Từ khóa: chứng thực, người nổi tiếng, thái độ, ý định, sản phẩm xanh

Summary

Celebrity endorsements can influence consumer attitudes and purchase intentions, yet their impact on green products in Vietnam remains under-researched. This study surveys consumers in Ho Chi Minh City and analyzes the data using a structural equation modeling approach. The findings reveal that the attractiveness and congruence of the endorser positively affect consumer attitudes, which in turn influence the intention to purchase green products. In contrast, trustworthiness and expertise do not have significant effects. Both attractiveness and congruence indirectly impact purchase intentions through attitudes. These results offer important implications for the practice of green product endorsements.

Keywords: endorsement, celebrity, attitude, intention, green products

GIỚI THIỆU

Tiêu dùng xanh ngày càng nhận được sự quan tâm từ giới kinh doanh và học giả, bởi nhận thức về môi trường làm thay đổi hành vi mua hàng. Quảng cáo cũng đang tích hợp các vấn đề xã hội và môi trường, để tác động đến nhận thức và hành vi (Kumar và Tripathi, 2022). Nhiều công ty đã sử dụng người nổi tiếng để chứng thực sản phẩm, đặc biệt là những người ủng hộ môi trường, giúp tạo ra thái độ tích cực và ý định mua. Các nghiên cứu cho thấy, sự phù hợp giữa sản phẩm và thông điệp môi trường, cùng với độ tin cậy, chuyên môn và sự thu hút của người chứng thực, đều quan trọng đối với hiệu quả quảng cáo xanh (Eren-Erdogmus và cộng sự, 2016; Kumar và Tripathi, 2022). Tại Việt Nam, nghiên cứu về người chứng thực nổi tiếng đã được thực hiện, nhưng số lượng nghiên cứu về ảnh hưởng của họ đến ý định mua sản phẩm xanh còn hạn chế. Do đó, việc nghiên cứu về nội dung này ở TP. Hồ Chí Minh là cần thiết.

CƠ SỞ LÝ THUYẾT VÀ PHƯƠNG PHÁP

Lý thuyết nền

Lý thuyết về độ tin cậy của nguồn giải thích tác động của chứng thực từ người nổi tiếng đến hành vi người tiêu dùng. Mô hình hấp dẫn của nguồn nhấn mạnh rằng, sự hấp dẫn của người nổi tiếng, bao gồm: ngoại hình; mức độ yêu thích và sự tương đồng với người tiêu dùng có thể ảnh hưởng đến thái độ và ý định mua hàng (Schimmelpfennig và Hunt, 2020). Khi người tiêu dùng cảm thấy gần gũi với người nổi tiếng, họ dễ tưởng tượng mình sử dụng sản phẩm và hưởng lợi từ đó (Till và Busler, 2000).

Ngoài ra, mô hình tin cậy của nguồn tập trung vào chuyên môn và độ tin cậy của người chứng thực. Người nổi tiếng có chuyên môn cao trong lĩnh vực liên quan đến sản phẩm sẽ tạo ra lòng tin nhiều hơn từ người tiêu dùng. Sự trung thực và đáng tin cậy của người nổi tiếng cũng góp phần tăng niềm tin vào sản phẩm. Lý thuyết về sự phù hợp giữa người nổi tiếng và sản phẩm bổ sung rằng, sự tương thích giữa người chứng thực và sản phẩm là yếu tố then chốt cho sự thành công của quảng cáo (Schimmelpfennig và Hunt, 2020).

Giả thuyết nghiên cứu

Độ tin cậy của người chứng thực

Người tiêu dùng thường tìm kiếm những nhân vật đáng tin cậy để đại diện cho thương hiệu (Yoo và cộng sự, 2018). Độ tin cậy của người nổi tiếng ảnh hưởng lớn đến mức độ chấp nhận sản phẩm. Nhiều nghiên cứu, như: của Tantawi và Sadek (2019) và Al Mamun và cộng sự (2023), đã xác nhận mối quan hệ tích cực giữa sự tin tưởng vào người nổi tiếng và thái độ mua sắm của người tiêu dùng. Về tổng thể, độ tin cậy của người nổi tiếng tác động tích cực đến thái độ tiêu dùng (Lili và cộng sự, 2022). Dựa trên các phát hiện này, nghiên cứu đưa ra giả thuyết như sau:

