Lý thuyết và phương pháp đánh giá tác động của hiệp định thương mại tự do đến thương mại
BÙI QUÝ THUẤN
Học viện Chính sách và Phát triển
| TÓM TẮT Bài viết tổng hợp các lý thuyết liên quan đến tác động của hiệp định thương mại tự do (FTA) đến thương mại thông qua các chỉ số, như: lợi thế so sánh (RCA), định hướng khu vực (RO), cường độ thương mại (TII) để đánh giá mức độ trao đổi thương mại giữa các quốc gia và giới thiệu mô hình trọng lực dựa trên cách tiếp cận hậu nghiệm nhằm giải thích các nhân tố tác động chuyển hướng thương mại và tạo lập thương mại. Từ đó, xem xét vai trò của việc sử dụng phương pháp này trong việc đánh giá tác động của FTA tới thương mại của Việt Nam. |
|
|
| Từ khóa: lý thuyết, phương pháp, đánh giá, FTA |
GIỚI THIỆU
Hệ thống thương mại toàn cầu đang chứng kiến sự hình thành các FTA ngày càng gia tăng, qua đó tác động đến điều kiện kinh tế ở nhiều quốc gia thông qua trao đổi thương mại, không chỉ ở các nước thành viên FTA mà cả các quốc gia không phải là thành viên. FTA đã gỡ bỏ rào cản thương mại giữa các thành viên, nhưng vẫn duy trì rào cản đối với các thành viên không tham gia FTA, điều này dẫn đến hai tác động của FTA có thể xảy ra, đó là tạo lập thương mại và chuyển hướng thương mại.
Trong bài viết này, tác giả giới thiệu khung lý thuyết và phương pháp đánh giá tác động FTA dựa trên cách tiếp cận hậu nghiệm thông qua mô hình trọng lực. Đồng thời, đưa ra các chỉ số để đánh giá lợi thế so sánh và mức độ trao đổi thương mại giữa các quốc gia trong quá trình thực hiện các FTA, từ đó xem xét vai trò của việc sử dụng phương pháp này trong việc đánh giá tác động của FTA đối với trường hợp của Việt Nam.
LÝ THUYẾT VỀ TÁC ĐỘNG CỦA CÁC FTA
Tác động kinh tế
Một trong những tác động của tự do hóa thương mại là thúc đẩy chuyển dịch cơ cấu kinh tế và phân bổ các nguồn lực của mỗi quốc gia thành viên trong quá trình thực thi các FTA. FTA cũng xóa bỏ các hàng rào thuế quan đối với các nước thành viên, nhưng vẫn duy trì hàng rào thuế quan đối với các quốc gia không phải là thành viên, đồng thời yêu cầu các quốc gia thành viên thực hiện chính sách tự do hóa FDI, tạo thuận lợi cho thương mại, hợp tác kinh tế...
Các nhà kinh tế thường phân tích tác động của FTA dựa vào khái niệm “tạo lập thương mại” và “chuyển hướng thương mại”. Những khái niệm này được phát triển bởi nhà kinh tế Viner (1950). Chuyển hướng thương mại làm cho các nước thành viên sử dụng nguồn lực kém hiệu quả hơn, bằng việc chuyển hướng mua hàng hóa với chi phí thấp hơn từ các nước không phải là thành viên sang hàng hóa có chi phí cao của các nước thành viên. Tác động của chuyển hướng thương mại chỉ làm thay đổi đối tác thương mại, mà không làm tăng phúc lợi và đẩy sản xuất ra xa lợi thế so sánh. Còn tạo lập thương mại là việc các nước thành viên thay thế việc sản xuất một mặt hàng nội địa có chi phí sản xuất cao bằng một mặt hàng nhập khẩu có chi phí sản xuất thấp hơn từ nước thành viên do dỡ bỏ rào cản thuế quan, điều này giúp cho người tiêu dùng nước thành viên nhập khẩu được sử dụng hàng hóa với chi phí rẻ hơn, còn nước thành viên xuất khẩu sẽ sản xuất và xuất khẩu nhiều hơn. Tác động của tạo lập thương mại làm tăng lợi ích của các nước thành viên, vì nó tạo điều kiện cho quá trình chuyên môn hóa trong hoạt động sản xuất nhờ lợi thế so sánh.
