Tác động của giáo dục đại học đến tinh thần kinh doanh từ góc nhìn cấp tỉnh tại Việt Nam[1]
Từ khóa: tinh thần kinh doanh, hoạt động kinh doanh, giáo dục, Việt Nam, giáo dục đại học
Summary
Does education influence entrepreneurship within the specific context of Vietnam? Contrary to popular belief, the relationship between education and entrepreneurship is complex. Leveraging the Vietnam Household Living Standard Survey (VHLSS) datasets spanning from 2012 to 2020, coupled with provincial-level data from the General Statistics Office (GSO), the study employs a fixed effects panel data analysis and logistic regression to investigate the impact of education on entrepreneurial activities. The findings of this research reveal evidence of the positive influence of education on entrepreneurship, both at the household and provincial levels. Notably, tertiary education emerges as a powerful catalyst for entrepreneurship within Vietnamese households, underscoring the importance of advanced learning in fostering entrepreneurial decisions. Furthermore, the paper identifies a significant correlation between a higher prevalence of university teachers and students within provinces and increased rates of entrepreneurship, highlighting the broader regional dynamics of educational impact on entrepreneurial ecosystems.
Keywords: entrepreneurship, entrepreneurial activity, education, Vietnam
GIỚI THIỆU
Tinh thần kinh doanh (entrepreneurship) được xem là động lực cho tăng trưởng kinh tế và đổi mới. Mối quan hệ giữa giáo dục và tinh thần kinh doanh là chủ đề của nhiều nghiên cứu. Các nghiên cứu trước đây cho rằng, giáo dục đóng vai trò quan trọng trong việc thúc đẩy tinh thần kinh doanh và tạo điều kiện thuận lợi cho việc thành lập doanh nghiệp. Tuy nhiên, nhiều nghiên cứu khác lại cho rằng, bên cạnh việc cung cấp cho các cá nhân những kỹ năng và kiến thức cần thiết để bắt đầu, cũng như điều hành một doanh nghiệp, thì giáo dục cũng có thể có những tác động tiêu cực đến tinh thần kinh doanh. Trong bối cảnh đó, điều quan trọng về mặt thực tiễn và chính sách là phải chứng minh rằng, thành tích giáo dục, đặc biệt là ở cấp đại học, có đóng vai trò là chất xúc tác quan trọng cho tinh thần kinh doanh ở Việt Nam hay không? Do đó, nghiên cứu này được thực hiện, nhằm tìm hiểu vai trò của giáo dục đại học đối với tinh thần kinh doanh tại Việt Nam.
CƠ SỞ LÝ THUYẾT VÀ PHƯƠNG PHÁP NGHIÊN CỨU
Cơ sở lý thuyết
Giáo dục chính quy được xem là một trong những yếu tố quan trọng hàng đầu cho quyết định kinh doanh. Dựa trên các mô hình tân cổ điển, Lucas (1988) cho rằng, đầu tư vào giáo dục sẽ mang lại lợi nhuận cao hơn nhờ việc tiếp nhận kiến thức liên tục và sử dụng công nghệ. Trong khi đó, Jafari và cộng sự (2020) cho rằng, giáo dục, đặc biệt là giáo dục chính quy có thể cung cấp cho các doanh nhân những khả năng và kỹ năng hữu ích để phát triển các cơ hội kinh doanh mới. Bên cạnh đó, giáo dục được xác định là có vai trò rất quan trọng để thúc đẩy tinh thần kinh doanh, vì nó cung cấp cho các cá nhân kiến thức, sự tự tin và nhận thức về lựa chọn nghề nghiệp, cũng như giúp họ nhận thấy cơ hội để bắt đầu một hoạt động kinh doanh mới (Sánchez, 2013; Maroufkhani và cộng sự, 2018). Mặc dù tất cả các giai đoạn giáo dục đều có tác động quan trọng đến tinh thần kinh doanh, tuy nhiên giáo dục đại học được xem là có tác động lớn nhất...
Trình độ học vấn của dân cư trong một khu vực có thể ảnh hưởng đến việc gia nhập và từ bỏ kinh doanh. Xác suất để các cá nhân bắt đầu hoạt động kinh doanh mới chịu ảnh hưởng bởi sự khác biệt về trình độ học vấn. Người có trình độ học vấn càng cao, thì khả năng thành lập một doanh nghiệp mới càng cao. Đồng thời, những người có trình độ học vấn cao được kỳ vọng sẽ khám phá và khai thác các cơ hội kinh doanh tốt hơn. Nghiên cứu của Jafari và cộng sự (2020) cho rằng, có mối quan hệ tích cực của trình độ học vấn của người dân trong khu vực đối với sự gia nhập của doanh nghiệp mới. Điều đó giải thích vì sao các doanh nghiệp mới trong giai đoạn đầu thường ưu tiên đặt trụ sở ở khu vực nơi họ có thể tiếp cận lực lượng lao động được giáo dục tốt.
