Dự báo nhu cầu vận tải theo mô hình TOD khu vực các nhà ga đường sắt tốc độ cao và đường sắt đô thị tại TP. Hồ Chí Minh
Bùi Quốc An
Trường Đại học Giao thông vận tải TP. Hồ Chí Minh
Email: an.bui@ut.edu.vn
Tóm tắt
Nghiên cứu áp dụng mô hình 4 bước để dự báo nhu cầu vận tải khu vực các nhà ga đường sắt tại TP. Hồ Chí Minh theo hướng giao thông công cộng. Trên cơ sở đánh giá hiện trạng giao thông khu vực, các thông tin dân số - kinh tế - xã hội, chức năng sử dụng đất quanh ga và thông tin mạng lưới giao thông. Hai kịch bản được so sánh: (1) Không tổ chức vận tải theo mô hình, (2) Tổ chức vận tải theo mô hình giao thông công cộng. Kết quả nghiên cứu đã dự báo lưu lượng giao thông tại tại khu vực nhà ga điển hình, đánh giá cải thiện và mức độ phục vụ theo hướng giảm ùn tắc, đồng thời thu hút thêm hành khách sang metro.
Từ khóa: Dự báo nhu cầu vận tải, mô hình giao thông công cộng, nhà ga đường sắt, TP. Hồ Chí Minh
Summary
This study applies the four-step model to forecast transportation demand in the areas surrounding railway stations in Ho Chi Minh City, with a focus on public transit-oriented development. Based on an assessment of current traffic conditions, demographic and socio-economic data, land use functions around stations, and transportation network information, two scenarios are compared: (1) without organized transport according to the model, and (2) with transport organized following a public transit model. The results forecast traffic volumes in representative station areas, assess improvements and service levels in terms of congestion reduction, and evaluate the potential for increased metro ridership.
Keywords: Transport demand forecasting, public transit model, railway stations, Ho Chi Minh City
Đặt vấn đề
TP. Hồ Chí Minh là trung tâm kinh tế, tài chính và công nghiệp lớn nhất của Việt Nam, đang trong quá trình đô thị hóa nhanh chóng. Sự gia tăng dân số và mở rộng không gian đô thị kéo theo nhu cầu đi lại ngày càng cao, đặt ra áp lực lớn đối với hệ thống giao thông hiện hữu. Trong những năm gần đây, TP. Hồ Chí Minh đã đầu tư mạnh mẽ vào phát triển hạ tầng giao thông vận tải, đặc biệt là giao thông công cộng (GTCC). Tuy nhiên, tỷ lệ sử dụng phương tiện công cộng vẫn còn rất thấp, chỉ chiếm dưới 5% tổng số chuyến đi, trong khi phần lớn nhu cầu đi lại vẫn dựa vào xe máy cá nhân. Điều này không chỉ làm gia tăng ùn tắc và ô nhiễm môi trường mà còn cản trở sự phát triển bền vững của đô thị.
Để đáp ứng nhu cầu đi lại ngày càng lớn và chuyển dịch hành vi sử dụng phương tiện cá nhân sang các hình thức vận tải bền vững, việc phát triển hệ thống vận tải hành khách khối lượng lớn trở thành một yêu cầu cấp thiết. Trong đó, mô hình phát triển đô thị định hướng giao thông công cộng (Transit Oriented Development - TOD) được xem là một giải pháp chiến lược. Mô hình TOD tích hợp quy hoạch sử dụng đất với phát triển hệ thống GTCC, tập trung vào các khu vực quanh nhà ga với chức năng sử dụng đất hỗn hợp và thiết kế không gian thuận tiện cho người đi bộ, tăng cường kết nối liên phương thức.