Tác động động
Tác động động (dynamic effect) hay tác động dài hạn (long – term effect) là những tác động của FTA đến nền kinh tế trong dài hạn, khi nền kinh tế phản ứng với các thay đổi trong chính sách liên quan đến thực hiện FTA. Tác động của FTA trong dài hạn chủ yếu từ khía cạnh hội nhập với kinh tế thế giới thông qua các thỏa thuận từ việc xóa bỏ các rào cản thương mại, tạo điều kiện cho dòng hàng hóa luân chuyển xuyên biên giới. Ngoài ra, tác động phổ biến nhất của FTA thông qua thương mại đó là tăng quy mô và đa dạng của nền kinh tế, chuyển giao công nghệ và FDI, thúc đẩy chuyên môn hóa và tham gia vào chuỗi giá trị sản xuất toàn cầu (Krugman, Obstfeld và Meltiz, 2012).
PHƯƠNG PHÁP ĐÁNH GIÁ TÁC ĐỘNG CỦA FTA TỚI THƯƠNG MẠI
Các chỉ số thương mại
Chỉ số lợi thế so sánh (RCA)
Theo lý thuyết thương mại quốc tế, lợi ích từ thương mại đến từ quá trình chuyên môn hóa ở các quốc gia có lợi thế so sánh (ví dụ như các lĩnh vực mà một quốc gia sản xuất có hiệu quả tương đối), tức là cần đo lường các nhân tố đầu vào mà nước đó sở hữu. Để giải quyết bài toán này, Balassa (1965) đã dựa vào lập luận của lý thuyết lợi thế so sánh và đưa ra chỉ số RCA, theo đó các sản phẩm chủ lực của một nước thường là sản phẩm mà nước đó có lợi thế so sánh. Hay nói cách khác, lợi thế so sánh của một nước được thể hiện qua cơ cấu xuất khẩu sản phẩm của nước đó và dựa trên tỷ trọng hàng hóa xuất khẩu của một mặt hàng nào đó trong tổng cơ cấu xuất khẩu của một nước và tỷ trọng trong cơ cấu xuất khẩu của thế giới (Ferto và Hubbard, 2003). Công thức tính chỉ số RCA như sau:

Trong đó: Xcg là xuất khẩu của hàng hóa g từ nước c; Xc là tổng xuất khẩu của nước c; Xwg là xuất khẩu hàng hóa g của thế giới; và Xw là tổng xuất khẩu của thế giới.
Một quốc gia có lợi thế so sánh nếu giá trị của chỉ số RCA lớn hơn 1 và ngược lại. Sự khác biệt giữa chỉ số RCA của hai quốc gia càng lớn trong khối thương mại, thì hai quốc gia sẽ càng là đối tác phù hợp và có tiềm năng trong khối. Từ kết quả tính toán chỉ số RCA, các quốc gia sẽ đưa ra chính sách phù hợp để chuyên môn hóa sản xuất và xuất khẩu những mặt hàng có lợi thế trên cơ sở các ưu đãi của FTA.
Chỉ số định hướng khu vực (RO)
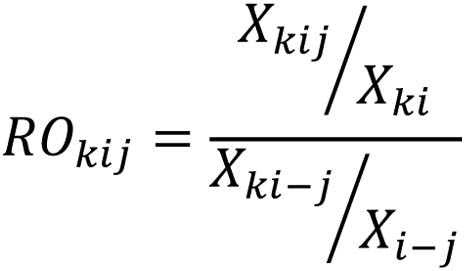
Chỉ số RO cho biết, xuất khẩu một quốc gia được định hướng theo một khu vực cụ thể hơn là điểm đến khác. Theo nghiên cứu của Yeats (1998) và Yamazawa (1970), thì hàng hóa của một quốc gia thường tập trung tiêu thụ ở một hay một số khu vực thị trường nhất định. Do đó, khi xác định lợi thế so sánh ở từng thị trường cụ thể, thì việc sử dụng chỉ số RO sẽ đo lường được tầm quan trọng của xuất khẩu nội vùng so với xuất khẩu ngoài vùng. Công thức của chỉ số RO như sau:

Trong đó: Xkij là kim ngạch xuất khẩu sản phẩm k của nước i đến khu vực j; Xki là tổng kim ngạch xuất khẩu sản phẩm k của nước i; Xki – j là kim ngạch xuất khẩu sản phẩm k của nước i đến các nước ngoài j; Xi – j là kim ngạch xuất khẩu của nước i đến khu vực ngoài j. Nếu RO > 1, thì xuất khẩu nội vùng cao hơn xuất khẩu ngoại vùng; RO < 1 thì xuất khẩu nội vùng thấp hơn xuất khẩu ngoại vùng.
