Tương tác giữa đòn bẩy tài chính và tăng trưởng tín dụng của các tổ chức tài chính vi mô
Từ khóa: tăng trưởng tài sản, tăng trưởng tín dụng, đòn bẩy tài chính, tổ chức tài chính vi mô
Summary
The purpose of this study is to explore the interactive relationship between financial leverage and credit growth of microfinance institutions in Vietnam. Using panel data regression method and data series for the period from 2016-2021 of 24 organizations operating in the field of microfinance in Vietnam, research results show that: Asset growth rate and Loan per borrower have a positive relationship with Financial Leverage; Credit growth rate, Debt-to-equity ratio and Income have a negative relationship with Financial Leverage; Asset growth rate, Deposit growth rate and Debt-to-equity ratio have a positive relationship with Credit growth rate; and Financial leverage has a negative relationship with Credit growth rate. Through these findings, the study proposes some policy implications for developing more sustainable microfinance institutions.
Keywords: asset growth, credit growth, financial leverage, microfinance institutions
ĐẶT VẤN ĐỀ
TCVM có vai trò quan trọng trong việc cung cấp các nguồn tài chính và thu hẹp khoảng cách giữa các tổ chức tài chính chính thức và các cá nhân có thu nhập thấp, các công ty vi mô, những người tự kinh doanh hoặc các nhóm không có khả năng tiếp cận các dịch vụ tài chính. Tại Việt Nam, các tổ chức TCVM có vai trò quan trọng trong việc tăng cường và mở rộng tài chính toàn diện trong nước, đồng thời đóng góp vào sự phát triển kinh tế và xã hội bền vững. Tầm quan trọng của TCVM trong việc đạt được sứ mệnh quốc gia về tài chính toàn diện vì các tổ chức TCVM có thể đóng góp đáng kể vào việc đảm bảo khả năng tiếp cận các dịch vụ tài chính với giá cả phải chăng. Các tổ chức TCVM ngày càng đóng vai trò quan trọng trong sự phát triển kinh tế - xã hội bằng cách thu hẹp khoảng cách loại trừ tài chính do hệ thống tài chính truyền thống tạo ra.
Một trong những yếu tố quan trọng trong hoạt động tài chính của các tổ chức TCVM là xây dựng các chính sách tài chính nhằm tăng tính bền vững tài chính của các tổ chức này, trong số đó có quyết định về đòn bẩy tài chính và tăng trưởng tín dụng. Những quyết định này có ảnh hưởng tới sự tồn tại và phát triển của các tổ chức TCVM, từ đó ảnh hưởng tới tốc độ tăng trưởng, tiềm năng đầu tư và nguồn vốn trong tương lai của các tổ chức TCVM. Điều quan trọng là các tổ chức TCVM phải tìm ra mức cơ cấu vốn tối ưu để tài trợ cho các hoạt động của mình và tăng tốc độ tăng trưởng tín dụng. Vì vậy, nên có cái nhìn rộng hơn về đòn bẩy tài chính và tăng trưởng tín dụng cũng như đánh giá đòn bẩy tài chính và tăng trưởng tín dụng.
CƠ SỞ LÝ THUYẾT VÀ PHƯƠNG PHÁP NGHIÊN CỨU
Cơ sở lý thuyết
Đòn bẩy tài chính
Theo Feng, Viksne và Lunardi (2016), đòn bẩy tài chính đóng vai trò quan trọng trong hệ thống tài chính, nó là thước đo xem doanh nghiệp sử dụng bao nhiêu vốn chủ sở hữu và nợ để tài trợ cho tài sản của mình và nợ tăng thì đòn bẩy tài chính tăng. Đòn bẩy tài chính cao khiến các ngân hàng được tài trợ bằng nợ nhiều hơn bằng vốn chủ sở hữu. Đòn bẩy tài chính rất nguy hiểm trừ khi ngân hàng chắc chắn một cách hợp lý về thu nhập của mình.
Aza (2018) cho rằng, đòn bẩy tài chính là mức độ nợ được sử dụng để tài trợ cho hoạt động của các tổ chức tài chính. Trong nghiên cứu về cấu trúc vốn của các tổ chức TCVM, Tchuigoua (2014) nhận thấy, đòn bẩy đó chính là tỷ lệ tổng nợ trên tổng tài sản. Đòn bẩy tài chính có thể được xác định dựa trên trái phiếu chuyển đổi, nợ ngắn hạn, nợ dài hạn và tổng nợ. Ngoài ra, thước đo đòn bẩy có thể được xác định dựa trên tổng nợ, tổng tài sản, tài sản ròng.