Các tuyến đường sắt đô thị (ĐSĐT) và đường sắt tốc độ cao (ĐSTĐC) đã và đang triển khai tại tại TP. Hồ Chí Minh đóng vai trò quan trọng trong cấu trúc giao thông vùng đô thị. Các khu vực quanh nhà ga là những điểm trung chuyển có khả năng lớn thu hút người sử dụng GTCC nếu được quy hoạch và tổ chức không gian vận tải hợp lý theo mô hình TOD. Do đó, việc dự báo nhu cầu vận tải tại các khu vực này là bước đi quan trọng nhằm hỗ trợ quá trình ra quyết định quy hoạch, đầu tư và tổ chức giao thông phù hợp. Thông qua mô hình dự báo, có thể xây dựng các kịch bản phát triển đô thị và tổ chức giao thông để đánh giá tác động của từng yếu tố như mật độ dân cư, phân bố điểm dừng phương tiện công cộng, hạ tầng kết nối liên phương thức đến hành vi đi lại, năng lực phục vụ và khả năng tiếp cận hệ thống vận tải công cộng.
ĐÁNH GIÁ THỰC TRẠNG VÀ ĐỀ XUẤT PHƯƠNG PHÁP DỰ BÁO
Thực trạng tổ chức vận tải tại các nhà ga đường sắt trên địa bàn TP. Hồ Chí Minh
Trước yêu cầu phát triển đô thị bền vững, TP. Hồ Chí Minh đã và đang đặt mục tiêu áp dụng mô hình TOD và tạo nên hệ thống giao thông tích hợp, ưu tiên phương tiện công cộng và hạn chế sử dụng xe cá nhân. Các nhà ga ĐSTĐC và ĐSĐT được định vị là các khu trung chuyển đa phương thức, tuy nhiên quá trình triển khai mô hình TOD cho thấy nhiều hạn chế và thách thức.
TP. Hồ Chí Minh đã triển khai 17 tuyến xe buýt trợ giá nhằm tăng cường kết nối đa phương thức với tuyến ĐSĐT số 1, góp phần thúc đẩy hiệu quả vận hành hệ thống GTCC. Đây là một trong những nỗ lực để giải quyết vấn đề "chặng cuối", đồng thời tối ưu hóa mạng lưới vận tải khi Metro số 1 đi vào hoạt động.
Hình 1: Sơ đồ kết nối hệ thống xe buýt với nhà ga tuyến đường sắt đô thị số 1
![]() |
Nguồn: Trung tâm Quản lý GTCC, 2025
Các tuyến xe buýt được thiết kế để kết nối 14 nhà ga dọc tuyến Metro số 1 với các khu vực dân cư, trung tâm thương mại và khu công nghiệp lân cận. Phạm vi kết nối của các tuyến tập trung các khu vực Quận 1, Thủ Đức, Bình Thạnh (các thông tin địa danh trong nghiên cứu là thông tin trước ngày 1/7/2025), với tổng chiều dài trung bình mỗi tuyến từ 10-15 km và tần suất hoạt động cao (10-15 phút/chuyến vào giờ cao điểm), cùng mức giá vé được trợ giá (5.000-10.000 đồng/vé).