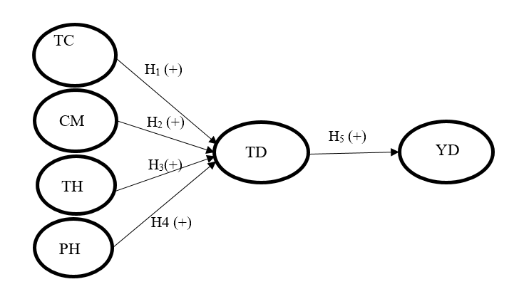
H1: Thái độ đối với sản phẩm xanh.

Chuyên môn của người chứng thực

Chuyên môn là kiến thức của người nổi tiếng về sản phẩm, ảnh hưởng đến độ tin cậy của họ (Amos và cộng sự, 2008). Đây là yếu tố quan trọng trong mô hình nguồn tin cậy cho thấy, thông tin từ người có chuyên môn cao sẽ thuyết phục hơn. Chuyên môn cao sẽ tác động đến thái độ đối với thương hiệu. Tuy nhiên, chuyên môn cần được đánh giá theo từng bối cảnh, vì nó thay đổi theo danh mục sản phẩm khác nhau. Dựa vào lập luận này, nghiên cứu đặt ra giả thuyết như sau:

H2: Chuyên môn của người nổi tiếng có ảnh hưởng tích cực đến Thái độ đối với sản phẩm xanh.

Sự thu hút của người chứng thực

Người nổi tiếng thu hút người tiêu dùng qua nhiều cách, như: sự truyền cảm hứng, thanh lịch, thông minh hoặc xinh đẹp (Hoegele và cộng sự, 2016). Sự hấp dẫn của họ làm tăng mức độ công nhận cho sản phẩm hoặc dịch vụ. Khi người nổi tiếng hấp dẫn quảng bá một thương hiệu, người tiêu dùng thường phản ứng tích cực với sản phẩm (Arora và cộng sự, 2019). Sự hấp dẫn này cũng ảnh hưởng đến thái độ của người tiêu dùng đối với sản phẩm xanh (Tantawi và Sadek, 2019), góp phần làm tăng doanh số bán hàng, tăng lợi nhuận cho doanh nghiệp (Roll, 2015). Dựa trên lập luận này, nghiên cứu đặt ra giả thuyết tiếp theo như sau:

H3: Sự thu hút của người nổi tiếng có ảnh hưởng tích cực đến Thái độ đối với sản phẩm xanh.

Sự phù hợp của người chứng thực

Sự tương thích giữa người nổi tiếng và nguyên nhân họ đại diện là yếu tố quan trọng trong chứng thực. Hiệu quả chứng thực tối ưu khi người nổi tiếng phù hợp với thông điệp truyền tải; sự hòa hợp giữa đặc tính sản phẩm, thương hiệu và người nổi tiếng có thể thúc đẩy hành vi mua sắm (Yoo và cộng sự, 2018). Khi người nổi tiếng phù hợp với sản phẩm, tính thuyết phục của quảng cáo sẽ tăng cường đáng kể. Một sự kết hợp chặt chẽ giữa người nổi tiếng và thương hiệu thường dẫn đến quảng cáo thuyết phục hơn. Hình ảnh thương hiệu cần phản ánh hình ảnh của người nổi tiếng. Nghiên cứu cho thấy, sự phù hợp giữa người nổi tiếng và sản phẩm ảnh hưởng lớn đến thái độ của người tiêu dùng (Ilicic và Baxter, 2014). Thamaraiselvan và cộng sự (2017) cũng khẳng định mối quan hệ tích cực giữa mức độ tương thích và thái độ người tiêu dùng. Do đó, giả thuyết tiếp theo được đề xuất như sau:

H4: Sự phù hợp của người chứng thực nổi tiếng có ảnh hưởng tích cực đến Thái độ đối với sản phẩm xanh.

