.50% |
| 3/5/2023 | 25 | 5.00% lên 5.25% |
| 22/3/2023 | 25 | 4.75% lên 5.00% |
| 1/2/2023 | 25 | 4.50% lên 4.75% |
| 14/12/2022 | 50 | 4.25% lên 4.50% |
| 2/11/2022 | 75 | 3.75% lên 4.00% |
| 21/9/2022 | 75 | 3.00% lên 3.25% |
| 27/7/2022 | 75 | 2.25% lên 2.50% |
| 16/6/2022 | 75 | 1.50% lên 1.75% |
| 5/5/2022 | 50 | 0.75% lên 1.00% |
| 17/3/2022 | 25 | 0.25% lên 0.50% |
Hình 4 trình bày lãi suất hiêu lực FED (effective federal funds rate) tương ứng với các lần điều chỉnh lãi suất mục tiêu của FED. Từ tháng 5/2020, lãi suất giảm xuống ở mức thấp xấp xỉ 0% (tương ứng với lãi suất FED là 0.25%) được điều chỉnh theo lộ trình từ trước dịch và được duy trì trong giai đoạn đầu của dịch với tư cách là một công cụ để kích thích kinh tế (cả từ phía cung và phía cầu) trong thời gian dịch bệnh làm doanh nghiệp, người dân và nền kinh tế nói chung trở nên khó khăn. Đến tháng 7/2023, lãi suất điều hành của FED được tăng lên 5.5% và giữ nguyên cho đến nay để theo dõi diễn biến của thị trường và các kết quả kinh tế vĩ mô.
Hiệu lực chính sách và các kết quả kinh tế vĩ mô
Hình 5: Tăng trưởng GDP Hoa Kỳ giai đoạn 2022-2024
![]() |
| Nguồn: Bureau of Economic Analysis [6] |
Trước hết có thể thấy, chính sách điều tiết của Hoa Kỳ, mà đặc biệt là sự điều chỉnh lãi suất của FED đã phần nào có những tác động tích cực lên nền kinh tế (Hình 5). Sau 2 quý tăng trưởng âm là quý 1 và quý 2/2022, kinh tế Hoa Kỳ đã có giai đoạn tăng trưởng dương, tương đối tích cực cho đến quý 1/2024. Đặc biệt, quý 3 và quý 4/2023, nền kinh tế có mức tăng trưởng cao ấn tượng. Quý 3/2023 chính là thời điểm FED quyết định tạm dừng tăng lãi suất và neo lãi suất điều hành ở mức 5.5% - mức cao kỷ lục trong hơn 20 năm tính từ giai đoạn bùng nổ trước khi bong bóng kinh tế vỡ dẫn đến cuộc khủng hoảng kinh tế, tài chính sâu sắc năm 2007-2009 đối với Hoa Kỳ cũng như nền kinh tế toàn cầu.
Kết quả tăng trưởng đó tương thích với biến động niềm tin kinh doanh và tiêu dùng của nền kinh tế Hoa Kỳ trong giai đoạn từ sau tháng 7/2022. Trước hết cần nhắc lại rằng, sau khi đại dịch Covid-19 nổ ra cùng với đó là các diễn biến kinh tế, địa chính trị thế giới phức tạp, từ đầu 2020, niềm tin kinh doanh (BCI) và niềm tin tiêu dùng (CCI) đã bị ảnh hưởng nghiêm trọng. Đặc biệt, từ tháng 5/2021, nền kinh tế Hoa Kỳ chứng kiến sự suy giảm liên tục của niềm tin kinh doanh và niềm tin tiêu dùng, trong đó đối với niềm tin kinh doanh là cho đến gần cuối quý 3/2023 (Hình 6).
