Phân tích các nhân tố ảnh hưởng đến chi tiêu cho giáo dục của hộ gia đình tỉnh Đồng Tháp
TS. Hà Văn Sơn
Đại học Kinh tế Thành phố Hồ Chí Minh (UEH)
Email: hason@ueh.edu.vn
ThS. Nguyễn Thị Hồng Mai
Chi cục Thống kê tỉnh Đồng Tháp
Email: nguyenthihongmaidth@gmail.com
Tóm tắt
Bài viết đánh giá các nhân tố ảnh hưởng đến chi tiêu cho giáo dục của hộ gia đình tỉnh Đồng Tháp. Kết quả nghiên cứu cho thấy, có 4 nhân tố ảnh hưởng đến chi tiêu cho giáo dục của hộ gia đình, đó là Tổng thu nhập của hộ; Nơi sống của hộ; Số thành viên đang đi học của hộ; Nghề nghiệp chủ hộ. Trong đó, nhân tố Tổng thu nhập của hộ có tác động mạnh nhất đến chi tiêu cho giáo dục của hộ.
Từ khóa: Hộ gia đình, chi tiêu cho giáo dục, Đồng Tháp
Summary
The article assesses the factors influencing household spending on education in Đong Thap province. The study identifies four key factors affecting education spending, including total household income, place of residence, number of school-age members in the household, and the occupation of the household head. Among these, total household income has the strongest impact on education expenditure.
Keywords: Household, education expenditure, Đong Thap
GIỚI THIỆU
Đồng Tháp thuộc vùng Đồng bằng sông Cửu Long (ĐBSCL) - vùng có tỷ lệ chi tiêu cho giáo dục thấp nhất cả nước dù tỷ lệ này đã tăng từ 3,7% lên 4,2% trong giai đoạn 2010-2020. Thu nhập bình quân đầu người của tỉnh Đồng Tháp năm 2020 chỉ đạt 3,97 triệu đồng/người/tháng (thấp hơn mức thu nhập bình quân chung của cả nước: ước đạt 4,25 triệu đồng/người/tháng). Thu nhập thấp làm hạn chế khả năng chi tiêu nói chung và chi cho giáo dục nói riêng. Trình độ dân trí thấp cũng ảnh hưởng đến nhận thức về tầm quan trọng của giáo dục, dẫn đến ít đầu tư cho giáo dục. Thực tế, tỷ lệ dân số từ 15 tuổi trở lên biết chữ của địa phương năm 2020 đạt 95,30%, thấp hơn so với cả nước và so với vùng ĐBSCL (tỷ lệ của cả nước là 95,40%, vùng ĐBSCL 97,85%). Ngoài 2 nhân tố vừa nêu trên, tỷ lệ chi tiêu cho giáo dục thấp còn do những nhân tố nào tác động, nhân tố nào là quan trọng hơn cả, làm thế nào để nâng cao mức đầu tư cho giáo dục đào tạo của địa phương? Nghiên cứu này được thực hiện nhằm tìm câu trả lời cho các vấn đề trên thông qua mô hình các nhân tố ảnh hưởng đến chi tiêu cho giáo dục của hộ gia đình, từ đó đưa ra các khuyến nghị chính sách phù hợp.
CƠ SỞ LÝ THUYẾT VÀ MÔ HÌNH NGHIÊN CỨU
Cơ sở lý thuyết
Lý thuyết về hành vi người tiêu dùng
Theo Robert S.Pindyck và Daniel L.Rubinfeld (2013), Lý thuyết hành vi người tiêu dùng mô tả cách thức người tiêu dùng phân bổ thu nhập cho các hàng hoá và dịch vụ khác nhau để tối đa hoá thoả mãn của họ. Ba bước cơ bản của lý thuyết hành vi người tiêu dùng đó là: Sở thích của người tiêu dùng; Sự giới hạn ngân sách; Sự lựa chọn của người tiêu dùng. David L. Loudon và Albert J. Della Bitta (1993) định nghĩa, hành vi người tiêu dùng là quá trình ra quyết định và hành động thực tế của các cá nhân khi đánh giá, mua sắm, sử dụng hoặc loại bỏ những hàng hoá và dịch vụ. Qua 2 định nghĩa, có thể hiểu, nghiên cứu hành vi người tiêu dùng giúp nhận diện xu hướng, thói quen chi tiêu cho giáo dục của hộ gia đình nhằm đưa ra các kiến nghị phù hợp dựa trên kết quả nghiên cứu.