Thái độ và Ý định mua

Mối quan hệ này được giải thích dựa trên lý thuyết hành vi hoạch định. Khi nghiên cứu ý định mua của người tiêu dùng đối với thương hiệu hoặc sản phẩm, các lý thuyết này được áp dụng trong nhiều bối cảnh, bao gồm cả ý định mua xanh. Ý định mua được định nghĩa là xu hướng tiêu dùng khi chọn mua một sản phẩm cụ thể. Thái độ của người tiêu dùng là yếu tố dự báo chính về ý định mua và ảnh hưởng đến sự đóng góp trong tương lai của sản phẩm cho thương hiệu (Wang và cộng sự, 2017). Dựa vào lập luận này, giả thuyết tiếp theo được đề xuất như sau:

H5: Thái độ đối với thương hiệu ảnh hưởng tích cực đến Ý định mua sản phẩm xanh.

Mô hình nghiên cứu đề xuất

Từ các giả thuyết nêu trên, nhóm tác giả đề xuất mô hình nghiên cứu như Hình 1.

Hình 1: Mô hình nghiên cứu đề xuất

Ảnh hưởng của người chứng thực nổi tiếng đến ý định mua sản phẩm xanh của người tiêu dùng tại TP. Hồ Chí Minh[1]
Nguồn: Đề xuất của nhóm tác giả

Phương pháp nghiên cứu

Nghiên cứu sử dụng phương pháp hỗn hợp gồm sự kết hợp giữa phương pháp định tính và định lượng. Dữ liệu nghiên cứu được thu thập thông qua phát 353 phiếu khảo sát trực tuyến theo hình thức chọn mẫu thuận tiện đến người tiêu dùng tại TP. Hồ Chí Minh trong tháng 10/2024. 319 phiếu hợp lệ thu về được đưa vào phân tích bằng phần mềm SPSS và AMOS.

KẾT QUẢ NGHIÊN CỨU VÀ THẢO LUẬN

Kết quả nghiên cứu

Nghiên cứu thực hiện phân tích mô hình đo lường và mô hình cấu trúc. Đầu tiên nghiên cứu tiến hành đánh giá mô hình đo lường thông qua các kỹ thuật phân tích, như: Cronbach’s Alpha, độ tin cậy tổng hợp (CR), hệ số tải nhân tố của các yếu tố và chỉ số phương sai trích trung bình (AVE), nhân tố khám phá, nhân tố khẳng định. Kết quả cho thấy, các chỉ số phân tích đều đạt yêu cầu theo các tiêu chí mà Hair và cộng sự (2014) đề xuất (Bảng 1).

Bảng 1: Kết quả phân tích các chỉ số của thang đo

Biến

Mã hóa

Hệ số tải

Cronbach’s Alpha

CR

AVE

Độ tin cậy (TC)

TC1

TC2

TC3

TC4

TC5

0,613

0,802

0,747

0,876

0,917

0,916

0,935

0,741

Chuyên môn (CM)

CM1

CM2

CM3

CM4

CM5

0,717

0,781

0,731

0,899

0,777

0,893

0,920

0,699

Thu hút (TH)

TH1

TH2

TH3

TH4

0,621

0,986

0,821

0,716

0,893

0,926

0,758

Phù hợp (PH)

PH2

PH3

0,714

0,893

0,788

0.903

0,823

Thái độ (TD)

TD1

TD2

TD3

TD4

TD5

0,666

0,816

0,825

0,673

0,703

0,858

0,899

0,642

Ý định mua (YD)

YD1

YD2

YD3

0,878

0,878

0,828

0,918

0,948

0,859

Nguồn: Tính toán của nhóm tác giả từ phần mềm SPSS và AMOS

Kết quả phân tích nhân tố khẳng định cho thấy, các chỉ số TLI = 0,937; CFI = 0,946, đều > 0,9. Giá trị RMSEA = 0,060 < 0,08 và CMIN/DF = 2,153 < 3, nên mô hình đo lường đạt yêu cầu.

Mô hình cấu trúc tuyến tính (SEM) được sử dụng trong nghiên cứu này để kiểm định mô hình và các giả thuyết. Nghiên cứu sử dụng phương pháp Bootstrapping với vòng lặp 5.000, để kiểm định mô hình nghiên cứu cho tác động trung gian. Kết quả phân tích SEM cho thấy, các chỉ số, như: TLI = 0,926; CFI = 0,935 đều > 0,9; giá trị RMSEA = 0,065 < 0,08 và CMIN/DF = 2,357 < 3, nên các chỉ số đạt yêu cầu theo tiêu chuẩn đề xuất của Hair và cộng sự (2014) (Hình 2).