Giữa niềm tin kinh doanh và niềm tin tiêu dùng, có thể thấy, niềm tin tiêu dùng bị ảnh hưởng sâu sắc hơn. Trước đại dịch Covid-19, niềm tin tiêu dùng có điểm số cao hơn niềm tin kinh doanh, tuy nhiên các diễn biến dịch bệnh và kinh tế, địa chính trị đã làm xói mòn niềm tin tiêu dùng. Vì vậy, chỉ số niềm tin tiêu dùng luôn ở mức thấp hơn niềm tin kinh doanh từ sau đại dịch Covid-19. Từ tháng 7/2022, niềm tin tiêu dùng được từng bước được phục hồi và xu thế đó tương đối bền vững. Trong khi đó, niềm tin kinh doanh - mặc dù thường xuyên duy trì ở mức cao hơn niềm tin tiêu dùng và là một bệ đỡ quan trọng có các nỗ lực phục hồi kinh tế suốt giai đoạn vừa qua - lại cho thấy một chiều hướng giảm với những dấu hiệu hội phục tương đối yếu liên tục từ tháng 03/2023. Đến quý 1/2024, niềm tin kinh doanh và tiêu dùng của Hoa Kỳ đã hội tụ ở mức chỉ số 99. Tóm lại, trong khi niềm tin tiêu dùng từng bước hồi phục từ tháng 3/2022 cùng với các điều chỉnh lãi suất điều hành của FED, thì niềm tin kinh doanh chỉ cho thấy dấu hiệu phục hồi hến sức khiêm tốn và chưa thật sự đáng kể từ quý 3/2023.
Hình 6: Niềm tin kinh doanh (BCI) và Niềm tin tiêu dùng (CCI) Hoa Kỳ giai đoạn 2019-2024
![]() |
| Nguồn: Federal Reserve Bank of St. Louis [7] |
Hình 7: Biến động CPI Hoa Kỳ 2022-2024
![]() |
| Nguồn: US Bureau of Labor Statistics [8] |
Đối với lạm phát, có thể thấy những biện pháp mạnh tay đối với điều chỉnh lãi suất điều hành của FED đã thật sự có hiệu quả. Hình 7 cho thấy, từ tháng 7/2022, biến động chỉ số giá tiêu dùng đã liên tục giảm, từ mức đỉnh xấp xỉ 9% xuống còn 3% tháng 7/2023, thời điểm FED quyết định tăng lãi suất điều hành lên và neo ở mức 5.5%. Điều này tương thích với việc niềm tin tiêu dùng liên tục được cải thiện trong cùng khoảng thời gian trên và cũng thể hiện mối quan hệ hợp lý (trên cơ sở các lý thuyết kinh tế cơ bản) với chuỗi quỹ tăng trưởng kinh tế của Hoa Kỳ suốt giai đoạn từ quý 3/2022 đến nay.
Hình 8: Tỷ lệ thất nghiệp Hoa Kỳ giai đoạn 2022-2024
![]() |
| Nguồn: Federal Reserve Bank of St. Louis [9] |
Biến động tỷ lệ thất nghiệp giai đoạn 2022-quý 1/2024 củng cố thêm về những đánh giá đối với diễn biến kinh tế Hoa Kỳ ở trên. Có thể nhận thấy 2 đặc điểm lớn là: tỷ lệ thất nghiệp có xu hướng giảm giai đoạn đầu 2022 đến quý 2/2023, từ khoảng 4% xuống 3.5%; tuy nhiên từ quý 3/2023 đến nay, thất nghiệp có xu hướng tăng và đến quý 1/2024 ở mức 4% (Hình 8). Một điểm nổi bật đáng lưu ý là, xu thế “giằng co” trong biến động tỷ lệ thất nghiệp cho thấy tác động không ổn định của chính sách điều tiết.