Towo và cộng sự (2019) cũng định nghĩa tỷ lệ đòn bẩy tài chính của tổ chức TCVM là các khoản vay từ các tổ chức tài chính khác chia cho tổng tài sản. Do đó, đòn bẩy tài chính là thước đo mức độ các tổ chức TCVM sử dụng nợ để tài trợ cho tài sản của mình.
Trong nghiên cứu này, đòn bẩy tài chính của tổ chức TCVM được tính bằng tổng nợ chia cho tổng tài sản. Đòn bẩy tài chính của tổ chức TCVM gắn liền với mọi hoạt động của tổ chức TCVM và chịu ảnh hưởng của nhiều yếu tố.
Tăng trưởng tín dụng
Ha (2020) cho thấy, tăng trưởng tín dụng luôn là mối quan tâm hàng đầu của các tổ chức TCVM. Bởi tăng trưởng tín dụng hợp lý, chất lượng cao sẽ tạo thu nhập ổn định, an toàn cho các tổ chức TCVM. Tăng trưởng tín dụng của tổ chức TCVM là sự gia tăng các khoản vay dành cho khách hàng TCVM, bao gồm các cá nhân có thu nhập thấp, các công ty vi mô, những người tự kinh doanh hoặc các nhóm không có khả năng tiếp cận các dịch vụ tài chính. Khi tín dụng ngày càng tăng, khách hàng TCVM có thể vay và chi tiêu nhiều hơn, đồng thời họ có thể vay và đầu tư vào các công ty vi mô. Vì vậy, tăng trưởng tín dụng của các tổ chức TCVM là một phần quan trọng trong phát triển kinh tế xã hội. Nó dẫn đến sự gia tăng chi tiêu, do đó làm tăng mức thu nhập trong nền kinh tế và cải thiện đời sống xã hội. Điều này cho thấy tăng trưởng tín dụng của các tổ chức TCVM gắn liền với mọi hoạt động và chịu ảnh hưởng của nhiều yếu tố.
Phương pháp nghiên cứu
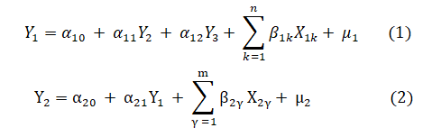
Để đạt được mục tiêu của nghiên cứu này, cả dữ liệu sơ cấp và thứ cấp đều được thu thập. Nguồn số liệu thứ cấp được thu thập từ các tạp chí quốc tế, sách báo…, Số liệu sơ cấp được thu thập từ báo cáo tài chính của 24 tổ chức TCVM được lựa chọn giai đoạn 2016-2021. Nghiên cứu này kiểm định giả thuyết sau về mối quan hệ tương tác giữa đòn bẩy tài chính và tăng trưởng tín dụng: (i) Có mối quan hệ cùng chiều giữa đòn bẩy tài chính và tăng trưởng tín dụng của các tổ chức TCVM chính thức, (ii) Có mối quan hệ tích cực giữa đòn bẩy tài chính và tăng trưởng tín dụng; mối quan hệ tích cực giữa tăng trưởng tín dụng và đòn bẩy tài chính của các tổ chức TCVM. Mô hình phân tích mối quan hệ tương tác giữa đòn bẩy tài chính và tăng trưởng tín dụng của các tổ chức TCVM chính thức tại Việt Nam được thiết lập như sau:
![]() |
Trong đó: Y1 là biến đo lường đòn bẩy tài chính, được xác định bằng cách chia tổng nợ phải trả cho tổng tài sản. Y2 là biến đo lường tăng trưởng tín dụng, được xác định bằng tốc độ tăng dư nợ cho vay. X1k và X2γ là các biến độc lập có thể ảnh hưởng đến đòn bẩy tài chính và tăng trưởng tín dụng tương ứng trong Phương trình 1 và Phương trình 2. Hệ số α và hệ số β là hệ số tương quan của các biến độc lập với các biến phụ thuộc, là các sai số của mô hình. Để đơn giản, chỉ số i đại diện cho số lượng quan sát và chỉ số t đại diện cho số năm quan sát. Nghiên cứu này sử dụng phần mềm Stata 15.0 với các biến được mô tả ngắn gọn và định nghĩa các biến cũng như dấu kỳ vọng được trình bày trong Bảng 1 (Bài viết sử dụng cách viết số thập phân theo chuẩn quốc tế).