Hình 2: Kết quả mô hình cấu trúc với hệ số chuẩn hóa

Ảnh hưởng của người chứng thực nổi tiếng đến ý định mua sản phẩm xanh của người tiêu dùng tại TP. Hồ Chí Minh[1]
Nguồn: Tổng hợp từ dữ liệu nghiên cứu của nhóm tác giả

Giả thuyết H1 đề xuất mối quan hệ tích cực giữa TC và TD có β1 = 0,055 và P = 0,497. Do giá trị P > Sig. 5%, nên giả thuyết này không được ủng hộ. Nói cách khác, TC không ảnh hưởng cùng chiều đến TD. Giả thuyết H2 đề xuất mối quan hệ tích cực giữa CM và TD có β2 = -0,055 và P = 0,512. Do giá trị P = 0,512 > Sig. 5%, nên giả thuyết này cũng không được ủng hộ. Điều này có nghĩa là CM không ảnh hưởng đến TD.

Giả thuyết H3 với mối quan hệ tích cực giữa TH và TD, kết quả cho thấy, hệ số β3 = 0,182 và P = 0,000. Như vậy, TH ảnh hưởng tích cực đến TD với hệ số beta chuẩn hóa = 0,218 ở mức ý nghĩa 1%. Do đó, giả thuyết H3 được chấp nhận. Giả thuyết H4 được kỳ vọng một mối quan hệ tích cực giữa PH và TD. Kết quả phân tích cho thấy, mối quan hệ này có β4 = 0,359 và P = 0,000. Do đó, mối quan hệ này được ủng hộ. Nói cách khác, PH ảnh hưởng tích cực đến TD với mức ý nghĩa 1%, hệ số beta chuẩn hóa = 0,358. Cuối cùng, giả thuyết H5 được kỳ vọng một mối quan hệ tích cực giữa TD và YD. Kết quả phân tích cho thấy, β5 = 0,748 và P = 0,000. Như vậy, với mức ý nghĩa 1%, thì H5 được chấp nhận. Hệ số beta chuẩn hóa của mối quan hệ này = 0,685 (Bảng 2).

Bảng 2: Kết quả kiểm định giả thuyết

Ảnh hưởng của người chứng thực nổi tiếng đến ý định mua sản phẩm xanh của người tiêu dùng tại TP. Hồ Chí Minh[1]

Nguồn: Tính toán của nhóm tác giả từ phần mềm SPSS và AMOS

Thảo luận

Trong nghiên cứu này, giả thuyết H1 về mối quan hệ tích cực giữa TC và TD không được ủng hộ, mặc dù các nghiên cứu trước, như: của Zhang và cộng sự (2018) đã ghi nhận mối quan hệ này; Kumar và Tripathi (2022) cho thấy, TC của người nổi tiếng không ảnh hưởng đến thái độ đối với thương hiệu xanh, mà chỉ tác động đến thái độ quảng cáo. Tương tự, nghiên cứu của Eren-Erdogmus và cộng sự (2016) cũng ghi nhận ảnh hưởng tích cực của TC đối với quảng cáo.

Giả thuyết H2 về mối quan hệ giữa CM và TD cũng không được ủng hộ, mặc dù một số nghiên cứu, như: của Al Mamun và cộng sự (2023) ghi nhận tác động của CM, nhưng các nghiên cứu khác lại cho thấy, không có sự ảnh hưởng rõ ràng và CM cần được xem xét theo từng khía cạnh riêng. Schimmelpfennig và Hunt (2020) nhấn mạnh sự không nhất quán trong mối quan hệ này.