Tinh thần kinh doanh được định nghĩa là quá trình “phá hủy sáng tạo” có liên quan đến sự mới mẻ (newness) hoặc việc gia nhập mới (new entry) (Schumpeter, 1934). Gia nhập mới là hành động khởi sự một dự án kinh doanh mới, do một công ty khởi nghiệp thực hiện, thông qua các công ty hiện có hoặc thông qua hoạt động đầu tư mạo hiểm trong nội bộ của công ty; đồng thời, việc gia nhập mới có thể được thực hiện bằng cách thâm nhập các thị trường mới hoặc lâu đời với hàng hóa, dịch vụ mới hoặc hiện có (Dess và Lumpkin, 1996). Việc gia nhập của các doanh nghiệp mới giúp tăng cường sự cạnh tranh giữa các doanh nghiệp hiện tại thông qua sản xuất hiệu quả hơn hoặc sản xuất hàng hóa và dịch vụ tốt hơn. Do đó, các doanh nghiệp mới không chỉ thúc đẩy những hoạt động đổi mới, mà còn gây ra sự rút lui của các doanh nghiệp hoạt động kém hiệu quả (Cowling và Nadeem, 2020; Muzi và cộng sự, 2023).
Việc thành lập các doanh nghiệp mới có đăng ký hợp pháp được coi là hoạt động khởi nghiệp chính thức và là một đặc điểm quan trọng của quá trình khởi nghiệp, do đó được coi là một chỉ số tốt về mức độ khởi nghiệp ở một quốc gia nhất định (Zhou, 2011). Ở phương diện quốc gia, tinh thần kinh doanh có thể được đo lường thông qua các biến số có thể định lượng, như: tỷ lệ thành lập công ty hoặc tỷ lệ hoặc các công ty gia nhập mới và các công ty rời bỏ thị trường (Estrin và Mickiewicz, 2011; Bruno và cộng sự, 2013; Léon, 2019; Venâncio và cộng sự, 2020; Chen và Zhou, 2023).
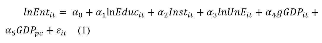
Mô hình nghiên cứu đề xuất
Khảo lược các nghiên cứu liên quan, mô hình nghiên cứu được trình bày trong phương trình (1).
![]() |
Trong đó:
i đại diện cho tỉnh hoặc thành phố.
t đại diện cho năm.
Entit là Tinh thần kinh doanh, biến số này được đại diện thông qua sự gia nhập ròng của doanh nghiệp và xác định bằng số doanh nghiệp mới đăng ký trừ đi số doanh nghiệp đã giải thể ở một tỉnh trong một năm (nguồn dữ liệu được thu thập từ Cổng thông tin đăng ký doanh nghiệp quốc gia).
Educit là biến Giáo dục đại học, được đo lường bằng số lượng sinh viên đại học trên 1,000 dân.
gGDPit là Tốc độ tăng trưởng của tổng sản phẩm quốc nội (GDP) trong khu vực.
GDPpc là GDP bình quân đầu người.
UnEit là Tỷ lệ thất nghiệp.
Inst là các biến Thể chế, dữ liệu được thu thập và tính toán từ Chỉ số Năng lực cạnh tranh cấp tỉnh (PCI - là thước đo đánh giá mức độ thuận lợi trong kinh doanh và hiệu quả cải cách hành chính của chính quyền địa phương).
Trong mô hình dữ liệu cấp tỉnh, vấn đề nội sinh có thể xuất hiện từ các biến không quan sát được, chẳng hạn, như: vị trí địa lý hoặc ảnh hưởng văn hóa và xã hội. Những yếu tố không quan sát được này có thể tác động đồng thời đến cả các biến độc lập, như: tăng trưởng GDP hoặc các biến thể chế và biến phụ thuộc là Tinh thần kinh doanh. Bên cạnh đó, trong hồi quy dữ liệu bảng, các yếu tố không quan sát được này không đổi theo thời gian, nhưng khác nhau giữa các tỉnh. Mô hình hồi quy dữ liệu bảng với hiệu ứng cố định (FE) giúp giảm thiểu mối lo ngại này một cách hiệu quả, vì nó tính toán hiệu quả các yếu tố không thể quan sát được trong khi vẫn duy trì tính không đổi của các yếu tố liên quan đến thời gian, mang lại ước tính ít sai lệch hơn so với mô hình hồi quy OLS và mô hình tác động ngẫu nhiên (RE). Do đó, nghiên cứu áp dụng mô hình hiệu ứng cố định để phân tích mô hình (1).