Bảng 1: Tóm tắt các biến của mô hình nghiên cứu
| Biến và ký hiệu | Định nghĩa | Dấu hiệu kỳ vọng và các giả thuyết |
| Các yếu tố ảnh hưởng đến đòn bẩy tài chính: Financial leverage ratio (FLR) (Biến phụ thuộc) | Tổng nợ/Tổng tài sản |
|
| Các biến độc lập | ||
| Tốc độ tăng trưởng tài sản: Asset growth rate (AGR) | Tăng trưởng tài sản | H1.1: + (AGR cao, FLR cao) |
| Độ sâu tiếp cận: The average loan per borrower (ALB) | Khoản vay trung bình trên mỗi người vay | H1.2: +/- (ALB cao, FLR cao hoặc thấp) |
| Năng suất: Numbers of borrowers on number of staff ratio (BSR) | Số người vay/Số nhân viên | H1.3: + (BRS cao, FLR cao) |
| Tốc độ tăng trưởng tín dụng: Credit growth rate (CGR) | Tăng trưởng dư nợ cho vay | H1.4: + (CGR cao, FLR cao) |
| Tỷ lệ nợ trên vốn chủ sở hữu: Debt-to-equity ratio (DER) | Tổng nợ/Tổng vốn chủ sở hữu | H1.5: + (DER cao, FLR cao) |
| Thu nhập: Income (INC)
| Thu nhập hoạt động | H1.6: + (INC cao, FLR cao) |
| Các yếu tố ảnh hưởng đến tăng trưởng tín dụng: Credit growth rate (CGR) (Biến phụ thuộc) | Tăng trưởng dư nợ cho vay |
|
| Các biến độc lập | ||
| Tốc độ tăng trưởng tài sản (AGR) | Tăng trưởng tài sản | H2.1: + (AGR cao, CGR cao) |
| Tỷ lệ nợ trên vốn chủ sở hữu (DER) | Tổng nợ/Tổng vốn chủ sở hữu | H2.2: - (DER cao, CGR thấp) |
| Tốc độ tăng trưởng tiền gửi: Deposit growth rate (DGR) | Tăng trưởng tổng tiền gửi | H2.3: + (DGR cao, CGR cao) |
| Tỷ lệ đòn bẩy tài chính (FLR) | Tổng nợ/Tổng tài sản | H2.4: + (FLR cao, CGR thấp) |
| Tỷ lệ hoàn trả: Repayment ratio (RR) | Giá trị khoản tín dụng được hoàn trả/Giá trị khoản tín dụng đến hạn | H2.5: +/- (RR cao, CGR cao hoặc thấp) |
Nguồn: Đề xuất của tác giả
KẾT QUẢ NGHIÊN CỨU
Thống kê mô tả
Kết quả thống kê mô tả của cả biến phụ thuộc và biến độc lập cho thấy các biến AGR, ALB, BSR, CGR, DGR, FLR, RR có độ lệch chuẩn nhỏ hơn mức trung bình. Trong đó, tài sản và tiền gửi tăng trưởng âm do một số tổ chức TCVM cơ cấu lại hoạt động cho phù hợp với điều kiện hoạt động TCVM. Các biến DER, INC có biến động do có sự chênh lệch lớn về tỷ lệ nợ trên vốn chủ sở hữu và thu nhập giữa các tổ chức TCVM của Việt Nam từ năm 2016 đến năm 2021. Đặc biệt, sự khác biệt lớn về quy mô hoạt động đã tạo nên sự khác biệt giữa mức tối đa và tối thiểu của hai chỉ số này khá lớn như có thể thấy trong Bảng 2.