Chỉ số cường độ thương mại (TII)
Chỉ số TII phản ảnh mức độ phụ thuộc và trao đổi thương mại giữa 2 nước. Cường độ thương mại chỉ ra mức độ trao đổi giữa 2 quốc gia lớn hơn hay nhỏ hơn mức kỳ vọng tương ứng trong quan hệ thương mại quốc tế (Chandran, 2010). Theo Kojima (1964), cường độ thương mại bao gồm hai chỉ số là cường độ xuất khẩu (XII) và cường độ nhập khẩu (MII), được xác định bằng công thức dưới đây:
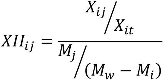
- Cường độ xuất khẩu (XII):

Trong đó: XIIij là cường độ xuất khẩu; Xij và Xit là kim ngạch xuất khẩu của nước i đến nước j và tổng kim ngạch xuất khẩu của nước i; Mi và Mj là tổng kim ngạch nhập khẩu của nước i và j từ thế giới; Mw là tổng kim ngạch nhập khẩu của thế giới.
Chỉ số XII phản ánh mức độ trao đổi thương mại của hai quốc gia hoặc của một nhóm quốc gia khác. Nếu XIIij > 1, thì quốc gia j là thị trường xuất khẩu quan trọng của quốc gia i và ngược lại (Bandara và Smith, 2002). Nếu XIIij càng gần 0, thể hiện mối quan hệ thương mại của hai quốc gia càng thấp. Những ngành có cường độ xuất khẩu cao sẽ có thể xảy ra “tạo lập thương mại” so với các ngành có cường độ xuất khẩu thấp (Evan và cộng sự, 2006).
- Cường độ nhập khẩu (MII):

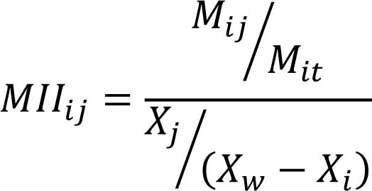
Trong đó: MIIij là cường độ nhập khẩu; Mij và Mit là kim ngạch nhập khẩu của nước i từ nước j và tổng kim ngạch nhập khẩu của nước i; Xi và Xj là tổng kim ngạch xuất khẩu của nước i và j ra thế giới; Xw là tổng kim ngạch xuất khẩu của thế giới.
Chỉ số MII phản ánh mức độ quan hệ nhập khẩu của một quốc gia với một quốc gia hoặc một nhóm quốc gia khác. Nếu MIIij > 1, thì nước j là thị trường nhập khẩu quan trọng của nước i và ngược lại. MIIij tăng lên sẽ cho biết mức độ quan trọng của nước j đối với nước i trong hoạt động nhập khẩu và ngược lại. Các ngành có chỉ số MII cao có thể dẫn đến “tạo lập thương mại” hơn các ngành có MII thấp hơn. Những ngành có MII thấp vẫn có thể dẫn đến gia tăng kim ngạch nhập khẩu trong tương lai, nhưng khả năng dẫn đến “chuyển hướng thương mại” là cao hơn.
- Cường độ thương mại (TII):

Trong đó: TIIij là cường độ thương mại; Tij là kim ngạch xuất - nhập khẩu của nước i với nước j; Tiw là kim ngạch xuất - nhập khẩu của nước i; Tjw là kim ngạch xuất - nhập khẩu của nước j; Tww là kim ngạch thương mại toàn cầu.
Nếu TIIij > 1, chứng tỏ nước j là đối tác thương mại quan trọng của nước i. TII tăng lên phản ánh vai trò của nước j đối với nước i tăng lên trong hoạt động thương mại quốc tế và ngược lại (Bandara và Smith, 2002).
Mô hình trọng lực (Gravity model)
Mô hình trọng lực được dùng để đánh giá dựa trên cách tiếp cận hậu nghiệm, tức là sau khi các nước ký FTA. Mô hình trọng lực được sử dụng lần đầu tiên bởi Tinbergen (1962) và Poyhonen (1963) để đánh giá thương mại song phương giữa các quốc gia châu Âu. Trong mô hình này, xuất khẩu từ một quốc gia này tới một quốc gia khác được giải thích bởi quy mô kinh tế (đo lường bằng GNP hoặc GDP) và khoảng cách địa lý giữa các quốc gia. Mô hình trọng lực cơ bản cho thương mại giữa hai quốc gia i và j được diễn giải như sau:
Trong đó: Xijt là dòng thương mại hoặc xuất khẩu từ quốc gia i tới quốc gia j trong năm t; Yit là GDP của quốc gia i trong năm t; Yjt là GDP của quốc gia j trong năm t; Distij là khoảng cách địa lý giữa 2 quốc gia i và j;
Viết lại theo phương trình dạng logarit, khi đó (1) sẽ là:

Theo lý thuyết của mô hình trọng lực, thì trao đổi thương mại giữa hai quốc gia có môi tương quan thuận chiều với quy mô kinh tế và tương quan ngược chiều với khoảng cách giữa hai quốc gia, do đó β1 và β2 mang dấu dương, β3 sẽ mang dấu âm.