| Điểm mạnh | Điểm yếu |
| - TP.HCM đã xác định rõ định hướng phát triển giao thông theo mô hình TOD trong quy hoạch tổng thể. - Hệ thống các tuyến ĐSĐT và ĐSTĐC được quy hoạch nhằm định hình trục GTCC chủ đạo. - Một số nhà ga đô thị như Bến Thành, Thảo Điền… có tiềm năng lớn trở thành trung tâm trung chuyển đa phương thức. | - Hạ tầng giao thông kết nối và giao thông tĩnh quanh nhà ga còn thiếu đồng bộ, thiếu bãi đỗ xe, bến trung chuyển và tiện ích phụ trợ. - Sự phối hợp giữa các phương thức vận tải còn rời rạc, thiếu tích hợp vận hành và thông tin hành khách. - Ứng dụng công nghệ vào quản lý vận tải công cộng còn hạn chế, thiếu dữ liệu và hệ thống số hóa phục vụ điều hành. - Quy hoạch sử dụng đất xung quanh nhà ga còn phân tán, chưa khai thác hiệu quả chức năng TOD. |
| Thách thức | Cơ hội |
| - Tỷ lệ sử dụng xe cá nhân tiếp tục tăng, trong khi chính sách kiểm soát chưa đủ mạnh. - Chậm tiến độ triển khai các dự án GTCC như metro, BRT, xe buýt kết nối. - Thiếu nguồn lực đầu tư cải tạo không gian đô thị và phát triển hạ tầng. - Sự phân tán đô thị khiến mô hình TOD khó đạt hiệu quả cao trong ngắn hạn. | - Sự quan tâm của Chính phủ và TP.HCM trong chiến lược phát triển GTCC, hướng tới đô thị xanh, bền vững. - Các chương trình hỗ trợ kỹ thuật, tài chính từ quốc tế trong lĩnh vực phát triển đô thị theo mô hình TOD. - Nhu cầu sử dụng phương tiện công cộng sẽ gia tăng trong bối cảnh chi phí sử dụng xe cá nhân ngày càng cao và áp lực ùn tắc. |
Để đánh giá nhu cầu vận tải các khu vực nghiên cứu nhằm đề xuất các giải pháp tổ chức vận tải khả thi, nghiên cứu sử dụng các công cụ phân tích, dự báo và đánh giá nhu cầu giao thông tiếp cận khu vực các nhà ga.
Hình 2: Mô tả phương pháp dự báo nhu cầu vận tải
![]() |
Nguồn: McNally, Michael G (2000)
Mô hình được xây dựng trên cơ sở các kịch bản quy hoạch đô thị theo mô hình TOD, tập trung vào việc dự báo nhu cầu vận tải phát sinh tại các khu vực tiếp cận nhà ga ĐSTĐC và ĐSĐT. Phương pháp dự báo nhu cầu giao thông gián tiếp dựa trên nghiên cứu các nghiên cứu của McNally, Michael G (2000). Việc sử dụng phương pháp dự báo nhu cầu giao thông gián tiếp giúp dự báo được lưu lượng giao thông trên các tuyến vận tải, dân cư và kinh tế xã hội, ngoài ra còn giúp mô phỏng luồng hành khách, trên mạng lưới giao thông. Nghiên cứu thu thập thông tin về báo cáo đầu tư các dự án đầu tư phát triển đô thị xung quanh các nhà ga: vị trí, diện tích xây dựng, chức năng sử dụng đất… từ đó xây dựng mô hình mô phỏng dòng giao thông, đánh giá việc phát triển mô hình TOD ảnh hưởng đến nhu cầu vận tải.
XÂY DỰNG MÔ HÌNH DỰ BÁO VÀ ĐÁNH GIÁ NHU CẦU GIAO THÔNG TIẾP CẬN KHU VỰC CÁC NHÀ GA
Xây dựng mô hình dự báo theo phương pháp 4 bước hướng đến mục tiêu dự báo và đánh giá nhu cầu giao thông tiếp cận các nhà ga, điều chỉnh phù hợp với đặc điểm không gian và hành vi giao thông đặc thù tại các khu vực phát triển. Nội dung các bước của phương pháp dự báo nhu cầu gián tiếp như sau:
Bước 1: Dự báo nhu cầu đi lại phát sinh và thu hút
Nhu cầu phát sinh và thu hút của khu vực nghiên cứu được tính theo hàm số hồi quy theo các biến dân số, lao động và học sinh, sinh viên. Phương trình phát sinh (Pi) và thu hút (Aj) chuyến đi là các hàm hồi quy tuyến tính được tham khảo từ “Quy hoạch TP. Hồ Chí Minh thời kỳ 2021-2030, tầm nhìn đến năm 2050” với 3 biến lần lượt là dân số, lao động và học sinh sinh viên. Cụ thể như sau:
- Mô hình phát sinh chuyến đi:
Gi = (1,006536*Population) + (2,63507*Workers) + (1,76379*Students) (1)
- Mô hình thu hút chuyến đi:
Aj = (0,966569*Population) + (2,73488*Workers) + (1,713429*Students) (2)
Bước 2: Dự báo phân bổ chuyến đi
Mô hình hấp dẫn được sử dụng phổ biến, trong đó số lượng chuyến đi giữa 2 điểm được xác định dựa trên khả năng phát sinh, khả năng thu hút và chi phí đi lại giữa 2 điểm. Các yếu tố cản trở có thể được tính toán dựa trên khoảng cách, thời gian di chuyển hoặc chi phí.