Bảng 2: Thống kê mô tả
| Các biến | Trung bình | Độ lệch chuẩn | Tối thiểu | Tối đa |
| AGR | 23.36139 | 17.4796 | -6.3 | 69.58 |
| ALB | .0081806 | .0034304 | .0022 | .0153 |
| BSR | 260.5581 | 169.268 | 6.36 | 566.55 |
| CGR | 25.61861 | 14.32231 | .72 | 61.29 |
| DER | 5.133889 | 5.823978 | 1.16 | 24.26 |
| DGR | 43.27778 | 33.52285 | -16.9 | 144 |
| FLR | .7590306 | .1014952 | .5371 | .9604 |
| INC | 4202.559 | 5654.521 | 37.558 | 22550 |
| RR | 88.67083 | 12.97568 | 60.36 | 99.99 |
Nguồn: Tác giả tính toán từ phần mềm Stata 15.0
Phân tích tương quan
Nghiên cứu này thực hiện phân tích tương quan giữa các biến trong mô hình và cho thấy mức độ tương quan rất thấp giữa các biến, nên sự hiện diện của bất kỳ hiện tượng đa cộng tuyến nào đều bị bỏ qua như có thể thấy trong Bảng 3.
Bảng 3: Ma trận tương quan
| Ma trận tương quan các yếu tố ảnh hưởng đến Đòn bẩy tài chính | |||||||
|
| FLR | AGR | ALB | BSR | CGR | DER | INC |
| FLR | 1.0000 |
|
|
|
|
|
|
| AGR | -0.2054 | 1.0000 |
|
|
|
|
|
| ALB | 0.7452 | -0.5430 | 1.0000 |
|
|
|
|
| BSR | -0.3455 | 0.0546 | -0.1494 | 1.0000 |
|
|
|
| CGR | -0.2184 | 0.6089 | -0.5008 | -0.0404 | 1.0000 |
|
|
| DER | 0.6334 | -0.1159 | 0.5260 | -0.3049 | 0.0782 | 1.0000 |
|
| INC | -0.2974 | -0.0698 | 0.0828 | 0.8770 | -0.1933 | -0.3171 | 1.0000 |
| Ma trận tương quan các yếu tố ảnh hưởng đến Tăng trưởng tín dụng | |||||||
|
| CGR | AGR | DER | DGR | FLR | RR |
|
| CGR | 1.0000 |
|
|
|
|
|
|
| AGR | 0.6089 | 1.0000 |
|
|
|
|
|
| DER | 0.0782 | -0.1159 | 1.0000 |
|
|
|
|
| DGR | 0.6374 | 0.3963 | -0.0158 | 1.0000 |
|
|
|
| FLR | -0.2184 | -0.2054 | 0.8334 | -0.2773 | 1.0000 |
|
|
| RR | -0.4514 | -0.2292 | -0.3376 | -0.3391 | -0.1808 | 1.0000 |
|
Nguồn: Tác giả tính toán từ phần mềm Stata 15.0
Kết quả hồi quy
Kết quả hồi quy của FEM và REM cho thấy cả hai giá trị P đều nhỏ hơn mức ý nghĩa 5% (P-value = 0.000) và kết quả có ý nghĩa thống kê ở mức ý nghĩa 5%.
Dựa trên kết quả hồi quy bội được trình bày ở Bảng 4, từ phân tích REM cho thấy các biến AGR, ALB và DER có tác động tích cực đến biến FLR ở mức ý nghĩa lần lượt là 5%, 1% và 1%; biến CGR và INC có tác động tiêu cực đến biến FLR ở mức ý nghĩa lần lượt là 10% và 10%; biến BSR có tác động tích cực đến biến FLR, tuy nhiên biến này không có ý nghĩa thống kê. Từ phân tích FEM cho thấy, các biến AGR, ALB và DER có tác động tích cực đến biến FLR ở mức ý nghĩa lần lượt là 10%, 5% và 1%; biến CGR và INC có tác động tiêu cực đến biến FLR và biến BSR có tác động tích cực đến biến FLR, tuy nhiên 3 biến này không có ý nghĩa thống kê.
Nghiên cứu đã áp dụng kiểm định Hausman để phân biệt giữa REM và FEM và lựa chọn mô hình phù hợp cho nghiên cứu. Kết quả kiểm định Hausman thu được giá trị P là 0.9225, lớn hơn mức ý nghĩa 5% và bằng việc chạy kiểm định Hausman, REM được chấp nhận là mô hình phù hợp. So với mô hình OLS Pooled, REM phù hợp hơn mô hình OLS Pooled. Do đó, REM được sử dụng để phân tích và kiểm tra các bước tiếp theo. Kết quả kiểm định đa cộng tuyến cho thấy, không có hiện tượng đa cộng tuyến nghiêm trọng trong mô hình này. Bởi vì mô hình có kết quả Mean VIF = 5.77 và VIF của các biến từ 2.35 đến 6.24. Việc kiểm tra sự thay đổi phương sai được xem xét với giá trị P = 0.4627 > 0.05. Kết quả này cho thấy, không có hiện tượng thay đổi phương sai trong mô hình này. Nghiên cứu cũng kiểm định hiện tượng tự tương quan của mô hình, P-value = 0.1327 > 0.05, nên mô hình này không có tương quan nối tiếp.
