Phân tích các yếu tố ảnh hưởng và dự báo nhu cầu điện năng tỉnh Nghệ An đến năm 2030
ThS. Ngô Ánh Tuyết
Khoa Quản lý công nghiệp và năng lượng, Trường Đại học Điện lực
Email: tuyetna@epu.edu.vn
KS. Phạm Thị Khánh Hiền
Công ty Điện lực Nghệ An
Email: phamhien30112002@gmail.com
Tóm tắt
Nghiên cứu tập trung vào phân tích sự tác động của các yếu tố ảnh hưởng tới sự thay đổi tổng điện năng và điện năng thương phẩm các thành phần phụ tải của tỉnh Nghệ An. Kết quả cho thấy, sự phát triển kinh tế và đô thị hoá thúc đẩy đáng kể cầu tiêu thụ điện, xu hướng ảnh hưởng của các nhân tố đến điện năng thương phẩm của các thành phần phụ tải khác nhau... Đây là nguồn tài liệu để ngành điện Nghệ An lập kế hoạch dự báo hằng năm, hàng tháng.
Từ khóa: Dự báo nhu cầu, điện năng, công nghiệp, quản lý tiêu dùng
Summary
The study focuses on analyzing the impact of factors affecting the change in total electricity and commercial electricity of load components in Nghe An Province. The results show that economic development and urbanization significantly promote electricity consumption demand, the trend of factors affecting the commercial electricity of different load components... This is a reference for the Nghe An electricity industry to make annual and monthly forecast plans.
Keywords: Demand forecast, electricity, industry, consumption management
GIỚI THIỆU
Điện năng là yếu tố không thể thiếu trong sự phát triển kinh tế xã hội quốc gia. Nguồn cung điện ổn định là yếu tố then chốt cho sự phát triển kinh tế chung, giúp tăng năng suất lao động, thúc đẩy sản xuất, nâng cao năng lực cạnh tranh và thu hút đầu tư.
Tại tỉnh Nghệ An, Công ty Điện lực Nghệ An là cơ quan thực hiện công tác phân tích dự báo nhu cầu điện năng. Trên cơ sở mục tiêu sản xuất kinh doanh, Công ty lập phương án đầu tư, cải tạo nâng cấp hệ thống lưới điện theo từng giai đoạn trên địa bàn tỉnh Nghệ An đạt hiệu quả cao. Do đó, việc tìm hiểu các nhân tố, cũng như dự báo sẽ góp phần xây dựng quy hoạch phát triển điện lực tỉnh Nghệ An, đồng thời giúp Công ty lên kế hoạch dự báo hằng năm, hàng tháng, từ đó nâng cao hiệu quả hoạt động.
CÁC YẾU TỐ ẢNH HƯỞNG ĐẾN NHU CẦU ĐIỆN NĂNG TỈNH NGHỆ AN
Nghệ An có diện tích 16.487 km2, dân số khoảng 3.420.000 người, sinh sống ở thành thị, đồng bằng, miền núi. Tỉnh có địa bàn rộng, quản lý bán điện với nhiều thành phần phụ tải như: Nông - Lâm nghiệp - Thuỷ sản, Công nghiệp - Xây dựng, Thương nghiệp - Khách sạn - Nhà hàng, Quản lý tiêu dùng và Hoạt động khác (Công ty Điện lực Nghệ An, 2023]. Tuy nhiên, do hạn chế về số liệu thu thập, nên nghiên cứu này xét 3 thành phần phụ tải là: Nông lâm nghiệp thuỷ sản, Công nghiệp và Quản lý tiêu dùng dựa trên chỉ tiêu tăng trưởng GRDP của tỉnh Nghệ An và các yếu tố ảnh hưởng khác như dân số, giá điện, khí hậu, thời tiết, tốc độ đô thị hóa….
Cơ cấu điện thương phẩm theo thành phần phụ tải
Các thành phần phụ tải điện của tỉnh Nghệ An bao gồm: Nông - lâm nghiệp - thuỷ sản, Công nghiệp - Xây dựng, Thương nghiệp - Khách sạn - Nhà hàng, Quản lý tiêu dùng và Hoạt động khác.
Hình 1: Điện năng thương phẩm theo các thành phần phụ tải năm 2011 và 2023
![]() |
Nguồn: Tính toán của nhóm tác giả
Số liệu Hình 1 cho thấy, ngành quản lý tiêu dùng có điện năng thương phẩm chiếm tỷ trọng cao nhất, tỷ trọng tương đối này giảm dần 1%-2%/năm trong giai đoạn 2011-2023 nhưng vẫn ở mức cao. Dân số tăng lên nhanh chóng, mức sống người dân ngày càng cao là gia tăng nhu cầu sử dụng các tiện ích xã hội trong sinh hoạt như: tivi, tủ lạnh, điều hòa nhiệt độ, máy giặt... dẫn đến tiêu thụ điện năng tăng (Hình 2).