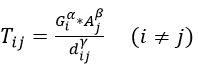
Trong bối cảnh TOD, khoảng cách tiếp cận ưu tiên thường nằm trong bán kính đi bộ 400-800 mét hoặc di chuyển bằng xe đạp và phương tiện kết nối trong phạm vi 2-5 km. Xác định số chuyến đi giữa mỗi cặp vùng giao thông. Số chuyến đi phân bổ của mỗi cặp vùng phụ thuộc vào mức độ hấp dẫn của các vùng thu hút, chi phí, tính tiện lợi và hạn chế của việc đi lại. Sau khi ước tính chuyến đi nội vùng, các chuyến đi liên vùng được ước tính bằng cách sử dụng mô hình chính thức. Mô hình được phát triển có các dạng thức sau:
![]() |
Trong đó:
Tij: số chuyến đi liên vùng giữa vùng i và j
Gi: Tổng số hành trình phát sinh từ vùng i
Aj: Tổng số hành trình thu hút đến vùng j
dij: Khoảng cách liên vùng giữa vùng i và j
Bước 3: Dự báo phân chia phương thức vận tải
Lựa chọn phương tiện, nhằm xác định tỷ lệ người sử dụng các phương thức tiếp cận khác nhau để đến nhà ga. Mô hình logit đa lựa chọn được áp dụng để tính xác suất lựa chọn phương tiện dựa trên tiện ích cảm nhận của người dùng đối với từng lựa chọn. Xác định số chuyến đi giữa mỗi cặp vùng theo từng phương thức vận tải (xe máy, xe hơi, xe buýt, ĐSĐT...).
Bảng 1: Phân bổ chuyến đi hiệu chỉnh dựa theo mô hình cơ sở
| Phương thức | Số lượng chuyến đi | Tỷ lệ % | ||
| Chuyến đi/ngày | 2019 | 2025 | 2019 | 2025 |
| Xe đạp | 1.712.601 | 527.172 | 6,6 | 1,8 |
| GTCC | 1.122.654 | 1.444.126 | 4,4 | 5,0 |
| Ô tô | 1.151.730 | 2.145.272 | 4,5 | 7,4 |
| Xe máy | 21.779.472 | 24.919.913 | 84,5 | 85,8 |
| Tổng | 25.766.457 | 29.036.483 | 100 | 100 |
Nguồn: Tính toán của tác giả
Mô hình cơ sở được xây dựng năm 2019 dựa trên dữ liệu khảo sát về lượng nhu cầu lưu lượng trên các tuyến đường khu vực để phản ánh đúng thực tế, mô hình mô phỏng năm 2025 đã hiệu chỉnh lại mô hình phân chia phương thức để phản ánh đúng hơn hiện trạng giao thông và các tác động khác nhau sụt giảm mức sử dụng xe đạp, tăng trưởng sở hữu ô tô cá nhân, xe máy.
Đối với khu vực TOD, các phương thức ưu tiên bao gồm đi bộ, xe đạp, xe buýt trung chuyển và dịch vụ chia sẻ xe, do được khuyến khích bởi thiết kế đô thị thân thiện với người đi bộ và tích hợp GTCC.