Bảng 4: Kết quả hồi quy các nhân tố ảnh hưởng đến đòn bẩy tài chính
| Các biến độc lập | Biến phụ thuộc (FLS) | |
| REM | FEM | |
| AGR | 0.00140** (2.86) | 0.00137* (2.29) |
| ALB | 17.72*** (4.85) | 19.73** (3.11) |
| BSR | 0.000126 (1.46) | 0.000102 (1.01) |
| CGR | -0.00120* (-2.04) | -0.00107 (-1.58) |
| DER | 0.00866*** (5.52) | 0.00854*** (4.74) |
| INC | -0.00000695* (-2.50) | -0.00000597 (-1.66) |
| _cons | 0.564*** | 0.548*** |
| P-value | 0.0000 | 0.0000 |
Ghi chú: thống kê t trong ngoặc đơn* p<0.05, ** p<0.01, *** p<0.001
Nguồn: Tác giả tính toán từ phần mềm Stata 15.0
Nghiên cứu phân tích kết quả thực nghiệm từ việc ước tính tác động của các nhân tố đến tăng trưởng tín dụng. CGR được lấy làm biến phụ thuộc và AGR, DER, DGR, FLR, RR được đưa vào làm biến độc lập trong nghiên cứu này. Bằng cách áp dụng hồi quy dữ liệu bảng, nghiên cứu được thực hiện bằng FEM và REM và so sánh chúng với OLS. Kết quả hồi quy của FEM và REM cho thấy, cả hai giá trị P đều nhỏ hơn mức ý nghĩa 5% (P-value = 0.000) và kết quả có ý nghĩa thống kê ở mức 5%.
Dựa trên kết quả hồi quy bội được trình bày ở Bảng 5, từ phân tích REM cho thấy các biến AGR, DER và DGR có tác động tích cực đến biến CGR ở mức ý nghĩa 1%, 10% và 10%, tương ứng; biến FLR có tác động tiêu cực đến biến CGR ở mức ý nghĩa 10%; biến RR có tác động tiêu cực đến biến CGR, tuy nhiên biến này không có ý nghĩa thống kê. Từ phân tích FEM cho thấy biến DER và DGR có tác động tích cực đến biến CGR ở mức ý nghĩa lần lượt là 10% và 10%; biến FLR và RR có tác động tiêu cực đến biến CGR và biến AGR có tác động tích cực đến biến CGR, nhưng ba biến không có ý nghĩa thống kê.
Nghiên cứu đã áp dụng kiểm định Hausman để phân biệt giữa REM và FEM và lựa chọn mô hình phù hợp cho nghiên cứu. Kết quả kiểm định Hausman thu được giá trị P = 0.9241, lớn hơn mức ý nghĩa 5% và bằng việc chạy kiểm định Hausman, REM được chấp nhận là mô hình phù hợp. So với mô hình OLS Pooled, REM phù hợp hơn mô hình OLS Pooled. Do đó, REM được sử dụng để phân tích và kiểm tra các bước tiếp theo. Kết quả kiểm định đa cộng tuyến cho thấy không có hiện tượng đa cộng tuyến nghiêm trọng trong mô hình này. Bởi vì mô hình có kết quả Mean VIF = 2.92 và VIF của các biến từ 1.45 đến 4.75. Việc kiểm tra sự thay đổi phương sai được xem xét với giá trị P = 1.0000 > 0.05. Kết quả này cho thấy, không có hiện tượng thay đổi phương sai trong mô hình này. Nghiên cứu cũng kiểm định hiện tượng tự tương quan của mô hình, P-value = 0.8421 > 0.05, nên mô hình này không có tương quan nối tiếp.