Hình 2: Biểu đồ điện năng thương phẩm theo ngành kinh tế giai đoạn 2011-2023
![]() |
Nguồn: Tính toán của nhóm tác giả
Tỷ trọng và mức tiêu thụ điện năng ngành công nghiệp, xây dựng đều có xu hướng tăng qua các năm, minh chứng cho điều đó là vào 2023 ngành công nghiệp xây dựng dẫn đầu về điện năng thương phẩm và chiếm tỷ trọng cao nhất (tăng hơn 15% so với năm 2011). Ngành nông, lâm nghiệp thủy sản là thành phần chiếm tỷ trọng nhỏ nhất trong cơ cấu tiêu thụ điện năng, giao động 1%-3%, đây là kết quả của việc thúc đẩy quá trình công nghiệp hóa, hiện đại hóa của Đảng và nhân dân ta. Ngành thương nghiệp, khách sạn, nhà hàng tỷ trọng có xu hướng tăng nhẹ, đến năm 2023 tăng lên gần 7% so với năm 2011. Trong khi đó, ngành hoạt động khác không nằm trong 4 hoạt động trên, cơ cấu tiêu thụ điện năng không có sự biến động nào đáng kể và có xu hướng tăng nhẹ sau 12 năm (Hình 2).
Phân tích các yếu tố ảnh hưởng đến mức tiêu thụ điện năng của các thành phần phụ tải
Mật độ dân số
Theo số liệu của Tổng cục Thống kê, mật độ dân số của Nghệ An tăng đều từ 181,7 người/km2 năm 2011 lên 208,8 người/km2 năm 2023. Tuy nhiên, dân cư ở Nghệ An phân bố rất không đều, nơi có mật độ dân cư cao tập trung ở thành phố Vinh (3.230 người/) và một số huyện đồng bằng khoảng 600 người/km2, ngược lại các huyện miền núi phía Tây lại rất thưa thớt, khoảng dưới 50 người/km2 do địa hình hiểm trở, khí hậu khắc nghiệt, giao thông khó khăn. Dân số tăng ảnh hưởng trực tiếp đến sự gia tăng tiêu thụ điện năng của tỉnh Nghệ An.
Tổng sản phẩm trên địa bàn theo ngành của tỉnh Nghệ An
Tổng sản phẩm trên địa bàn (GRDP) là giá trị sản phẩm vật chất và dịch vụ cuối cùng được tạo ra trên địa bàn Tỉnh. Với chiến lược phát triển đầu tư, ngành dịch vụ đang chiếm tỷ trong lớn hơn trong nền kinh tế của tỉnh Nghệ An. Tốc độ tăng trưởng của Tỉnh là 8%-17% năm, GRDP tăng từ 56,28 triệu đồng năm 2011 lên đến 195,77 triệu đồng năm 2023 tức gấp hơn 3 lần. Tốc độ tăng trưởng GRDP gắn liền với gia tăng nhu cầu tiêu thụ năng lượng, đặc biệt là điện năng (Bảng 1).