Tổng quan nghiên cứu
Nghiên cứu của Mauldin và cộng sự (2001) cho thấy, có 4 nhân tố tác động đến việc chi tiền cho giáo dục tiểu học và trung học của con cái: thu nhập sau thuế (hộ có thu nhập sau thuế cao thì chi tiêu cho giáo dục cao hơn), trình độ học vấn của cha mẹ (cha mẹ có trình độ cử nhân chi tiêu cho giáo dục cao hơn cha mẹ có trình độ trung học phổ thông hoặc thấp hơn), khu vực sinh sống (các gia đình ở phía Đông Bắc và phía Tây chi tiêu cho giáo dục của con cái ít hơn gia đình ở miền Nam) và mùa trong năm (vào mùa hè, các gia đình chi tiêu cho giáo dục nhiều hơn so với mùa thu). Còn Tilak và Jandhyala (2002) chỉ ra 7 nhân tố có tác động đến chi tiêu giáo dục của hộ là: Thu nhập của hộ gia đình và trình độ giáo dục của chủ hộ, quy mô hộ gia đình, loại trường đang theo học, bậc học của người đang đi học, chi phí học tập, mức học phí.
Donkoh và Amikuzuno (2011) kết luận rằng, nhóm chủ hộ trẻ tuổi, có trình độ học vấn cũng như có sở hữu tài sản (xe bus, đồ dùng lâu bền) có xác suất chi tiêu cho giáo dục cao hơn. Bên cạnh đó, nhóm chủ hộ là nữ, hộ có số trẻ em trong độ tuổi đi học (trẻ dưới 15 tuổi) nhiều hơn, hộ ở nông thôn, hộ sống xa thủ đô cũng có xác suất chi tiêu cho giáo dục cao hơn.
Theo Vũ Quang Huy (2012), các nhân tố chính quyết định số tiền chi tiêu cho giáo dục là: thu nhập của hộ (hộ có thu nhập càng cao, thì số tiền chi cho giáo dục càng nhiều), trình độ học vấn của chủ hộ (chi tiêu cho giáo dục tăng khi chủ hộ có trình độ học vấn cao hơn), số trẻ em trong độ tuổi tiểu học và trung học cơ sở (hộ có con trong độ tuổi tiểu học và trung học cơ sở chi tiêu cho giáo dục nhiều hơn hộ có con trong độ tuổi mẫu giáo hoặc đại học). Bên cạnh đó, các nhân tố khác cũng có ảnh hưởng đến chi tiêu cho giáo dục của hộ gồm: lĩnh vực làm việc của chủ hộ, nơi sinh sống của hộ (hộ gia đình ở miền Bắc và miền Nam chi tiêu cho giáo dục ít hơn hộ gia đình ở miền Trung).
Nghiên cứu của Khổng Tiến Dũng và Phạm Lê Thông (2014) cho thấy, mức chi tiêu cho giáo dục hiện tại của người dân còn khá thấp so với các khoản mục chi tiêu thông thường khác. Ngoài ra, có sự khác biệt giữa mức chi tiêu giữa các hộ dân ở thành thị và nông thôn. Bên cạnh đó, mô hình hồi quy Tobit chỉ ra rằng, các yếu tố quan trọng tác động đến mức chi tiêu cho giáo dục của người dân bao gồm: trình độ học vấn của chủ hộ, tuổi của chủ hộ, tổng thu nhập trong gia đình. Các yếu tố như: học thêm, số người nam và người nữ đi học trong gia đình cũng góp phần làm tăng khoản chi tiêu này.