Giả thuyết H3 về mối quan hệ giữa TH và TD được chấp nhận, cung cấp bằng chứng cho mối liên hệ giữa Sự thu hút và Thái độ. Zhang và cộng sự (2018) khuyến cáo nên tách biệt các thành phần, như: Độ tin cậy, Chuyên môn và Sự thu hút của người chứng thực, để có thể hiểu rõ hơn về tác động riêng lẻ của chúng. Trong khi Độ tin cậy và Chuyên môn không có ảnh hưởng trực tiếp, Thu hút được chứng minh là có tác động tích cực đến Thái độ. Kết quả phân tích cũng cho thấy, sự phù hợp giữa người chứng thực và thương hiệu có tác động mạnh mẽ đến Thái độ. Schimmelpfennig và Hunt (2020) lập luận rằng, Sự phù hợp có thể giải thích thái độ tốt hơn so với các yếu tố khác. Nghiên cứu này xác nhận ảnh hưởng gián tiếp của Sự phù hợp và Sự thu hút đến Ý định mua thông qua Thái độ.

KẾT LUẬN VÀ HÀM Ý QUẢN TRỊ

Kết luận

Kết quả nghiên cứu cho thấy, trong 5 giả thuyết nghiên cứu, thì có 3 giả thuyết được chấp nhận, gồm: H3, H4 và H5 và 2 giả thuyết bị bác bỏ là H1 và H2. Điều này có nghĩa là, Sự thu hút của người chứng thực và Sự phù hợp của người chứng thực có tác động tích cực đến Thái độ đối với thương hiệu và Thái độ này ảnh hưởng đến Ý định mua sản phẩm xanh. Ngược lại, các yếu tố, gồm: Độ tin cậy của của người nổi tiếng và Chuyên môn của người nổi tiếng không có tác động đáng kể đến Thái độ đối với thương hiệu và Ý định mua sản phẩm xanh.

Hàm ý quản trị

Kết quả nghiên cứu này mang lại hàm ý quan trọng cho cả lý thuyết và thực tiễn.

Về lý thuyết: Sự thiếu nhất quán trong tác động của Độ tin cậy và Chuyên môn lên Thái độ người tiêu dùng phụ thuộc vào loại sản phẩm và bối cảnh. Yếu tố Thu hút và Sự phù hợp của người chứng thực đóng vai trò quan trọng trong việc hình thành Thái độ tích cực đối với thương hiệu xanh, với ảnh hưởng gián tiếp đến Ý định mua thông qua thái độ.

Về thực tiễn: Các nhà quản trị nên tập trung chọn người chứng thực có Sự thu hút và Sự phù hợp với sản phẩm xanh, thay vì quá chú trọng vào các yếu tố, gồm: Độ tin cậy của người chứng thực và Chuyên môn của người chứng thực. Mặc dù 2 yếu tố này thường quan trọng, nhưng trong lĩnh vực sản phẩm xanh, Độ tin cậy và Chuyên môn của người chứng thực có thể không được đánh giá cao, giúp định hướng chiến lược sử dụng người chứng thực hiệu quả./.

Tài liệu tham khảo

1. Ahmad, W., and Zhang, Q. (2020), Green purchase intention: Effects of electronic service quality and customer green psychology, Journal of cleaner production, 267, https://doi.org/10.1016/j.jclepro.2020.122053

2. Al Mamun, A., Naznen, F., Yang, Q., Ali, M. H., and Hashim, N. M. H. N. (2023), Modelling the significance of celebrity endorsement and consumer interest on attitude, purchase intention, and willingness to pay a premium price for green skincare products, Heliyon, 9(6), https://doi.org/10.1016/j.heliyon.2023.e16765

3. Amos, C., Holmes, G., and Strutton, D. (2008), Exploring the relationship between celebrity endorser effects and advertising effectiveness: A quantitative synthesis of effect size, International journal of advertising, 27(2), 209-234, https://doi.org/10.1080/02650487.2008.11073052

4. Arora, N., Prashar, S., Parsad, C., and Tata, S. V. (2019), Influence of celebrity factors, consumer attitude and involvement on shoppers’ purchase intention using hierarchical regression, Decision, 46(3), 179-195, https://doi.org/10.1007/s40622-019-00208-7

5. Eren-Erdogmus, İ., Lak, H. S., and Çiçek, M. (2016), Attractive or credible celebrities: who endorses green products better?, Procedia-Social and Behavioral Sciences, 235, 587-594, https://doi.org/10.1016/j.sbspro.2016.11.085

6. Goldsmith, R. E., Lafferty, B. A., and Newell, S. J. (2000), The impact of corporate credibility and celebrity credibility on consumer reaction to advertisements and brands, Journal of Advertising, 29(3), 43–54, https://doi.org/10.1080/00913367.2000.10673616