Bảng 1: Điện năng thương phẩm và GRDP của các ngành
| Năm | GRDP (triệu VNĐ) | Điện năng thương phẩm (tr.kWh) | |||||
| Nông, lâm, thuỷ sản | Công nghiệp | Quản lý tiêu dùng | Nông, lâm, thuỷ sản | Công nghiệp | Quản lý tiêu dùng | ||
| 2011 | 16,08 | 15,49 | 24,71 | 23,254 | 359,680 | 716,494 | |
| 2012 | 18,97 | 17,11 | 30,19 | 26,980 | 404,986 | 817,800 | |
| 2013 | 21,02 | 18,99 | 34,73 | 24,898 | 462,473 | 882,306 | |
| 2014 | 21,84 | 20,19 | 37,25 | 30,103 | 545,739 | 974,052 | |
| 2015 | 23,37 | 21,13 | 39,91 | 40,128 | 593,783 | 1.050,430 | |
| 2016 | 24,96 | 23,86 | 43,37 | 44,938 | 936,492 | 1.142,057 | |
| 2017 | 25,13 | 27,91 | 48,98 | 47,958 | 1.306,757 | 1.209,413 | |
| 2018 | 27,29 | 32,89 | 54,07 | 62,947 | 1.463,198 | 1.299,817 | |
| 2019 | 30,03 | 36,67 | 59,4 | 89,559 | 1.583,686 | 1.464,227 | |
| 2020 | 35,56 | 39,81 | 62,17 | 105,068 | 1.795,171 | 1.577,337 | |
| 2021 | 38,21 | 45,37 | 65,22 | 115,863 | 2.033,261 | 1.673,383 | |
| 2022 | 40,4 | 53,28 | 73,51 | 114,676 | 2.007,278 | 1.734,839 | |
| 2023 | 43,02 | 62,72 | 90,03 | 124,970 | 2.029,623 | 1.985,224 | |
Nguồn: Tính toán của nhóm tác giả
Tốc độ đô thị hoá
Các số liệu thống kê cho thấy, 10 năm qua tỷ lệ thành thị của tỉnh Nghệ An tăng dần đều với mức tăng trưởng 1%-2% mỗi năm. Các định hướng được đưa ra nhằm phấn đấu tỷ lệ đô thị hóa của Tỉnh đạt mức trung bình thấp của nước, dự kiến đến năm 2030 đạt khoảng 40%-45% (tỷ lệ đô thị hóa cả nước dự kiến khoảng 50%), dân số đô thị khoảng 1.995,6 nghìn người, dân số nông thôn khoảng 2.600 người. Đô thị hoá góp phần tích cực trong việc nâng cao đời sống con người, thúc đẩy phát triển nền kinh tế. Tuy nhiên, quá trình đô thị hoá nhanh và chất lượng cuộc sống của người dân ngày càng tăng lên sẽ kéo theo nhu cầu sử dụng điện năng ngày càng lớn.
DỰ BÁO NHU CẦU ĐIỆN NĂNG TỈNH NGHỆ AN ĐẾN NĂM 2030
Mô hình dự báo
Để xây dựng được mô hình dự báo nhu cầu tiêu thụ điện năng cho tỉnh Nghệ An trước tiên phải xem xét các yếu tố đầu vào và đầu ra của mô hình dự báo. Trong phạm vi nghiên cứu này, nhóm tác giả tập trung xây dựng mô hình dự báo nhu cầu điện năng cho tỉnh Nghệ An dựa trên số liệu thống kê tổng điện năng thương phẩm, tổng dân số, giá điện bình quân...
Hình 3: Sơ đồ phương pháp tiếp cận mô hình dự báo
![]() |
Thống kê điện năng tiêu thụ của ngành và những nhân tố ảnh hưởng đến nhu cầu tiêu thụ điện năng như: GRDP, giá điện bình quân, dân số của tỉnh để thiết lập nên hàm dự báo A = f(GRDP, P, Dân số…). Hàm nhu cầu điện năng của tỉnh Nghệ An có thể xem xét như sau:
A= f(GRDP, P, DANSO)
Trong đó: A: Nhu cầu tiêu thụ điện năng của tỉnh Nghệ An (triệu kWh).
GRDP: Tổng sản phẩm trên địa bàn theo giá thực tế của tỉnh Nghệ An (triệu đồng).
P: Giá điện bình quân của tỉnh Nghệ An (đ/kWh).
DANSO: Số dân của tỉnh Nghệ An (nghìn người).