Mô hình nghiên cứu của Hoàng Thanh Nghị (2020) đã chỉ ra thu nhập của hộ có ảnh hưởng tích cực đến chi tiêu giáo dục của hộ. Các yếu tố về đặc điểm chủ hộ như: tuổi, giới tính, nghề nghiệp, bằng cấp chủ hộ có ảnh hưởng có ý nghĩa thống kê đến chi tiêu giáo dục. Các gia đình dành khoản chi nhiều hơn cho thành viên nam đang đi học, chủ hộ là người dân tộc Kinh dành khoản chi tiêu cho giáo dục nhiều hơn chủ hộ là dân tộc khác.
Mô hình nghiên cứu
Trên cơ sở các nghiên cứu có liên quan, nhóm tác giả đề xuất mô hình nghiên cứu như Hình.
Hình: Mô hình nghiên cứu đề xuất
![]() |
Nguồn: Đế xuất của nhóm tác giả
Một số giả thuyết được đưa ra như sau:
H1: Tổng chi tiêu của hộ có tương quan thuận với chi tiêu cho giáo dục.
H2: Quy mô của hộ có tương quan thuận với chi tiêu cho giáo dục.
H3: Nơi sinh sống của hộ có tác động đến chi tiêu cho giáo dục.
H4: Giới tính của chủ hộ có tác động chi tiêu cho giáo dục.
H5: Tuổi của chủ hộ có tương quan thuận với chi tiêu cho giáo dục.
H6: Trình độ học vấn của chủ hộ có tương quan thuận với chi tiêu cho giáo dục.
H7: Số thành viên đang đi học có tương quan thuận với chi tiêu cho giáo dục.
H8: Trợ cấp giáo dục có tương quan thuận với chi tiêu cho giáo dục.
Phương pháp nghiên cứu
Nghiên cứu được thực hiện dựa trên dữ liệu Khảo sát mức sống do Cục Thống kê tỉnh Đồng Tháp thu thập trong năm 2018 với cỡ mẫu 94 quan sát. Dữ liệu được mã hóa và đưa vào phần mềm SPSS 20.0 để phân tích.
KẾT QUẢ NGHIÊN CỨU
Mô tả dữ liệu nghiên cứu
Thống kê mô tả cho thấy trong 94 hộ nghiên cứu, có 78 hộ sống ở khu vực nông thôn (tương ứng 83,0%) và 16 hộ sống ở khu vực thành thị (tương ứng 17,0%). Phân theo giới tính chủ hộ, có 72 chủ hộ là nam, chiếm 76,6% và 22 chủ hộ là nữ, chiếm 23,4%. Phân theo nghề nghiệp, trong 94 chủ hộ, chiếm phần lớn là lao động giản đơn với 68 người (chiếm 72,3%), sau đó là lao động có kỹ năng với 12 người (chiếm 12,8%); 11 người là nhân viên văn phòng, nhân viên dịch vụ (chiếm 11,7%) và 3 người là nhà lãnh đạo, nhà chuyên môn (chiếm 3,2%).