Bước 4: Dự báo phân bổ lưu lượng giao thông trên mạng lưới đường
Phân bổ lưu lượng giao thông trên tuyến đường nhằm xác định tuyến đường hoặc hành lang giao thông mà người dân sẽ sử dụng để tiếp cận nhà ga. Mô hình cân bằng lưu lượng được sử dụng để phân bổ lưu lượng giao thông trên mạng lưới theo nguyên tắc người dùng sẽ lựa chọn tuyến đường tối ưu nhất cho mình. Khi áp dụng cho khu vực TOD, cần chú trọng đến hạ tầng đi bộ, tuyến trung chuyển ngắn, kết nối liên phương thức và các điểm nghẽn giao thông cục bộ. Từ ma trận OD theo các phương thức vận tải, các chuyến đi bằng các loại phương tiện sẽ được quy đổi về xe tiêu chuẩn. Sau đó, tiến hành phân bổ lên mạng lưới đường bộ dựa trên cơ sở mối quan hệ giữa thời gian đi lại, lưu lượng giao thông và năng lực thông hành của đường.
KẾT QUẢ ĐÁNH GIÁ HỆ THỐNG GIAO THÔNG VẬN TẢI: TRƯỜNG HỢP KHU VỰC NHÀ GA THẢO ĐIỀN
Tổng hợp kết quả dự báo nhu cầu vận tải khu vực nghiên cứu
Trên cơ sở dữ liệu lưu lượng giao thông thu thập được và phương pháp mô hình hóa giao thông, đề xuất so sánh 2 kịch bản tổ chức vận tải: Kịch bản 1 - giữ nguyên hiện trạng phát triển hạ tầng và tổ chức giao thông (kịch bản không tác động); và Kịch bản 2 - áp dụng mô hình TOD với định hướng phát triển đô thị mật độ cao, kết nối đa phương tiện, ưu tiên giao thông công cộng và phi cơ giới.
Hình 3: Kết quả dự báo nhu cầu vận tải khu vực nghiên cứu
![]() |
Các Kịch bản 1 và Kịch bản 2 được dự báo đến năm 2030 nhằm đánh giá hiệu quả vận hành giao thông thông qua các chỉ tiêu kỹ thuật như: lưu lượng xe, hệ số sử dụng khả năng thông hành (V/C) và mức độ phục vụ tuyến đường (Level of Service). Mô hình này được thiết lập trên cơ sở số liệu khảo sát thực trạng, dữ liệu không gian, quy hoạch phát triển đô thị, bao gồm thông tin chi tiết về các dự án xây dựng xung quanh nhà ga như vị trí, diện tích khu đất, tổng diện tích sàn xây dựng, hệ số sử dụng đất và chức năng sử dụng đất (nhà ở, thương mại, văn phòng, dịch vụ). Trên cơ sở các kịch bản phát triển hạ tầng và đô thị khác nhau, mô hình mô phỏng giao thông được sử dụng để đánh giá hiệu quả vận hành của mạng lưới, các kịch bản tương lai được xây dựng như công cụ hỗ trợ ra quyết định nhằm hướng đến mục tiêu phát triển mạng lưới giao thông bền vững.