Một số lưu ý và kết luận
Với những nỗ lực trong chính sách điều tiết, cụ thể là sự điều chỉnh lãi suất điều hành của FED, nền kinh tế Hoa Kỳ đã từng bước đạt được những kết quả đáng khích lệ trên cả các khía cạnh tăng trưởng kinh tế, kiềm chế lạm phát và khôi phục niềm tin kinh doanh, tiêu dùng. Tuy nhiên, để đánh giá triển vọng và những diễn biến tiềm tàng đối với nền kinh tế Hoa Kỳ trong thời gian tới, cần lưu ý một điểm quan trọng sau:
Thứ nhất, tính từ thời điểm FED neo lãi suất điều hành tại mức 5.5% từ tháng 7/2023, diễn biến đối với lạm phát Hoa Kỳ không thật sự thuận lợi. Mặc dù biến động trong CPI không tăng quá cao, song sự tăng giảm là không ổn định. Do đó, đối với mức lạm phát mục tiêu 2%, cần có những điều chỉnh chính sách lãi suất theo hướng thắt chặt để kiềm chế lạm phát.
Thứ hai, mặc dù đạt được mức tăng trưởng ấn tượng trong quý 3 và 4/2023, song mức tăng trưởng thể hiện xu thế thiếu bền vững khi tăng trưởng quý sau thấp hơn quý trước và mức tăng trưởng trong quý 1/2024 đã thấp hơn đáng kể 2 quý trước đó, ở mức của các quý cuối năm 2022 và đầu năm 2023. Điều này cho thấy, tăng trưởng kinh tế sau khi FED tạm dừng điều chỉnh và neo lãi suất ở mức 5.5% là chưa ổn định. Câu hỏi đặt ra là, có phải dư địa tăng trưởng của chuỗi điều chỉnh lãi suất điều hành của FED đã dần hao mòn? Đây có phải là chỉ dấu đặt ra vấn đề đối với nhu cầu điều chỉnh chính sách mới?
Thứ ba, cùng với việc tăng trưởng đang dần mất động lực sau gần 3 quý FED tạm dừng điều chỉnh lãi suất, thất nghiệp một mặt không có dấu hiệu điều chỉnh mạnh, mặt khác lại thể hiện một xu hướng tăng nhẹ trong giai đoạn gần đây (tháng 9/2023 đến nay). Mặc dù tăng trưởng không quá mạnh mẽ nhưng vẫn đạt mức dương, thì việc tỷ lệ thất nghiệp thể hiện xu thế tăng là một vấn đề cần được khảo sát và làm rõ hơn. Bên cạnh đó, cũng cần xác định liệu tỷ lệ thất nghiệp (tương đương với mức trước dịch) có phải đang ở một ngưỡng cân bằng nào đó và vì vậy thể hiện trạng thái tương đối ổn định trước các điều chỉnh chính sách, mà cụ thể ở đây là các chính sách tiền tệ. Trong trường hợp đó, các chính sách có thể tập trung điều chỉnh lạm phát và tăng trưởng.
Thứ tư, các diễn biến trên đối với tăng trưởng và lạm phát thể hiện sự tương thích đối với biến động trong niềm tin kinh doanh. Biến động đối với niềm tin kinh doanh và niềm tin tiêu dùng trước 7/2023 là tương đối cùng chiều; tuy nhiên biến động đối với 2 chỉ số này thể hiện sự bất đối xứng từ thời điểm tháng 5-7/2023 đến nay. Trong khi diễn biến niềm tin tiêu dùng có mối quan hệ cùng chiều với các điều chỉnh lạm phát, tăng trưởng, thì niềm tin kinh doanh lại cho thấy một xu hướng đối lập. Điều này đặt ra câu hỏi, liệu có phải khu vực doanh nghiệp đã thực sự “mệt mỏi” và đang cho thấy sự suy giảm trong sức đề kháng với các diễn biến đa diện, đa chiều về kinh tế, chính trị gần đây và đang thể hiện sự “đuối sức” trong quá phục hồi sức sản xuất kinh doanh?.