Bảng 1: Mô tả các biến định lượng trong nghiên cứu
![]() |
Nguồn: Kết quả tính toán từ KSMS 2018
Tổng thu nhập (thunhap) biến thiên trong khoảng 25.000 nghìn đồng đến 390.921 nghìn đồng với trung bình 129.930 nghìn đồng và độ lệch chuẩn 66.064 nghìn đồng. Mặt khác, hệ số biến thiên (CV = 66.064/129.930) = 50,85% cho thấy, thu nhập chênh lệch nhiều giữa các hộ gia đình. Chi cho giáo dục (chiGD) biến thiên trong khoảng 180 nghìn đồng đến 126.000 nghìn đồng với trung bình 8.206 nghìn đồng và độ lệch chuẩn 16.186 nghìn đồng. Mặt khác hệ số biến thiên (CV = 16.186 /8.206) = 197,26% cho thấy, chi cho giáo dục có sự chênh lệch rất lớn giữa các hộ gia đình. Quy mô hộ gia đình (quymo) biến thiên trong khoảng (2;8) người, với trung bình 4 người và độ lệch chuẩn 1 người. Hệ số biến thiên (CV = 1,2/4,3) = 29,0%, cho thấy quy mô hộ gia đình không chênh lệch nhiều giữa các hộ gia đình. Số thành viên đi học (tvdihoc) của hộ gia đình nằm trong khoảng (0;3) người, với trung bình là 1 người; Trợ cấp giáo dục mà hộ nhận được nằm trong khoảng (0;5.320) nghìn đồng với trung bình 138 nghìn đồng/hộ. Hệ số biến thiên của trợ cấp giáo dục là 448,34% cho thấy, sự chênh lệch lớn giữa các hộ gia đình. Chủ hộ có tuổi đời nhỏ nhất là 33 tuổi và cao nhất là 80, tuổi trung bình là 51 tuổi. Về trình độ học vấn của chủ hộ, chủ hộ có trình độ thấp nhất là không đi học (số năm đi học bằng 0) và cao nhất là thạc sĩ (số năm đi học là 18 năm), số năm đi học trung bình là 7,5 năm.
Phân tích tương quan
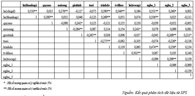
Từ ma trận hệ số tương quan (Bảng 2) có thể thấy, một số biến có ảnh hưởng đến chi tiêu cho giáo dục có ý nghĩa thống kê ở mức 5% như: thu nhập, nơi sống, trình độ chủ hộ, số thành viên đang đi học, chủ hộ có nghề nghiệp là lãnh đạo, nhà chuyên môn, nhân viên văn phòng, dịch vụ bán hàng. Các biến kỳ vọng ban đầu như quy mô hộ, giới tính chủ hộ, tuổi chủ hộ và trợ cấp giáo dục không có tương quan với biến chi tiêu cho giáo dục, nhóm tác giả loại khỏi mô hình khi thực hiện hồi quy. Bên cạnh đó, kết quả phân tích tương quan Pearson còn cho thấy, một số cặp biến độc lập có tương quan với nhau: thu nhập – quy mô hộ, thu nhập – trình độ chủ hộ, trình độ chủ hộ - chủ hộ là lãnh đạo/nhà chuyên môn, …. Tuy nhiên hệ số tương quan giữa các cặp biến đều < 0,6, cho thấy chưa có dấu hiệu đa cộng tuyến.
Bảng 2: ma trận hệ số tương quan giữa các biến
![]() |
Phân tích hồi quy
Bảng 3: Kết quả ước lượng mô hình hồi quy
| Mô hình | R | R2 | R2 hiệu chỉnh | Sai số ước lượng | Hệ số Durbin-Watson | |||||
| 1 | 0,693a | 0,480 | 0,450 | 1,03567 | 1,779 | |||||
| Mô hình | Hệ số hồi quy chưa chuẩn hóa | Hệ số hồi quy Chuẩn hóa | Giá trị t | Mức ý nghĩa |
| |||||
| B | S.E | Beta |
| |||||||
| 1 | Hằng số | -5,872 | 2,533 |
| -2,318 | 0,023 |
| |||
| ln(thunhap) | 1,121 | 0,218 | 0,421 | 5,145 | 0,000 |
| ||||
| noisong | 0,688 | 0,290 | 0,186 | 2,375 | 0,020 |
| ||||
| tvdihoc | 0,474 | 0,143 | 0,260 | 3,323 | 0,001 |
| ||||
| nghe_1 | 1,514 | 0,650 | 0,192 | 2,328 | 0,022 |
| ||||
| nghe_2 | 0,938 | 0,337 | 0,217 | 2,784 | 0,007 |
| ||||
Với mức ý nghĩa 5%, Bảng 3 cho thấy, tất cả các biến trong mô hình hồi quy đều có có ý nghĩa thống kê. Mô hình hồi quy cuối cùng được viết lại như sau:
ln(chigd) = - 5,872 + 1,121*ln(thunhap) + 0,688*noisong + 0,474*tvdihoc + 1,514 *nghe_1 + 0,938*nghe_2 + εi
Cụ thể:
Với mức ý nghĩa 5%, trong điều kiện các nhân tố khác không thay đổi, nếu thu nhập của hộ gia đình tăng 1% thì chi giáo dục tăng 1,121% và ngược lại.