Đối với từng thành phần phụ tải, cụ thể xét 3 thành phần phụ tải chính của tỉnh Nghệ An bao gồm: Công nghiệp - Xây dựng; Nông - Lâm nghiệp - Thủy sản; Quản lý tiêu dùng đều có biến độc lập là Tổng sản phẩm địa phương từng ngành lần lượt là GRDP1, GRDP2, GRDP3. Riêng ngành Công nghiệp - Xây dựng xét thêm biến độc lập: Số lượng Doanh nghiệp Công nghiệp (DN), Giá điện (P1); ngành Nông - Lâm nghiệp - Thuỷ sản có thêm biến độc lập: Giá điện (P2); ngành Quản lý tiêu dùng có thêm biến độc lập: Dân số (DS), Giá điện (P3). Như vậy, ta có các hàm dự báo: A1 = f(GRDP1, P1, DN), A2 = f(GRDP2, P2), A3 = f(GRDP3, P3, DS)
Tuy nhiên, khi thu thập số liệu và xây dựng mô hình dự báo trên phần mềm Eviews, kết quả kiểm định cho thấy, có sự tương quan giữa Giá điện (P), Số lượng doanh nghiệp (DN) và Dân số (DS) đối với nhu cầu điện năng của các thành phần phụ tải. Do đó, sau khi phân tích, nghiên cứu đã loại bỏ các biến không phù hợp và tập trung chính vào yếu tố tăng trưởng kinh tế của các ngành, biến số thỏa mãn mô hình theo bộ dữ liệu xem xét. Như vậy, hàm dự báo sử dụng cho các thành phần phụ tải như sau:
A1 = f(GRDP1), A2 = f(GRDP2), A3 = f(GRDP3)
Mô hình hồi quy và kết quả dự báo điện năng tỉnh Nghệ An đến năm 2030
Sử dụng phần mềm Eviews, xây dựng được phương trình hồi quy mẫu cho tổng nhu cầu điện năng theo các yếu tố ảnh hưởng như sau:
A= -15503,31 + 16,84700*GRDP - 1,625659*P + 5,923673*DS
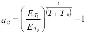
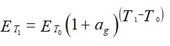
Vì không đủ số liệu dự báo của các biến độc lập từ năm 2024 đến năm 2030, do đó để dự báo tổng nhu cầu điện năng tỉnh Nghệ An đến năm 2030, nghiên cứu sử dụng tốc độ tăng trưởng bình quân của giai đoạn 2011-2021 để dự báo giá trị của các biến độc lập giai đoạn 2022-2030, từ đó, dự báo giá trị điện năng thương phẩm của Tỉnh. Tốc độ tăng trưởng bình quân giai đoạn được tính như sau:
![]() |
Các biến độc lập giai đoạn từ năm 2022 đến năm 2030 dự báo theo công thức:
![]() |
Trong đó: ETt = nhu cầu năng lượng trong giai đoạn T1 và ETt = nhu cầu năng lượng trong giai đoạn T0. Dự báo giai đoạn 2022-2024 được dùng để đánh giá tính chính xác của kết quả dự báo. So sánh kết quả dự báo với số liệu thực tế, xét sai số dự báo như Bảng 2.
Bảng 2: So sánh số liệu thực tế và số liệu dự báo
| Năm | Sản lượng TP thực tế (triệu kWh) | Sản lượng TP dự báo (triệu kWh) | Sai số tương đối PE (%) |
| 2022 | 4.382,48 | 4.493,50 | 2,53 |
| 2023 | 4.751,24 | 4.892,54 | 2,97 |
| 2024 | 5.127,19 | 5.327,19 | 3,9 |
Nguồn: Tính toán của nhóm tác giả
Theo Quyết định số 07/QĐ-ĐTĐL, ngày 14/3/2013 của Cục Điều tiết điện lực về Quy trình dự báo nhu cầu phụ tải điện hệ thống điện quốc gia, sai số thực tế (sai số tuyệt đối) là sai số giữa kết quả dự báo và thực tế, được quy định: Dự báo phụ tải năm, tháng, tuần: sai số trong giới hạn ±3%. Vì vậy, theo lý thuyết và thực tế, sai số PE tương đối hợp lý. Ngoài ra, sai số phần trăm tuyệt đối trung bình MAPE là 3,13% (< 10%) cho thấy mô hình dự báo sử dụng là rất tốt. Đối với 3 thành phần phụ tải được xem xét trong nghiên cứu, sau khi chạy Eviews, xây dựng được phương trình dự báo như sau:
Ngành công nghiệp: A1= -598,1464 + 60,70046*GRDP1
Ngành Nông – lâm nghiệp thủy sản: A2= -72,00927 + 4,922512*GRDP2
Ngành Quản lý tiêu dùng sau: A3= 109,8515 + 23,31589*GRDP3
Kết quả dự báo điện năng đến năm 2030 như Bảng 3.
Bảng 3: Tổng hợp kết quả dự báo nhu cầu điện năng thương phẩm theo thành phần phụ tải và của toàn tỉnh Nghệ An giai đoạn 2022-2030
Đơn vị: triệu kWh
| Năm | Công nghiệp-Xây dựng | Nông-lâm nghiệp, thuỷ sản | Dịch vụ | Điện năng thương phẩm Tỉnh |
| 2022 | 2.067,42 | 119,01 | 1.787,42 | 4.493,50 |
| 2023 | 2.103,70 | 128,94 | 1.960,43 | 4.892,54 |
| 2024 | 2.528,62 | 153,96 | 2.151,16 | 5.327,19 |
| 2025 | 2.917,41 | 197,01 | 2.361,70 | 5.786,67 |
| 2026 | 3.341,55 | 222,16 | 2.593,93 | 6.272,72 |
| 2027 | 3.795,69 | 249,67 | 2.850,17 | 6.802,20 |
| 2028 | 4.073,09 | 279,80 | 3.132,75 | 7.367,46 |
| 2029 | 4.709,84 | 312,73 | 3.444,49 | 7.970,75 |
| 2030 | 5.014,61 | 348,71 | 3.788,39 | 8.623,23 |
Nguồn: Tính toán của tác giả
Qua số liệu dự báo (Bảng 3) cho thấy, nhu cầu điện năng tỉnh Nghệ An giai đoạn 2022-2030 ngày càng tăng. Năm 2030, nhu cầu điện năng của Tỉnh lên đến 8.623,23 triệu kWh.