Cần trả lời câu hỏi này một cách kỹ lưỡng, bởi nếu không, vấn đề kép đình-lạm đối với nền kinh tế Hoa Kỳ có thể phải được đặt ra một lần nữa trong thời gian tới. Trong khi lạm phát không giảm xuống dưới mức 3% và đang có những dấu hiệu tăng trở lại, thì tăng trưởng kinh tế đang có dấu hiệu chững lại, đặc biệt trong bối cảnh niềm tin kinh doanh đang bị xói mòn liên tục, với dấu hiệu phục hồi rất khiêm tốn và hạn chế.
Thứ năm, đối với Việt Nam, cần hết sức lưu ý đến rủi ro đình - lạm vẫn chưa hoàn toàn biến mất đối với nền kinh tế Hoa Kỳ và kể cả trong một kịch bản tích cực hơn, thì có thể đánh giá rằng nền kinh tế Hoa Kỳ vẫn đang phải tiếp tục phải giải quyết bài toán kép: kiềm chế lạm phát và đảm bảo tăng trưởng kinh tế. Trong bất cứ kịch bản nào, cần lưu ý khả năng FED tiếp tục tăng lãi suất trong thời gian tới để có những chuẩn bị kịp thời trong điều hành tỷ giá, lãi suất nền kinh tế nội địa. Đồng thời, đối với rủi ro nền kinh tế Hoa Kỳ tiếp tục rơi vào đình trệ, với tư cách là thị trường xuất khẩu lớn thứ 2 của Việt Nam, điều đó sẽ tiếp tục ảnh hưởng đến cầu và sức phục hồi của các doanh nghiệp và nền kinh tế Việt Nam nói chung. Việt Nam cần chủ động chuẩn bị cho các rủi ro nêu trên để chủ động cho việc thực hiện các kế hoạch phát triển của mình, trước mắt là các mục tiêu tăng trưởng, các mục tiêu công nghiệp, kinh tế năm 2024 và trung hạn./.
[1] https://www.bea.gov/data/gdp/gross-domestic-product
[2] https://fred.stlouisfed.org/series/UNRATE
[3] https://www.bls.gov/charts/consumer-price-index/consumer-price-index-by-category-line-chart.htm
[4] https://fred.stlouisfed.org/series/DFF
[5] https://www.federalreserve.gov/monetarypolicy/fomccalendars.htm
[6] https://www.bea.gov/data/gdp/gross-domestic-product
[7] https://fred.stlouisfed.org/series/CPIAUCSL
[8] https://www.bls.gov/charts/consumer-price-index/consumer-price-index-by-category-line-chart.htm
[9] https://fred.stlouisfed.org/series/UNRATE
Tài liệu tham khảo
1. Abel, A. B., Bernanke, B. S. (2005), Macroeconomics (5th ed.), Pearson Addison Wesley.
2. Blanchard, O. (2016), The Phillips Curve: Back to the '60s?, American Economic Review, 106(5), 31-34.
3. Blanchard, O., Johnson, D. R. (2013), Macroeconomics, Pearson; 6th Edition.
4. Czudaj, R. (2024), Expectation formation and the Phillips curve revisited, Macroeconomic Dynamics, DOI:10.1017/S1365100524000051.
5. Mott, F. D. (2024), The US economy may be barrelling towards stagflation, an outcome worse than recession, Business Insider.
6. Phillips, A. W. (1958), The Relationship between Unemployment and the Rate of Change of Money Wages in the United Kingdom 1861-1957, Economica, 25 100), 283–299.
7. Samuelson, P. A., Solow, R. M. (1960), Analytical Aspects of Anti-Inflation Policy. American Economic Review, 50(2), 177–194.
8. Taylor, J. B. (1993), Discretion versus policy rules in practice, Carnegie-Rochester Conference Series on Public Policy, 39, 195–214.
9. Vuong, Q. H. (2023), Mindsponge Theory, Walter de Gruyter GmbH.
| Ngày nhận bài: 15/4/2024; Ngày phản biện: 02/5/2024; Ngày duyệt đăng: 31/5/2024 |













Bình luận