Bảng 5. Kết quả hồi quy các nhân tố ảnh hưởng đến tăng trưởng tín dụng
| Các biến độc lập | Biến phụ thuộc (CGR) | |
| REM | FEM | |
| AGR | 0.334*** (3.42) | 0.231 (1.55) |
| DER | 1.128* (2.11) | 1.302* (2.09) |
| DGR | 0.123* (2.14) | 0.154* (2.14) |
| FLR | -66.57* (-2.14) | -74.46 (-1.88) |
| RR | -0.211 (-1.54) | -0.163 (-1.01) |
| _cons | 75.91** | 77.81* |
| P-value | 0.0000 | 0.0000 |
Ghi chú: Thống kê t trong ngoặc đơn* p<0.05, ** p<0.01, *** p<0.001
Nguồn: Tác giả tính toán từ phần mềm Stata 15.0
KẾT LUẬN VÀ KHUYẾN NGHỊ
Kết luận
Mục đích chính của nghiên cứu này là phân tích mối tương tác giữa đòn bẩy tài chính và tốc độ tăng trưởng tín dụng tại các tổ chức TCVM của Việt Nam. Nghiên cứu đã phân tích mối quan hệ này bằng phương pháp hồi quy dữ liệu bảng với dữ liệu nghiên cứu từ tất cả các tổ chức TCVM chính thức ở Việt Nam từ năm 2016 đến năm 2021. Hai mô hình nổi bật đã được xác định và các kết quả nghiên cứu này đều phù hợp với đặc điểm của các tổ chức TCVM ở Việt Nam.
Kết quả cho thấy, 3 yếu tố có mối quan hệ tích cực với Đòn bẩy tài chính là: Tốc độ tăng trưởng tài sản; Độ sâu của phạm vi tiếp cận và Tỷ lệ nợ trên vốn chủ sở hữu. Cụ thể, nếu Tăng trưởng tài sản tăng lên một đơn vị, thì Đòn bẩy tài chính được dự đoán sẽ tăng 0.14%, khi các biến còn lại trong mô hình được giữ không đổi. Nói chung, tăng trưởng tài sản là mục tiêu của các tổ chức TCVM, đặc biệt là việc tăng tốc độ tăng trưởng tín dụng từ 0.72% lên 61.29% đòi hỏi một khoản đầu tư lớn vào vốn có thể buộc các tổ chức TCVM phải tìm nguồn tài chính bổ sung từ bên ngoài.
Kết quả phân tích hồi quy cho thấy có tác động có ý nghĩa thống kê về độ sâu của phạm vi tiếp cận đối với đòn bẩy tài chính. Nghiên cứu ghi nhận một hệ số có ý nghĩa ở mức 1%. Kết quả cho thấy, với mỗi đơn vị tăng độ sâu tiếp cận, đòn bẩy tài chính được dự đoán sẽ tăng thêm 17.72 đơn vị, khi các biến còn lại trong mô hình được giữ không đổi.
Kết quả nghiên cứu chỉ ra rằng, Tốc độ tăng trưởng tín dụng ảnh hưởng đáng kể đến Đòn bẩy tài chính. Điều bất ngờ là hệ số tăng trưởng tín dụng lại âm và có ý nghĩa thống kê ở mức 10%.
Thu nhập ảnh hưởng đáng kể đến đòn bẩy tài chính. Điều bất ngờ là hệ số tăng trưởng tín dụng lại âm và có ý nghĩa thống kê ở mức 10%. Kết quả này cho thấy rằng, khi thu nhập tăng lên một đơn vị, đòn bẩy tài chính được dự đoán sẽ giảm 0.00000695 đơn vị, khi các biến còn lại trong mô hình được giữ không đổi.
Kết quả hồi quy cho thấy tác động đáng kể của Tỷ lệ nợ trên vốn chủ sở hữu đến tốc độ tăng trưởng tín dụng. Đúng như mong đợi, hệ số này mang dấu dương và có ý nghĩa thống kê ở mức 10%. Kết quả này cho thấy, khi tỷ lệ nợ trên vốn chủ sở hữu tăng lên một đơn vị, thì tốc độ tăng trưởng tín dụng được dự đoán sẽ tăng thêm 1.128 đơn vị, khi các biến còn lại trong mô hình được giữ không đổi. Điều này có nghĩa là các tổ chức TCVM có tỷ lệ nợ trên vốn chủ sở hữu cao đã góp phần làm tăng tốc độ tăng trưởng tín dụng.