Theo Quy hoạch tỉnh Nghệ An thời kỳ 2021-2030, tầm nhìn đến năm 2050, tốc độ tăng trưởng bình quân GRDP dự báo giai đoạn 2022-2030 đạt 10,26%/năm, so với mục tiêu của tỉnh Nghệ An là 10,5-11%. Kết quả dự báo tuy chưa đạt, nhưng so với tốc độ phát triển kinh tế - xã hội của tỉnh Nghệ An, thì việc đạt mục tiêu đề ra là có thể xảy ra. Tính chính xác dự báo được đánh giá dựa vào sai số dự báo đưa ra ở Bảng 4.
Bảng 4: Sai số dự báo điện năng tiêu thụ của 3 thành phần phụ tải
| Ngành | Năm | Sản lượng thực tế (triệu kWh) | Sản lượng dự báo (triệu kWh) | Sai số dự báo (%) |
| CN-XD | 2022 | 2.007,27 | 2.067,42 | 2,91 |
| 2023 | 2.081,95 | 2.103,70 | 1,03 | |
| NN-LN-TS | 2022 | 114,67 | 119,01 | 3,64 |
| 2023 | 124,97 | 128,94 | 3,07 | |
| DV | 2022 | 1.734,83 | 1.787,42 | 2,94 |
| 2023 | 1.985,22 | 1.960,43 | -1,26 |
Nguồn: Tính toán của tác giả
KẾT LUẬN
Việc phân tích các yếu tố ảnh hưởng đến cầu điện năng thương phẩm theo thành phần phụ tải chính là tiền đề cho công việc dự báo nhu cầu điện, hiểu rõ các yếu tố tác động, giúp dự đoán chính xác hơn về nhu cầu điện năng trong tương lai. Phân tích các thành phần phụ tải giúp tối ưu hoá việc phân bổ nguồn lực điện và giảm thiểu lãng phí, tiết kiệm năng lượng. Hiểu biết về cầu điện chính là cải thiện khả năng quản lý hệ thống điện, đáp ứng tốt hơn nhu cầu của người tiêu dùng và góp phần vào sự phát triển bền vững của tỉnh Nghệ An. Kết quả dự báo có thể góp phần xây dựng quy hoạch phát triển Điện lực tỉnh Nghệ An đến năm 2030, tham khảo cho kế hoạch dự báo hằng năm, hàng tháng của Công ty Điện lực Nghệ An./.
Tài liệu tham khảo
1. Công ty Điện lực Nghệ An (2011-2023). Báo cáo chi tiết bán điện theo thành phần phụ tải 2011-2023.
2. Công ty Điện lực Nghệ An (2023). Báo cáo công tác quản lý vận hành kỹ thuận năm 2023, phương hướng nhiệm vụ năm 2024.
3. Dương Trung Kiên, Phan Diệu Hương (2023). Giáo trình Phương pháp dự báo, Nxb Khoa học và Kỹ thuật.
4. Nguyễn Hoàng Lan (2024). Dự báo nhu cầu năng lượng: Tổng hợp các nghiên cứu và đề xuất cho Việt Nam, Tạp chí Công Thương - Các kết quả nghiên cứu khoa học và ứng dụng công nghệ, số 8, tháng 4/2024.
5. Phan Diệu Hương (2015). Phân tích và dự báo nhu cầu năng lượng, Nxb Bách Khoa.
6. Thủ tướng Chính phủ (2023). Quyết định số 1059/QĐ-TTg ngày 14/09/2023, phê duyệt Quy hoạch tỉnh Nghệ An thời kỳ 2021 - 2030, tầm nhìn đến năm 2050.
7. Tổng cục Thống kê (2025). Niên giám Thống kê năm 2024, Nxb Thống kê.
| Ngày nhận bài: 25/5/2025; Ngày hoàn thiện biên tập: 02/6/2025; Ngày duyệt đăng: 17/6/2025 |






Bình luận