Để đánh giá tác động của FTA đến dòng thương mại song phương, tức là xem xét FTA tác động đến “tạo lập thương mại” và “chuyển hướng thương mại”, chúng ta sẽ đưa vào phương trình biến giả FTA. FTA nhận giá trị 1 nếu cả hai quốc gia là thành viên của FTA tại thời điểm t, và ngược lại sẽ nhận giá trị 0. Mẫu dữ liệu để ước lượng mô hình là dữ liệu bảng, do đó áp dụng phương pháp bình phương nhỏ nhất có trọng số cho tính không đồng nhất và tự tương quan thứ tự đầu tiên để có được kết quả cho điểm chuẩn. Ngoài ra, áp dụng các mô hình tác động cố định và ngẫu nhiên để ước tính. Khi các giả thuyết không (null) nêu rõ rằng, các tác động riêng lẻ không tương quan với các biến hồi quy, sẽ bị loại bỏ bởi thử nghiệm Hausman, sau đó chọn kết quả ước lượng bằng mô hình tác động cố định. Phương trình ước lượng có dạng như sau:
Trong phương trình (3), nếu β4 mang dấu dương, thì FTA sẽ có tác động tạo lập thương mại, bởi vì tạo lập thương mại là việc một quốc gia chuyển hướng nhập khẩu các hàng hóa có giá thấp hơn, nên sẽ làm tăng giá trị nhập khẩu từ các nước thành viên; nếu β4 mang dấu âm, thì FTA có tác động chuyển hướng thương mại.
Như vậy, mục đích của mô hình trọng lực nhằm đánh giá tác động của FTA đối với trao đổi thương mại của một quốc gia thành viên với các thành viên khác trong hiệp định. Trong mô hình trọng lực sẽ đưa ra giả thiết về quy mô GDP của các quốc gia thành viên có tác động tương quan cùng chiều đối với thương mại, tức là GDP của các quốc gia là đối tác song phương trong FTA càng cao sẽ tương đương với dòng chảy thương mại càng lớn. Sandberg (2004) sử dụng mô hình trọng lực kết hợp với đặc điểm riêng của từng quốc gia, như: dân số, khoảng cách. Khoảng cách địa lý giữa các quốc gia thành viên có mối tương quan ngược chiều với giao dịch thương mại, có nghĩa là khoảng cách các quốc gia càng xa, thì chi phí vận chuyển càng cao, dẫn đến hiệu quả trao đổi thương mại càng thấp. Ngoài ra, khi bổ sung biến giả FTA vào ước lượng để đánh giá tác động “tạo lập thương mại” hay “chuyển hướng thương mại” giữa các quốc gia thành viên, nếu các quốc gia cùng là thành viên của FTA, thì các ưu đãi trong FTA có tác động tích cực hay tiêu cực đến trao đổi thương mại. Từ đó, có thể điều chỉnh chính sách thương mại mang lại hiệu quả tốt nhất cho hai quốc gia.
KẾT LUẬN
Việt Nam là một quốc gia đang phát triển và tích cực tham gia hội nhập kinh tế thông qua các thỏa thuận kinh tế song phương và đa phương, đặc biệt là việc đàm phán và ký kết các FTA thế hệ mới, như: FTA Việt Nam – Liên minh kinh tế Á – Âu (EAEU FTA), Hiệp định Đối tác tiến bộ và toàn diện xuyên Thái Bình Dương (CPTPP)... Với các FTA được ký kết, Việt Nam sẽ có nhiều cơ hội từ việc giảm thuế và rào cản thương mại nhằm thúc đẩy trao đổi hàng hóa với các thành viên của FTA, đồng thời tạo điều kiện cho quá trình chuyên môn hóa sản xuất và tham gia vào chuỗi cung ứng toàn cầu trên cơ sở lợi thế của mình. Tuy nhiên, việc thực hiện FTA trên thực tế có hiệu quả hay không, cần phải có phương pháp đánh giá đầy đủ về sự tác động của FTA đến thương mại và áp dụng vào trường hợp của Việt Nam nhằm đưa ra cơ sở khoa học, bằng chứng thực nghiệm trong việc đề xuất chính sách phù hợp có thể khai thác các lợi thế và hạn chế rủi ro trong quá trình thực hiện FTA.