Phương pháp nghiên cứu
Thông qua bộ dữ liệu của 63 tỉnh/thành tại Việt Nam của Tổng cục Thống kê trong giai đoạn 2015-2019, nghiên cứu sử dụng mô hình FE, để đánh giá tác động của giáo dục đến tinh thần kinh doanh ở Việt Nam. Các tỉnh khác nhau ở Việt Nam có thể có điều kiện kinh tế, nguồn lực và cơ hội giáo dục khác nhau. Do đó, phân tích ở cấp tỉnh cho phép nhóm tác giả đánh giá tác động của giáo dục đến tinh thần kinh doanh khác nhau như thế nào giữa các vùng miền. Hơn thế nữa, phân tích ở phương diện cấp tỉnh có thể cung cấp những hiểu biết sâu sắc về tính hiệu quả của các chính sách và sáng kiến khu vực, nhằm thúc đẩy tinh thần kinh doanh (Bài viết sử dụng cách viết số thập phân theo chuẩn quốc tế).
KẾT QUẢ NGHIÊN CỨU
Bảng 1 và 2 trình bày số liệu thống kê mô tả và ma trận tương quan của tất cả các biến được sử dụng trong mô hình (1). Bảng 2 cho thấy, mối tương quan đáng kể giữa doanh nghiệp gia nhập ròng và biến Giáo dục, cũng như các yếu tố: Thể chế, Tỷ lệ thất nghiệp, Tốc độ tăng trưởng GDP và GDP bình quân đầu người.
Bảng 1: Thống kê mô tả các biến trong mô hình
| Biến | Đơn vị đo lường | Số quan sát | Mean | St.Dev | Min | Max |
| Tinh thần kinh doanh | Số doanh nghiệp | 315 | 1,440.686 | 4,413.757 | -1,784 | 33,195 |
| Giáo dục | Số sinh viên trên 1,000 dân | 315 | 9.385 | 17.352 | 0 | 84.760 |
| Thể chế | 0-100 | 315 | 62.151 | 4.269 | 51.16 | 74.160 |
| Tỷ lệ thất nghiệp | % | 315 | 2.115 | 1.017 | 0.220 | 4.900 |
| Tốc độ tăng GDP | % | 315 | 7.921 | 3.986 | -16.864 | 33.207 |
| GDP bình quân đầu người | Triệu đồng | 315 | 38.444 | 30.453 | 13.450 | 243.470 |
Nguồn: Kết quả phân tích dữ liệu của nhóm tác giả
Bảng 2: Ma trận tương quan
|
| 1 | 2 | 3 | 4 | 5 | 6 |
| Ln_Ent | 1.000 |
|
|
|
|
|
| Ln_Educ | 0.606* | 1.000 |
|
|
|
|
| Inst | 0.220* | 0.146* | 1.000 |
|
|
|
| Ln_UnE | 0.384* | 0.420* | 0.221* | 1.000 |
|
|
| gGDP | 0.157* | 0.096 | 0.039 | 0.026 | 1 |
|
| Ln_GDPpc | 0.188* | -0.015 | 0.259* | 0.025 | -0.000 | 1 |
Ghi chú: * p < 0.05
Nguồn: Kết quả phân tích dữ liệu của nhóm tác giả
Kết quả ước lượng của mô hình được trình bày trong Bảng 3 cho thấy, mối quan hệ giữa Giáo dục đại học và Tinh thần kinh doanh. Cụ thể, số sinh viên trên 1.000 người tăng 1% sẽ dẫn đến tỷ lệ kinh doanh được cải thiện 0.14%. Lấy số doanh nghiệp ròng trung bình tham gia của một tỉnh là 1,440, thì hệ số ước lượng này có nghĩa là nếu số sinh viên trên 1,000 dân tăng 1%, thì sẽ tác động làm số doanh nghiệp ròng tăng thêm 2 doanh nghiệp. Phát hiện này của nghiên cứu được hỗ trợ mạnh mẽ bởi kết quả của nhiều nghiên cứu trước đây. Tiêu biểu là nghiên cứu của Ertuna và Gurel (2011), đã chỉ ra vai trò quan trọng của trình độ học vấn đối với ý định trở thành doanh nhân; hay nghiên cứu của Jiménez và cộng sự (2015) cho thấy, hoạt động kinh doanh chính thức chịu ảnh hưởng tích cực bởi giáo dục đại học. Trong khi đó, nghiên cứu của Jafari và cộng sự (2020) cũng cho biết, tác động tích cực của trình độ học vấn đến tỷ lệ thành lập doanh nghiệp ở một quốc gia.