Với mức ý nghĩa 5%, trong điều kiện các nhân tố khác không thay đổi, hộ sống ở thành thị chi tiêu cho giáo dục cao hơn hộ sống ở nông thôn 68,8%.
Với mức ý nghĩa 5%, trong điều kiện các nhân tố khác không thay đổi, nếu số thành viên đi học của hộ gia đình tăng thêm 1 người thì chi giáo dục tăng 47,4% và ngược lại.
Với mức ý nghĩa 5%, trong điều kiện các nhân tố khác không thay đổi, chủ hộ có nghề nghiệp là lãnh đạo/nhà chuyên môn chi tiêu cho giáo dục cao hơn chủ hộ có nghề nghiệp là lao động giản đơn 151,4%.
Với mức ý nghĩa 5%, trong điều kiện các nhân tố khác không thay đổi, chủ hộ có nghề nghiệp là nhân viên văn phòng/nhân viên dịch vụ và bán hàng chi tiêu cho giáo dục cao hơn chủ hộ có nghề nghiệp là lao động giản đơn 93,8%.
KẾT LUẬN VÀ HÀM Ý QUẢN TRỊ
Kết quả chạy mô hình hồi quy tuyến tính cho thấy, Chi tiêu cho giáo dục của hộ gia đình trên địa bàn tỉnh Đồng Tháp chịu tác động bởi 4 nhân tố: thu nhập của hộ, nơi sống của hộ, số thành viên đi học, nghề nghiệp chủ hộ (chủ hộ là lãnh đạo/nhà chuyên môn, chủ hộ là nhân viên văn phòng/nhân viên bán hàng).
Qua phân tích kết quả nghiên cứu, nhóm tác giả đã xác định được các nhân tố ảnh hưởng có ý nghĩa đến chi tiêu giáo dục của hộ gia đình tỉnh Đồng Tháp tại thời điểm năm 2018. Từ đó, đưa ra một số hàm ý như sau:
Một là, việc tăng chi tiêu giáo dục chịu tác động lớn bởi tăng thu nhập của hộ gia đình. Do đó để tăng đầu tư cho giáo dục, địa phương cần quan tâm đến các chính sách về tiền lương nhằm tăng thu nhập, tạo nguồn để tăng mức chi cho giáo dục. Thực tế ở Đồng Tháp, 81,8% dân cư sống ở khu vực nông thôn, với 55,6% lao động đang làm nghề trong nông lâm ngư nghiệp hoặc nghề giản đơn. Do đó, để cải thiện mức sống của dân cư, đặc biệt là dân cư khu vực nông thôn – vùng có chi tiêu thấp hơn so với khu vực thành thị, cần quan tâm các chính sách phát triển khu vực nông thôn: tái cơ cấu ngành nông nghiệp đi đôi với phát triển nông thôn mới, giảm nghèo bền vững. khuyến khích lao động khu vực nông nghiệp chuyển dịch sang khu vực công nghiệp đi đôi với định hướng nghề nghiệp, đào tạo kỹ năng đáp ứng yêu cầu công việc để tránh vòng luẩn quẩn chuyển đổi nghề nghiệp nhưng thiếu trình độ, thất nghiệp, quay lại với nghề cũ.
Hai là, chi phí cho giáo dục tăng cao khi hộ gia đình sống ở khu vực thành thị. Sự gia tăng chi phí này do hộ gia đình chủ động lựa chọn dịch vụ giáo dục như đã phân tích ở phần kết luận, do đó đây có thể xem là tác động khách quan khó can thiệp về mặt chính sách. Mặc dù vậy, địa phương vẫn cần quan tâm đầu tư hạ tầng trường lớp ở khu vực nông thôn nhằm giảm bớt chênh lệch giữa hai khu vực thành thị, nông thôn, tạo điều kiện cho người dân khu vực nông thôn có thêm sự lựa chọn trong việc học tập.