Bảng 2: Kết quả dự báo lưu lượng và đánh giá các tuyến đường kết nối nhà ga Thảo Điền
| TT | Tuyến | Hướng tuyến | Kịch bản 1 | Kịch bản 2 | ||||
| Lưu lượng (XCQĐ/h) | V/C | MPV | Lưu lượng (XCQĐ/h) | V/C | MPV | |||
| 1 | Cầu Sài Gòn | Quận Bình Thạnh - Quận 2 | 5.284 | 0,65 | C | 5.190 | 0,64 | C |
| Quận 2 - Quận Bình Thạnh | 5.217 | 0,64 | C | 5.124 | 0,63 | C | ||
| 2 | Võ Nguyên Giáp | Cầu Sài Gòn - Cầu Rạch Chiếc | 5.704 | 0,59 | C | 5.603 | 0,58 | C |
| Cầu Rạch Chiếc - Cầu Sài Gòn | 5.666 | 0,58 | C | 5.565 | 0,57 | C | ||
| 3 | Song hành Võ Nguyên Giáp | Cầu Sài Gòn - Cầu Rạch Chiếc | 1.106 | 0,68 | C | 1.041 | 0,64 | C |
| Cầu Rạch Chiếc - Cầu Sài Gòn | 1.041 | 0,64 | C | 981 | 0,61 | C | ||
| 4 | Trần Não (Song hành -Võ Nguyên Giáp)
| Trần Não - Võ Nguyên Giáp | 1.853 | 0,38 | B | 1.763 | 0,36 | B |
| Võ Nguyên Giáp - Trần Não | 1.962 | 0,40 | B | 1.886 | 0,39 | B | ||
| 5 | Trần Não (Vòng xoay đi Thảo Điền) | Võ Nguyên Giáp - Phường Thảo Điền | 2.215 | 0,68 | C | 2.086 | 0,64 | C |
| Phường Thảo Điền - Võ Nguyên Giáp | 1.544 | 0,48 | B | 1.454 | 0,45 | B | ||
| 6 | Trần Não 2 (Vòng xoay đi Lương Định Của) | Lương Định Của - Võ Nguyên Giáp | 2.294 | 0,61 | C | 2.077 | 0,55 | C |
| Phường Thảo Điền - Lương Định Của | 2.318 | 0,61 | C | 2.090 | 0,55 | C | ||
| 7 | Quốc Hương | Xuân Thủy - Võ Nguyên Giáp | 1.096 | 0,47 | B | 918 | 0,39 | B |
| Võ Nguyên Giáp - Xuân Thủy | 1.122 | 0,48 | B | 940 | 0,40 | B | ||
| 8 | Song hành Võ Nguyên Giáp (Phường Thảo Điền) | Cầu Sài Gòn - Cầu Rạch Chiếc | 1.217 | 0,41 | B | 1.146 | 0,39 | B |
| Cầu Rạch Chiếc - Cầu Sài Gòn | 1.406 | 0,48 | B | 1.325 | 0,45 | B | ||
| 9 | Thảo Điền | Xuân Thủy - Võ Nguyên Giáp | 2.332 | 0,48 | B | 2.197 | 0,45 | B |
| Võ Nguyên Giáp - Xuân Thủy | 2.219 | 0,46 | B | 2.090 | 0,43 | B | ||
| 10 | Trần Ngọc Diện | Trần Ngọc Diện - Thảo Điền | 388 | 0,27 | A | 365 | 0,25 | A |
| Thảo Điền - Trần Ngọc Diện | 369 | 0,26 | A | 348 | 0,24 | A | ||
* XCQĐ: xe con quy đổi; *V/C: hệ số lưu lượng/khả năng thông hành; MPV: mức phục vụ.
Nguồn: Tính toán của tác giả
Số liệu Bảng 2 cho thấy:
Trong Kịch bản 1, không có giải pháp mới nào được bổ sung ngoài hạ tầng và tổ chức vận tải hiện tại. Theo mô phỏng, các tuyến đường quanh ga Thảo Điền trong kịch bản này có lưu lượng xe lớn (hàng nghìn xe mỗi giờ), dẫn đến tỷ lệ V/C khoảng 0,6-0,7 và MPV chủ yếu ở mức C. Điều này cho thấy các tuyến chính đang vận hành ở ngưỡng tải cao: tốc độ xe bị giảm do mật độ lưu thông lớn. Thiếu sự tái cấu trúc tổ chức vận tải theo hướng công cộng sẽ khiến giao thông lún sâu vào phát triển đô thị lan toả: đô thị mở rộng theo hướng ô tô gia tăng quãng đường đi lại và phát thải khí nhà kính.