Nghiên cứu tìm thấy mối quan hệ tương tác giữa đòn bẩy tài chính và tốc độ tăng trưởng tín dụng của các tổ chức TCVM và mối quan hệ này là mối quan hệ tương tác hai chiều tiêu cực giữa đòn bẩy tài chính và tốc độ tăng trưởng tín dụng.
Một số đề xuất
Hoạt động TCVM là một lĩnh vực quan trọng đối với các nước đang phát triển. Các dịch vụ TCVM được thiết kế để đáp ứng nhu cầu và nguyện vọng của người dân và hướng tới giảm nghèo. Qua đó, tổ chức TCVM góp phần vào sự phát triển kinh tế - xã hội của các quốc gia. Nghiên cứu này sẽ giúp các nhà nghiên cứu và nhà quản lý phát triển kiến thức chuyên môn về các yếu tố chính như đòn bẩy tài chính và tốc độ tăng trưởng tín dụng cũng như mối quan hệ giữa hai yếu tố này. Dựa trên kết quả nghiên cứu, bài viết đề xuất những giải pháp sau nhằm nâng cao hiệu quả sử dụng vốn và tăng tốc độ tăng trưởng tín dụng của các tổ chức TCVM.
Thứ nhất, nghiên cứu này tìm thấy mối quan hệ tương tác hai chiều tiêu cực giữa đòn bẩy tài chính và tốc độ tăng trưởng tín dụng, do đó khuyến nghị chính sách trước mắt là các tổ chức TCVM chính thức hạn chế sự đánh đổi giữa đòn bẩy tài chính và tốc độ tăng trưởng tín dụng.
Thứ hai, các tổ chức TCVM cần tập trung vào huy động tiền gửi, tạo nguồn vốn đáp ứng nhu cầu của nhiều khách hàng. Qua đó, các tổ chức TCVM có thể tăng tốc độ tăng trưởng tín dụng.
Thứ ba, các tổ chức TCVM cần giữ lại thu nhập để bổ sung nguồn tài chính, hạn chế sự phụ thuộc vào nguồn tài chính bên ngoài, vừa đáp ứng được nguồn vốn cho tốc độ tăng trưởng tín dụng, vừa giảm tác động của đòn bẩy tài chính.
Thứ tư, các tổ chức TCVM cần cân đối đủ nguồn lực để đảm bảo mục tiêu hoạt động của mình và cần tận dụng nguồn tài chính vay để vận hành hoạt động một cách hợp lý. Qua đó, các tổ chức TCVM nâng cao hiệu quả sử dụng vốn và tăng tốc độ tăng trưởng tín dụng.
Thứ năm, mục đích chính của các tổ chức TCVM là cung cấp dịch vụ tài chính cho số lượng lớn hơn bao giờ hết các gia đình có thu nhập thấp. Do đó, các tổ chức TCVM sử dụng đòn bẩy tài chính chủ yếu để tăng phạm vi tiếp cận và tăng trưởng tín dụng. Vì vậy, các tổ chức TCVM sử dụng sự kết hợp giữa vốn chủ sở hữu và nợ, và một quyết định cơ cấu vốn tối ưu có thể mang lại tăng trưởng tín dụng, giảm thiểu chi phí vốn và hiệu quả hơn./.
TS. Nguyễn Thị Thúy - Trường Đại học Thăng Long
(Theo Tạp chí Kinh tế và Dự báo số 34, tháng 12/2023)
Tài liệu tham khảo
1. Aza, I. E. (2018), The Influence of Financial Leverage, Customer Deposit and Capital Adequacy on the Financial Sustainability of some Selected Nigerian Micro Finance Banks, Global Journal of Management And Business Research, 18(3), 23-33.
2. Ha, V. D. (2020), The Interactive Relationship Between Credit Growth and Profitability of People's Credit Funds in Vietnam, Accounting, 6, 79–88.
3. Feng, H., Viksne, K., and Lunardi, A. (2016). Leverage Control and Quantitative Management: The Analysis of Amplification Effect on Financial System, Regional Formation and Development Studies, 19(2), 7-16.
4. Tchuigoua, H T. (2014), Institutional framework and capital structure of microfinance institutions, Journal of Business Research, 67, 2185-2197.
5. Towo, N., Mori, N., and Ishengoma, E. (2019), Financial leverage and labor productivity in microfinance co-operatives in Tanzania, Cogent Business & Management, 6, https://doi.org/10.1080/23311975.2019.1635334.


Bình luận