7. Hair, Black, Babin, and Anderson. (2014), Multivariate data analysis, London, UK: Pearson.Hoegele, D., Schmidt, S. L., and Torgler, B. (2016), The importance of key celebrity characteristics for customer segmentation by age and gender: Does beauty matter in professional football?, Review of Managerial Science, 10, 601-627, https://doi.org/10.1007/s11846-015-0172-x

8. Ilicic, J., and Baxter, S. (2014), Fit in celebrity–charity alliances: when perceived celanthropy benefits nonprofit organisations, International Journal of Nonprofit and Voluntary Sector Marketing, 19(3), 200-208, https://doi.org/10.1002/nvsm.1497

9. Kumar, R., and Tripathi, V. (2022), Green advertising: Examining the role of celebrity’s credibility using SEM approach, Global Business Review, 23(2), 440-459, https://doi.org/10.1177/097215091986266

10. Lili, Z., Al Mamun, A., Hayat, N., Salamah, A. A., Yang, Q., and Ali, M. H. (2022), Celebrity endorsement, brand equity, and green cosmetics purchase intention among Chinese youth, Frontiers in psychology, 13, https://doi.org/10.3389/fpsyg.2022.860177

11. Roll, M. (2006), Celebrity branding in Asia, In Asian Brand Strategy: How Asia Builds Strong Brands, London: Palgrave Macmillan UK, https://doi.org/10.1057/9780230513068_5

12. Schimmelpfennig, C., and Hunt, J. B. (2020), Fifty years of celebrity endorser research: Support for a comprehensive celebrity endorsement strategy framework, Psychology & Marketing, 37(3), 488-505, https://doi.org/10.1002/mar.21315

13. Tantawi, P., and Sadek, H. (2019), The impact of celebrity endorsement in cause related marketing campaigns on audiences’ behavioral intentions: Egypt case, International Review on Public and Nonprofit Marketing, 16(2), 293-311, https://doi.org/10.1007/s12208-019-00231-5

14. Thamaraiselvan, N., Arasu, B. S., and Inbaraj, J. D. (2017), Role of celebrity in cause related marketing, International Review on Public and Nonprofit Marketing, 14, 341-357, https://doi.org/10.1007/s12208-017-0176-0

15. Till, B. D., and Busler, M. (2000), The match-up hypothesis: Physical attractiveness, expertise, and the role of fit on brand attitude, purchase intent and brand beliefs, Journal of advertising, 29(3), 1-13, https://doi.org/10.1080/00913367.2000.10673613

16. Wang, S. W., Kao, G. H. Y., and Ngamsiriudom, W. (2017), Consumers' attitude of endorser credibility, brand and intention with respect to celebrity endorsement of the airline sector, Journal of Air Transport Management, 60, 10-17, https://doi.org/10.1016/j.jairtraman.2016.12.007

17. Yoo, J. W., Lee, H. S., and Jin, Y. J. (2018), Effects of celebrity credibility on country’s reputation: A comparison of an Olympic star and a political leader, Corporate Reputation Review, 21, 127-136, https://doi.org/10.1057/s41299-018-0048-5

18. Zhang, L., Li, D., Cao, C., and Huang, S. (2018), The influence of greenwashing perception on green purchasing intentions: The mediating role of green word-of-mouth and moderating role of green concern, Journal of cleaner production, 187, 740-750, https://doi.org/10.1016/j.jclepro.2018.03.201

Nguyễn Thị Kim Oanh, Email: oanhntk@uel.edu.vn

Cung Thục Linh, Email: linhct@uel.edu.vn

Võ Thị Ngọc Trinh, Email: trinhvtn@uel.edu.vn

Nguyễn Minh Châu, Email: chaunm@uel.edu.vn

Trường Đại học Kinh tế - Luật, Đại học Quốc gia TP. Hồ Chí Minh

(Theo Tạp chí Kinh tế và Dự báo, số 02, tháng 01/2025)


[1] Nghiên cứu này được tài trợ bởi Trường Đại học Kinh tế - Luật, Đại học Quốc gia TP. Hồ Chí Minh trong Đề tài mã số: CS/2024-01