Bảng 3: Kết quả ước lượng hiệu ứng cố định (FE) cho quyết định kinh doanh cấp tỉnh
| Biến | Mô hình FE | ||
|
| Coefficient | Std.err | z |
| Ln_Educ | 0.142*** | 0.036 | 3.87 |
| Inst | 0.024*** | 0.008 | 2.73 |
| Ln_UnE | -0.024 | 0.085 | -0.29 |
| gGDP | 0.004 | 0.004 | 1.04 |
| Ln_GDPpc | 0.089 | 0.336 | 0.27 |
| Constant | 4.247 | 0.774 | 5.48 |
| R squared | 0.399 |
|
|
| Observation | 308 |
|
|
Ghi chú: *p < 0.1, **p < 0 .05, ***p < 0.01
Nguồn: Kết quả phân tích dữ liệu của nhóm tác giả
Kết quả ước lượng của nghiên cứu cũng cho thấy, trình độ giáo dục chất lượng cao ở một tỉnh đã giúp tăng cường sự gia tăng số lượng doanh nghiệp gia nhập ròng trong tỉnh đó. Kết quả này có thể hàm ý rằng, các tỉnh có trình độ học vấn cao hơn được coi là những nơi có tiềm năng về nguồn nhân lực chất lượng cao. Do đó, các doanh nghiệp mới gia nhập có xu hướng thiết lập và mở rộng tại các khu vực này, nhằm tận dụng nguồn nhân lực sẵn có.
KẾT LUẬN
Bài viết này cung cấp bằng chứng cho thấy, giáo dục đại học có tác động tích cực đến số lượng doanh nghiệp đăng ký mới tại Việt Nam ở phương diện cấp tỉnh trong giai đoạn 2015-2019. Nghiên cứu góp phần nêu bật tầm quan trọng của giáo dục đại học đối với tinh thần kinh doanh ở Việt Nam. Kết quả này cũng hàm ý rằng, giáo dục đại học có thể giúp các cá nhân nâng cao khả năng nhận biết cơ hội kinh doanh, cung cấp kiến thức và nâng cao mức độ tự tin để bắt đầu hoạt động kinh doanh mới./.
Tài liệu tham khảo
1. Biney, I. K. (2023), Adult education and entrepreneurship: getting young adults involved, Journal of Innovation and Entrepreneurship, 12(1), 13, https://doi.org/10.1186/s13731-023-00277-0.
2. Bruno, R. L., Bytchkova, M., and Estrin, S. (2013), Institutional Determinants of New Firm Entry in Russia : A Crossregional Analysis Economics, The Review Of Economics and Statistics, 95(5), 1740–1749.
3. Chen, J., and Zhou, Z. (2023), The effects of FDI on innovative entrepreneurship: A regional-level study, Technological Forecasting and Social Change, https://doi.org/10.1016/j.techfore.2022.122159.
4. Cowling, M., and Nadeem, S. P. (2020), Entrepreneurial firms: with whom do they compete, and where?, Review of Industrial Organization, 57(3), 559-577, https://doi.org/10.1007/s11151-020-09782-y.
5. Dess, G. G., and Lumpkin, G. T. (1996), Clarifying the Entrepreneurial Orientation Construct and Linking It To Performance, Academy of Management Review, 21(1), 135–172, https://doi.org/10.5465/AMR.1996.9602161568.
6. Dinh, H. T. and Mishra, D. (2014), Light manufacturing in Vietnam: creating jobs and prosperity in a middle-income economy, [Washington, DC: The World Bank] [Pdf] retrieved from the Library of Congress, https://www.loc.gov/item/2013049417/.
7. Doan, T., Tuyen, T., and Quan, L. (2018), Lost in Transition? Declining Returns to Education in Vietnam, The European Hournal of Development Research, 30(2), 195–216, https://doi.org/10.1057/s41287-017-0080-9.
8. Ertuna, Z. I., and Gurel, E. (2011), The moderating role of higher education on entrepreneurship, Education and Training, 53(5), 387–402, https://doi.org/10.1108/00400911111147703.