Ba là, nghề nghiệp chủ hộ tác động nhiều đến chi tiêu cho giáo dục của hộ gia đình: Chủ hộ có nghề nghiệp là nhà lãnh đạo, nhà chuyên môn, nhân viên văn phòng, nhân viên dịch vụ và bán hàng thì chi tiêu cho giáo dục cao hơn so với chủ hộ là lao động giản đơn. Điều này vừa cho thấy, công việc có chuyên môn cao thì thu nhập cũng cao, làm tăng chi tiêu cho giáo dục. Bên cạnh đó cũng gián tiếp cho thấy, nghề nghiệp yêu cầu trình độ học vấn cao thì nhận thức về giáo dục của chủ hộ cũng cao, từ đó tăng đầu tư cho giáo dục của con em mình. Điều này hàm ý các chính sách khuyến khích mở rộng việc làm là quan trọng nhưng bên cạnh đó cần đào tạo lực lượng lao động có trình độ chuyên môn cao, đồng nghĩa với việc đầu tư cho giáo dục ngay từ bây giờ cho thế hệ trẻ, cũng chính là lực lượng lao động chính trong tương lai.
Bốn là, số thành viên đang đi học tăng thì chi cho giáo dục cũng tăng. Điều này vừa có ý nghĩa tích cực vừa có ý nghĩa tiêu cực. Về mặt tích cực, nhiều thành viên đi học thì tỷ lệ trẻ được đến trường cao, trình độ dân trí cao nhưng điều đó cũng làm tăng gánh nặng về chi phí học tập cho hộ gia đình. Do đó, bên cạnh chính sách dân số nhằm duy trì quy mô hộ gia đình ở mức nhỏ, địa phương cần quan tâm đến các chính sách hỗ trợ học bổng, giảm học phí nhằm giúp giảm bớt áp lực chi tiêu giáo dục do có thêm thành viên đi học, khuyến khích những em có hoàn cảnh khó khăn đến trường./.
TÀI LIỆU THAM KHẢO
1. David L. Loudon and Albert J. Della Bitta (1993). Consumer Behavior: Concepts and Applications, 4th ed. New York: McGraw-Hill, inc.
2. Donkoh, S. A. and Amikuzuno, J. A. (2011). The determinants of household education expenditure in Ghana, Education Research Reviews, 6, 570 -579.
3. Hair, J. F. Jr., Anderson, R.E., Tatham, R. L. and Black, W.C. (1998). Multivariate Data Analysis, 5th Edition, Upper Saddle River, NJ: Prentice Hall.
4. Huy Vu Quang (2012). Determinants of educational expenditure in Vietnam. RMIT University, Vietnam, International Journal of Applied Economics, 9(1), 59-72.
5. Mincer, J., and Polachek, S. (1974). Family Investments in Human Capital: Earnings of Women, Journal of Political Economic, 82, S76-S108.
https://doi.org/10.1086/260293.
6. Mauldin, T., Mimura, Y., and Lino, M. (2001). Parental expenditures on children's education, Journal of Family and Economic Issues, 22(3), 221-241.
7. Robert S. Pindyck and Daniel L. Rubinfeld (2013). Microeconomics, 8th ed. USA: Pearson Education, Inc.
8. Schultz, T. W. (1961). Investment in human capital, The American Economic Review, 51(1), 1-17.
9. Tabachnick, B.G., and Fidell, L.S. (2012). Using Multivariate Statistic, 6th Edition.
10. Tilak, J. B. (2002). Determinants of household expenditure on education in rural India (No.88), New Delhi: Council of Applied Economic Research.
| Ngày nhận bài:23/5/2025; Ngày phản biện: 31/5/2025; Ngày duyệt đăng:10/6/2025 |




Bình luận