Qua nghiên cứu của tác giả, các chỉ số, như: lợi thế so sánh, định hướng khu vực và cường độ thương mại… có thể đánh giá mức độ trao đổi thương mại trước và sau khi ký kết FTA, cũng như dự đoán xu hướng và tiềm năng quan hệ thương mại giữa các thành viên tham gia FTA. Các chỉ số này cần sử dụng một cách linh hoạt để đưa ra nhận xét về tác động của các FTA đến thương mại giữa các quốc gia.
Ngoài ra, mô hình trọng lực cũng có thể sử dụng để tính toán và đánh giá tác động của chính sách ưu đãi được quy định trong liên minh thuế quan hoặc các FTA, kể cả các biện pháp thuế quan và phi thuế quan. Mô hình trọng lực sử dụng các số liệu vĩ mô, như: kim ngạch xuất - nhập khẩu, GDP, tỷ giá hối đoái, ngôn ngữ, khoảng cách địa lý… Các số liệu này có thể lấy từ các nguồn đáng tin cậy, gồm: Ngân hàng Thế giới (WB), Cơ sở Thống kê dữ liệu thương mại của Liên hợp quốc (UNComtrade), cơ quan thống kê, hải quan của các quốc gia…
Ở Việt Nam, tính đến thời điểm hiện tại chưa có nghiên cứu sử dụng mô hình trọng lực dựa trên cách tiếp cận hậu nghiệm để đánh giá tác động của FTA tới thương mại song phương giữa Việt Nam và các đối tác. Do đó, việc nghiên cứu và áp dụng các chỉ số thương mại, mô hình trọng lực đánh giá tác động của FTA đến thương mại của Việt Nam là cần thiết cho các công trình nghiên cứu trong tương lai./.
| TÀI LIỆU THAM KHẢO 1. Balassa, B. (1965). Trade Liberalisation and “Revealed” Comparative Advantage, The Manchester School, 33, 99-123 2. Bandara, J.S., & Smith, C. (2002). Trade policy reforms in South Asia and Australia – South Asia Trade: Inten – sities and Complementaritics, South Asia Economic Journal, 3(2), 177-199 3. Chandran (2010). Trade Complementarity and Similarity between India & Asean Countries in the context of the RTA, MPRA paper No.29279, Munich Personal RePEC Archive 4. Evan et al. (2006). Assessing regional trade agreements with developing countries: Shallow & Deep Integration, Trade, Productivity and Economic Performance, University of Sussex, Brighton, United Kingdom 5. Ferto I. and Hubbard L.J. (2003). Revealed Comparative Advantage and Competitiveness in Hungarian Agri – Food sectors, The World Economy, 26(2), 247-259 6. Kojima, K. (1964). The patterns of trade among advanced countries, Hitotsubashi Journal of Economics, 16–36 7. Krugman, P.R., Obstfeld, M. & M. & Meltiz, M.J. (2012). International Economics: Theory and Policy, Persons 8. McCallcum, J. (1995). National Borders Matter: Canada – US. Regional Trade, American Economic Review, 85, 615-623 9. Poyhonen (1963). A Tentative model for the volume of trade Between countries, Welwirtschaftliches Archiv, 90(1), 93-99 10. Sandberg H.M. (2004). The impact of historical and regional linkages on free trade in the Americas: A gravity model analysis across sectors, American Agricultural Economics Association Annual Meeting, Denver, Colorado 11. Tinbergen (1962). Shaping the World Economy: Suggestions for an International Economy Policy, The Tweentieth Century Fund, New York 12. Viner J. (1950). The Customs Union Issue, Carnegie Endowment for International Peace, New York 13. Yamazawa (1970). Intensity analysis of world trade flow, Hitotsubashi Journal of Economics, 10, 61-90 14. Yeats A. J. (1998). Does Mercosure’s trade performance raise concerns about the effect of regional trade arrangements?, The World Bank Economic Review, 12(1), 1-28 |
| Summary The article summarizes the theories related to the impact of FTA on trade through indicators such as revealed comparative advantage (RCA), regional orientation (RO) and trade intensity index (TII) to assess the level of trade exchange among countries and introduce gravity model based on ex-post approach to explain factors influencing trade persion and trade creation. From there, it considers the role of using this model to assess the impact of the FTAs on Vietnam’s trade. |
| |
| Keywords: theory, method, assessment, FTA |
(Đăng trên Tạp chí Kinh tế và Dự báo số 3, tháng 1/2020)

Bình luận