9. Estrin, S., and Mickiewicz, T. (2011), Institutions and female entrepreneurship, Small Business Economics, 37(4), 397–415, https://doi.org/10.1007/s11187-011-9373-0.
10. Harrison, R. T., Leitch, C. M., and Chia, R. (2007), Developing Paradigmatic Awareness in University Business Schools : The Challenge for Executive Education, Academy of Management Learning and Education, 6(3), 332–343, http://www.jstor.org/stable/40214460.
11. Jafari-Sadeghi, V., Kimiagari, S., and Biancone, P. P. (2020), Level of education and knowledge, foresight competency and international entrepreneurship: a study of human capital determinants in the European countries, European Business Review, 32(1), 46-68, https://doi.org/10.1108/EBR-05-2018-0098.
12. Jiménez, A., Palmero-Cámara, C., González-Santos, M. J., González-Bernal, J., and Jiménez-Eguizábal, J. A. (2015), The impact of educational levels on formal and informal entrepreneurship, BRQ Business Research Quarterly, 18(3), 204–212, https://doi.org/10.1016/j.brq.2015.02.002.
13. Léon, F. (2019), Long-term finance and entrepreneurship, Economic Systems, 43(2), 100690, https://doi.org/10.1016/j.ecosys.2018.10.004.
14. Lucas, R. . (1988), On the mechanics of economic development, Journal of Monetary Economics, 22, 3–42.
15. Mbeteh, A., and Pellegrini, M. M. (2018), Entrepreneurship education in developing countries: A study of the key challenges in Sierra Leone, African entrepreneurship: Challenges and opportunities for doing business, 24, 89-116.
16. Maroufkhani, P., Wagner, R., and Wan Ismail, W.K. (2018), Entrepreneurial ecosystems: a systematic review, Journal of Enterprising Communities: People and Places in the Global Economy, 12(4), 545-564, https://doi.org/10.1108/JEC-03-2017-0025.
17. Muzi, S., Jolevski, F., Ueda, K., and Viganola, D. (2023), Productivity and firm exit during the COVID-19 crisis: Cross-country evidence, Small Business Economics, 60(4), 1719-1760, https://doi.org/10.1007/s11187-022-00675-w.
18. OECD (2021), SME and Entrepreneurship Policy in Viet Nam, OECD Studies on SMEs and Entrepreneurship, OECD Publishing, https://doi.org/10.1787/30c79519-en.
19. Sánchez, J. C. (2013), The impact of an entrepreneurship education program on entrepreneurial competencies and intention, Journal of Small Business Management, 51(3), 447–465.
20. Schumpeter, J. (1934), The theory of Economic Development: An Inquiry into Profits, Capital, Credit, Interest, and the Business Cycle, Transaction Publishers.
21. Venâncio, A., Barros, V., and Raposo, C. (2020), Corporate taxes and high-quality entrepreneurship, Small Business Economics, 58, 353-382, https://doi.org/10.1007/s11187-020-00413-0.
22. Vuong, Q. H., La, V. P., Vuong, T. T., Ho, M. T., and Ho, M. T. (2020), What have Vietnamese scholars learned from researching entrepreneurship? A Systematic review, Heliyon, 6(4), https://doi.org/10.1016/j.heliyon.2020.e03808.
23. Zhou, W. (2011), Regional deregulation and entrepreneurial growth in Cchina’s transition economy, Entrepreneurship and Regional Development, 23(9–10), 853–876, https://doi.org/10.1080/08985626.2011.577816.
Trần Thanh Trúc
Phạm Khánh Nam
Trường Kinh tế, Luật và Quản lý nhà nước, Đại học Kinh tế TP. Hồ Chí Minh;
Trương Ngọc Hảo
Trường Đại học Mở TP. Hồ Chí Minh
(Theo Tạp chí Kinh tế và Dự báo số 7, tháng 4/2024)
[1] Bài viết được thực hiện trong khuôn khổ đề tài KHCN cấp Bộ "Nghiên cứu đánh giá tác động của yếu tố ưa thích rủi ro và giáo dục đến quyết định khởi nghiệp" - Mã số B2022-KSA-04- Đại học Kinh tế TP. Hồ Chí Minh chủ trì.
![Tác động của giáo dục đại học đến tinh thần kinh doanh từ góc nhìn cấp tỉnh tại Việt Nam[1] Tác động của giáo dục đại học đến tinh thần kinh doanh từ góc nhìn cấp tỉnh tại Việt Nam[1]](https://nghiencuu.tapchikinhtetaichinh.vn/stores/news_dataimages/hoenh/042024/15/10/2604_1.png?rt=20240415102605)

Bình luận