Kịch bản 2 đề xuất tổ chức vận tải theo mô hình TOD khu vực ga Thảo Điền và vùng phụ cận được phát triển thành khu đô thị mật độ cao, đa chức năng. Hệ thống giao thông được liên kết đa phương tiện: hành khách dễ dàng chuyển đổi giữa tàu điện, xe buýt, xe đạp, đi bộ và các phương tiện khác. Xây dựng các cầu bộ hành, lối đi bộ, làn đường xe đạp kết nối trực tiếp đến các nhà ga và bãi đậu xe đạp, đồng thời áp dụng vé điện tử và quản lý giao thông thông minh. Nhờ đó, Kịch bản 2 tích hợp đồng bộ mạng GTCC và khu dân cư, giúp hành khách chuyển tuyến thuận tiện và giảm thời gian chờ đợi.
Khi so sánh, kịch bản 2 tốt hơn Kịch bản 1 trên hầu hết các tiêu chí đánh giá. Về kỹ thuật vận tải, kịch bản 2 cho thấy lưu lượng xe đường bộ giảm nhẹ và khả năng thông hành cải thiện: V/C các tuyến chính thấp hơn hoặc tương đương Kịch bản 2, cho phép hệ thống hoạt động ổn định hơn. Mức độ phục vụ trên các trục chính trong Kịch bản 2 duy trì ở mức C hoặc B, tương đương hoặc cao hơn so với Kịch bản 1. Về giao thông công cộng, Kịch bản 2 cho hiệu quả cao hơn rõ rệt: mạng lưới Metro, xe buýt được khai thác tối ưu, thu hút thêm hành khách (lộ trình công cộng thuận tiện sẽ kéo giảm số chuyến xe máy).
KẾT LUẬN
Nghiên cứu đã ứng dụng phương pháp dự báo nhu cầu giao thông 4 bước nhằm mô phỏng và đánh giá các kịch bản tổ chức vận tải quanh ga Thảo Điền với các kịch bản không tác động và kịch bản tổ chức vận tải theo mô hình TOD, so sánh hiệu quả của giải pháp phát triển TOD đối với lưu lượng giao thông. Kết quả nghiên cứu cho thấy, mô hình TOD, khi được triển khai đồng bộ về quy hoạch không gian đô thị và hạ tầng giao thông, có khả năng làm giảm áp lực lưu lượng xe cá nhân, cải thiện hệ số V/C và mức độ phục vụ trên mạng lưới đường bộ xung quanh các nhà ga ĐSTĐC và ĐSĐT tại TP. Hồ Chí Minh. Tổ chức vận tải theo mô hình TOD tăng khả năng thu hút hành khách sang sử dụng GTCC (metro, xe buýt trung chuyển, xe đạp, đi bộ) thay vì phương tiện cá nhân, góp phần giảm ùn tắc và ô nhiễm môi trường.
Tài liệu tham khảo:
1. Công ty cổ phần xe khách Phương Trang (2024). Báo cáo đề xuất 17 tuyến xe buýt điện kết nối tuyến đường sắt đô thị số 1.
2. McNally, Michael G (2000). The four step model.
3. Sở Giao thông Vận tải TP. Hồ Chí Minh (2022). Báo cáo tình hình hạ tầng giao thông TP. Hồ Chí Minh.
4. T. Li (2019). Assessing the Efficiency of TOD in Urban Land Use Management. Urban Studies Journal, 55(4), 1-18.
5. Trung tâm Quản lý GTCC (2025). Báo cáo kết quả hoạt động giai đoạn 2020-2024.
6. Trung tâm quản lý hạ tầng giao thông (2020). Số liệu mô hình dự báo nhu cầu giao thông trên địa bàn TP. Hồ Chí Minh.
7. UBND TP. Hồ Chí Minh (2025). Quy hoạch TP. Hồ Chí Minh thời kỳ 2021-2030, tầm nhìn đến năm 2050.
| Ngày nhận bài: 18/5/2025; Ngày phản biện: 1/7/2025; Ngày duyệt đăng: 8/7/2025 |





Bình luận